Zestaw 4 ZADANIA ZAMKNIĘTE Test jednokrotnego wyboru. Każde

Transkrypt

Zestaw 4 ZADANIA ZAMKNIĘTE Test jednokrotnego wyboru. Każde
Zestaw 4
ZADANIA ZAMKNIĘTE
Test jednokrotnego wyboru. Każde zadanie punktowane za jeden punkt.
7
1. Setną cyfrą zaokrąglenia rozwinięcia dziesiętnego ułamka 22 do stu cyfr po przecinku jest
A. 2
B. 3
C. 7
D. 8
2. Jeśli |𝑥 − 6| ≤ 2 oraz |8 − 𝑦| ≤ 3, to największa wartość wyrażenia |𝑥 − 𝑦| jest równa
A. 3
B. 5
C. 7
D. 11
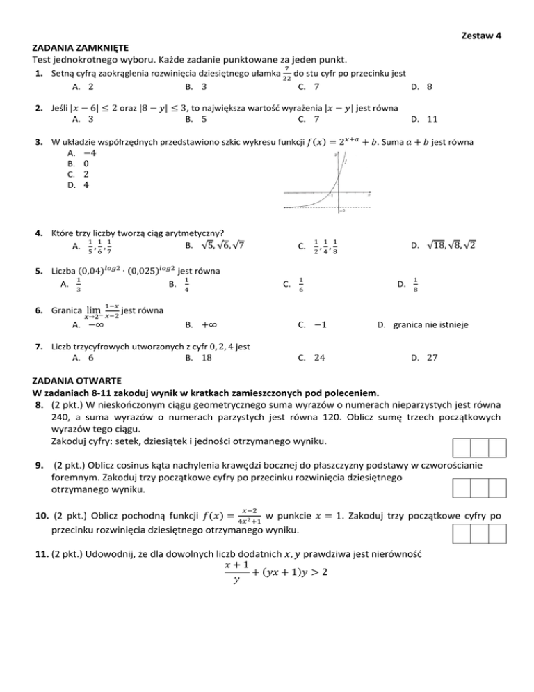
3. W układzie współrzędnych przedstawiono szkic wykresu funkcji 𝑓(𝑥) = 2𝑥+𝑎 + 𝑏. Suma 𝑎 + 𝑏 jest równa
A. −4
B. 0
C. 2
D. 4
4. Które trzy liczby tworzą ciąg arytmetyczny?
1 1 1
B. √5, √6, √7
A. 5 , 6 , 7
5. Liczba (0,04)𝑙𝑜𝑔2 ∙ (0,025)𝑙𝑜𝑔2 jest równa
1
1
A. 3
B. 4
1−𝑥
𝑥→2 𝑥−2
6. Granica lim−
A. −∞
C.
C.
1 1 1
, ,
2 4 8
1
6
D. √18, √8, √2
D.
1
8
jest równa
B. +∞
7. Liczb trzycyfrowych utworzonych z cyfr 0, 2, 4 jest
A. 6
B. 18
C. −1
D. granica nie istnieje
C. 24
D. 27
ZADANIA OTWARTE
W zadaniach 8-11 zakoduj wynik w kratkach zamieszczonych pod poleceniem.
8. (2 pkt.) W nieskończonym ciągu geometrycznego suma wyrazów o numerach nieparzystych jest równa
240, a suma wyrazów o numerach parzystych jest równa 120. Oblicz sumę trzech początkowych
wyrazów tego ciągu.
Zakoduj cyfry: setek, dziesiątek i jedności otrzymanego wyniku.
9. (2 pkt.) Oblicz cosinus kąta nachylenia krawędzi bocznej do płaszczyzny podstawy w czworościanie
foremnym. Zakoduj trzy początkowe cyfry po przecinku rozwinięcia dziesiętnego
otrzymanego wyniku.
𝑥−2
10. (2 pkt.) Oblicz pochodną funkcji 𝑓(𝑥) = 4𝑥 2 +1 w punkcie 𝑥 = 1. Zakoduj trzy początkowe cyfry po
przecinku rozwinięcia dziesiętnego otrzymanego wyniku.
11. (2 pkt.) Udowodnij, że dla dowolnych liczb dodatnich 𝑥, 𝑦 prawdziwa jest nierówność
𝑥+1
+ (𝑦𝑥 + 1)𝑦 > 2
𝑦
12. (3 pkt.) W trójkącie ostrokątnym 𝐴𝐵𝐶 poprowadzono wysokości AD i BE. Udowodnij, że punkty
𝐴, 𝐵, 𝐷, 𝐸 leżą na jednym okręgu.
13. (3 pkt.) Wyznacz wszystkie wartości parametru m, dla których prosta o równaniu 𝑦 = 𝑚𝑥 + (𝑚 + 2)
ma dokładnie dwa punkty wspólne z okręgiem o środku w punkcie 𝑆 = (0,0) i promieniu 𝑟 = 1.
1
14. (3 pkt.) Dana jest parabola o równania 𝑦 = 4 𝑥 2 − 2 i leżący na niej punkt A o współrzędnej 𝑥 równej 4.
Wyznacz równanie stycznej do paraboli w punkcie 𝐴.
𝜋
15. (4 pkt.) Rozwiąż równanie 1 + 2𝑐𝑜𝑠 2 𝑥 = 3𝑠𝑖𝑛 ( 2 + 𝑥).
1
16. (5 pkt.) Wyznacz ekstrema i przedziały monotoniczności funkcji 𝑓(𝑥) = 4 (𝑥 − 2)2 (𝑥 + 1). Wykonaj
wykres te funkcji w przedziale 〈−2,4〉.
17. (5 pkt.) Z urny, w której znajduje się 6 kul białych i 3 czarne losujemy 2 kule. Z pozostałych kul losujemy
jedną. Oblicz prawdopodobieństwo tego, że wylosowana kula będzie biała.
18. (5 pkt.) Dane są cztery liczby, które zapisano w pewnej kolejności. Trzy początkowe tworzą ciąg
geometryczny, zaś trzy końcowe ciąg arytmetyczny. Suma liczb skrajnych jest równa 16, suma liczb
środkowych 15. Wyznacz te liczby.
19. (6 pkt.) Wysokość ostrosłupa prawidłowego trójkątnego ma długość ℎ, a kąt między krawędziami
bocznymi ma miarę 𝛼. Wyznacz objętość ostrosłupa.
Odpowiedzi do zestawu 4