ZESPÓŁ OPIEKI ZDROWOTNEJ

Transkrypt

ZESPÓŁ OPIEKI ZDROWOTNEJ
SZPITAL POWIATOWY
im. Edmunda Biernackiego w Mielcu
ul. Żeromskiego 22 39-300 Mielec
KRS: 0000002538 NIP 817-17-50-893
centrala ( 17 ) 78 00 100
tel/fax. ( 17 ) 78 00 146
http://www.szpital.mielec.pl
email: [email protected]
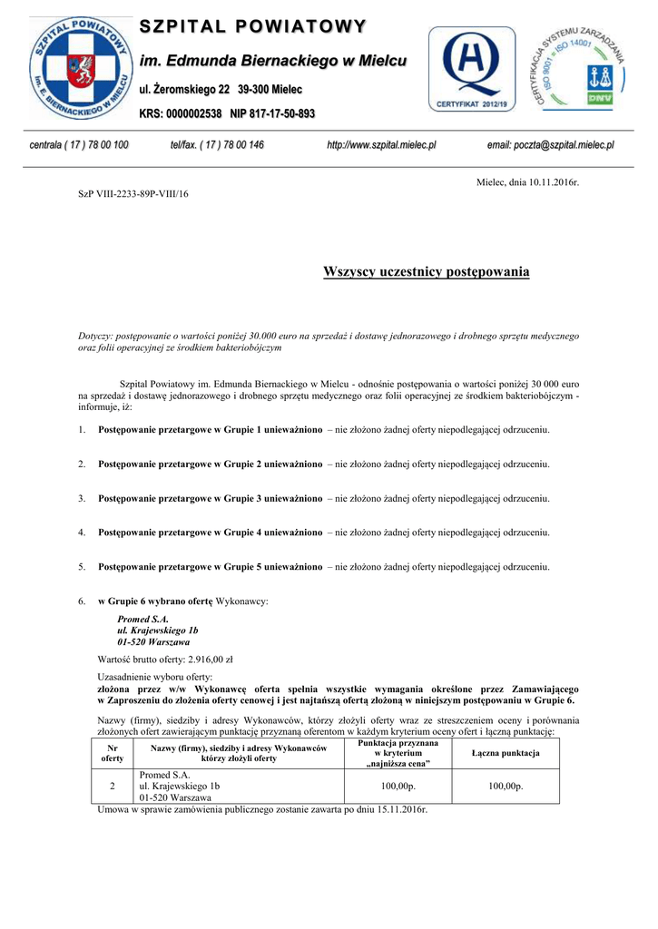
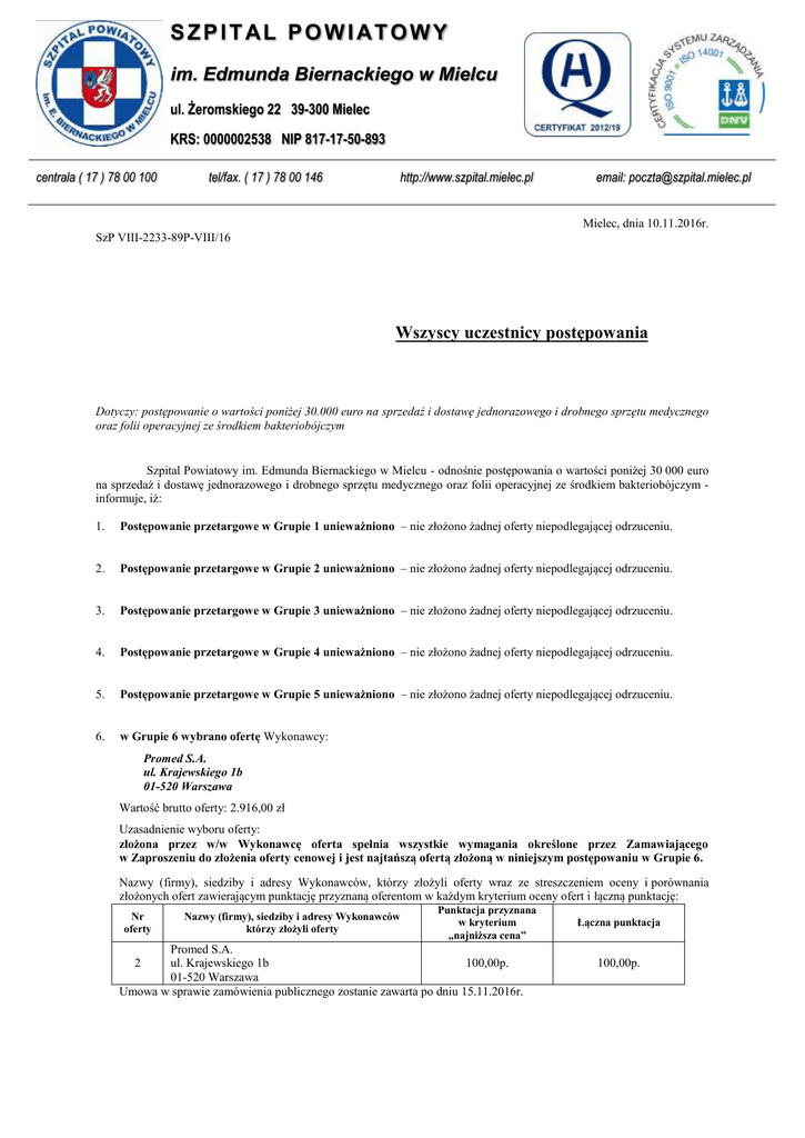
Mielec, dnia 10.11.2016r.
SzP VIII-2233-89P-VIII/16
Wszyscy uczestnicy postępowania
Dotyczy: postępowanie o wartości poniżej 30.000 euro na sprzedaż i dostawę jednorazowego i drobnego sprzętu medycznego
oraz folii operacyjnej ze środkiem bakteriobójczym
Szpital Powiatowy im. Edmunda Biernackiego w Mielcu - odnośnie postępowania o wartości poniżej 30 000 euro
na sprzedaż i dostawę jednorazowego i drobnego sprzętu medycznego oraz folii operacyjnej ze środkiem bakteriobójczym informuje, iż:
1.
Postępowanie przetargowe w Grupie 1 unieważniono – nie złożono żadnej oferty niepodlegającej odrzuceniu.
2.
Postępowanie przetargowe w Grupie 2 unieważniono – nie złożono żadnej oferty niepodlegającej odrzuceniu.
3.
Postępowanie przetargowe w Grupie 3 unieważniono – nie złożono żadnej oferty niepodlegającej odrzuceniu.
4.
Postępowanie przetargowe w Grupie 4 unieważniono – nie złożono żadnej oferty niepodlegającej odrzuceniu.
5.
Postępowanie przetargowe w Grupie 5 unieważniono – nie złożono żadnej oferty niepodlegającej odrzuceniu.
6.
w Grupie 6 wybrano ofertę Wykonawcy:
Promed S.A.
ul. Krajewskiego 1b
01-520 Warszawa
Wartość brutto oferty: 2.916,00 zł
Uzasadnienie wyboru oferty:
złożona przez w/w Wykonawcę oferta spełnia wszystkie wymagania określone przez Zamawiającego
w Zaproszeniu do złożenia oferty cenowej i jest najtańszą ofertą złożoną w niniejszym postępowaniu w Grupie 6.
Nazwy (firmy), siedziby i adresy Wykonawców, którzy złożyli oferty wraz ze streszczeniem oceny i porównania
złożonych ofert zawierającym punktację przyznaną oferentom w każdym kryterium oceny ofert i łączną punktację:
Nr
oferty
Nazwy (firmy), siedziby i adresy Wykonawców
którzy złożyli oferty
Punktacja przyznana
w kryterium
„najniższa cena”
Promed S.A.
ul. Krajewskiego 1b
100,00p.
01-520 Warszawa
Umowa w sprawie zamówienia publicznego zostanie zawarta po dniu 15.11.2016r.
2
Łączna punktacja
100,00p.
7.
w Grupie 7 wybrano ofertę Wykonawcy:
Medicom Sp. z o.o.
ul. M. Skłodowskiej-Curie 34
41-819 Zabrze
Wartość brutto oferty: 14.952,60 zł
Uzasadnienie wyboru oferty:
złożona przez w/w Wykonawcę oferta spełnia wszystkie wymagania określone przez Zamawiającego
w Zaproszeniu do złożenia oferty cenowej i jest najtańszą ofertą złożoną w niniejszym postępowaniu w Grupie 7.
Nazwy (firmy), siedziby i adresy Wykonawców, którzy złożyli oferty wraz ze streszczeniem oceny i porównania
złożonych ofert zawierającym punktację przyznaną oferentom w każdym kryterium oceny ofert i łączną punktację:
Nr
oferty
Nazwy (firmy), siedziby i adresy Wykonawców
którzy złożyli oferty
Punktacja przyznana
w kryterium
„najniższa cena”
Przedsiębiorstwo Medres
Zbigniew Majcher
87,40p.
ul. Torowa 3
35-205 Rzeszów
Medicom Sp. z o.o.
4
ul. M. Skłodowskiej-Curie 34
100,00p.
41-819 Zabrze
Umowa w sprawie zamówienia publicznego zostanie zawarta po dniu 15.11.2016r.
3
8.
Łączna punktacja
87,40p.
100,00p.
w Grupie 8 wybrano ofertę Wykonawcy:
Anpico s.c.
Jerzy Wasilewski, Anna Wołoszyńska
ul. Namysłowska 2 lok. U2
03-454 Warszawa
Wartość brutto oferty: 16.750,80 zł
Uzasadnienie wyboru oferty:
złożona przez w/w Wykonawcę oferta spełnia wszystkie wymagania określone przez Zamawiającego
w Zaproszeniu do złożenia oferty cenowej i jest najtańszą ofertą złożoną w niniejszym postępowaniu w Grupie 8.
Nazwy (firmy), siedziby i adresy Wykonawców, którzy złożyli oferty wraz ze streszczeniem oceny i porównania
złożonych ofert zawierającym punktację przyznaną oferentom w każdym kryterium oceny ofert i łączną punktację:
Nr
oferty
Nazwy (firmy), siedziby i adresy Wykonawców
którzy złożyli oferty
Punktacja przyznana
w kryterium
„najniższa cena”
MCMedical Marcin Cieślak
ul. Owocowy Sad 5
98,50p.
05-500 Piaseczno
Anpico s.c.
Jerzy Wasilewski, Anna Wołoszyńska
5
100,00p.
ul. Namysłowska 2 lok. U2
03-454 Warszawa
Umowa w sprawie zamówienia publicznego zostanie zawarta po dniu 15.11.2016r.
1
9.
W prowadzonym postępowaniu nie wykluczono żadnego Wykonawcy.
10. W prowadzonym postępowaniu nie odrzucono oferty żadnego Wykonawcy.
Łączna punktacja
98,50p.
100,00p.