specyfikacja ca³oœć

Transkrypt

specyfikacja ca³oœć
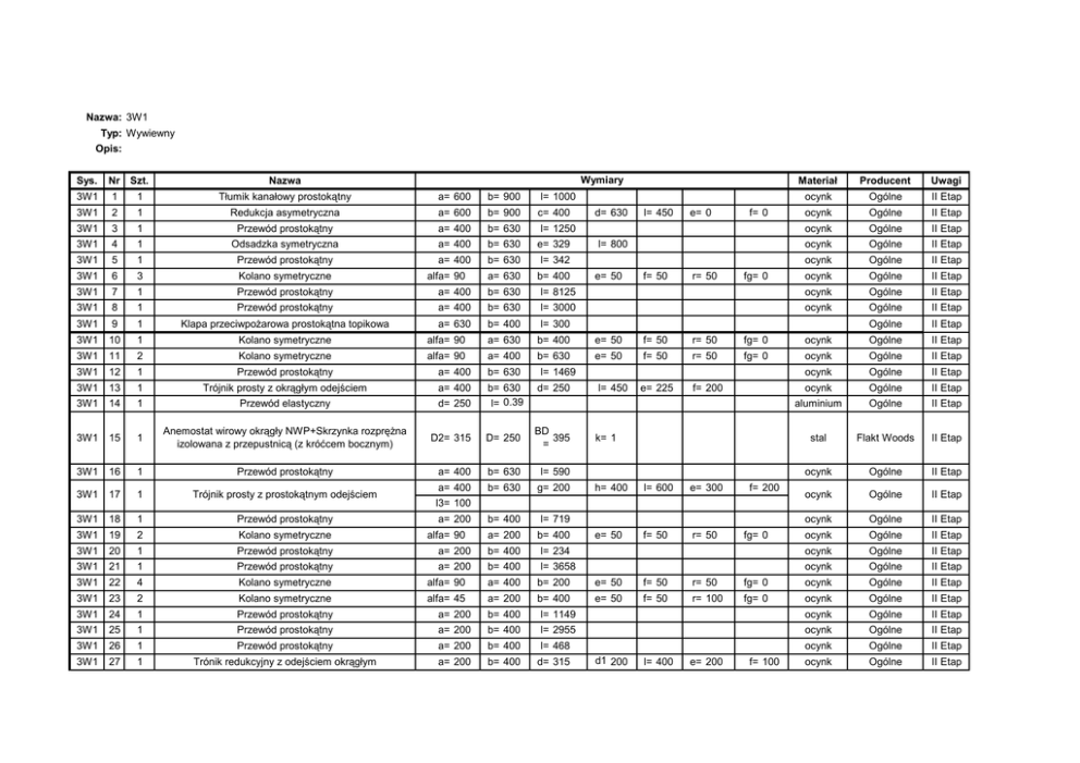
Nazwa: 3W1
Typ: Wywiewny
Opis:
Sys.
Nr Szt.
Wymiary
Nazwa
Materiał
Producent
Uwagi
ocynk
Ogólne
II Etap
ocynk
Ogólne
II Etap
ocynk
Ogólne
II Etap
3W1
1
1
Tłumik kanałowy prostokątny
a= 600
b= 900
l= 1000
3W1
2
1
Redukcja asymetryczna
a= 600
b= 900
c= 400
3W1
3
1
Przewód prostokątny
a= 400
b= 630
l= 1250
3W1
4
1
Odsadzka symetryczna
a= 400
b= 630
e= 329
3W1
5
1
Przewód prostokątny
a= 400
b= 630
l= 342
3W1
6
3
Kolano symetryczne
a= 630
b= 400
ocynk
Ogólne
II Etap
3W1
7
1
Przewód prostokątny
a= 400
b= 630
l= 8125
ocynk
Ogólne
II Etap
ocynk
Ogólne
II Etap
Ogólne
II Etap
II Etap
alfa= 90
d= 630
l= 450
e= 0
f= 0
l= 800
e= 50
f= 50
r= 50
fg= 0
ocynk
Ogólne
II Etap
ocynk
Ogólne
II Etap
3W1
8
1
Przewód prostokątny
a= 400
b= 630
l= 3000
3W1
9
1
Klapa przeciwpoŜarowa prostokątna topikowa
a= 630
b= 400
l= 300
3W1
10
1
Kolano symetryczne
alfa= 90
a= 630
b= 400
e= 50
f= 50
r= 50
fg= 0
ocynk
Ogólne
3W1
11
2
Kolano symetryczne
alfa= 90
a= 400
b= 630
e= 50
f= 50
r= 50
fg= 0
ocynk
Ogólne
II Etap
3W1
12
1
Przewód prostokątny
ocynk
Ogólne
II Etap
a= 400
b= 630
3W1
13
1
Trójnik prosty z okrągłym odejściem
a= 400
3W1
14
1
Przewód elastyczny
d= 250
b= 630
l= 0.39
m
3W1
15
1
Anemostat wirowy okrągły NWP+Skrzynka rozpręŜna
izolowana z przepustnicą (z króćcem bocznym)
D2= 315
D= 250
3W1
16
1
Przewód prostokątny
3W1
17
1
Trójnik prosty z prostokątnym odejściem
3W1
18
1
Przewód prostokątny
3W1
19
2
Kolano symetryczne
3W1
20
1
Przewód prostokątny
l= 1469
d= 250
BD
395
=
a= 400
b= 630
l= 590
a= 400
b= 630
g= 200
b= 400
l= 719
l= 450
e= 225
f= 200
k= 1
h= 400
l= 600
e= 300
f= 200
l3= 100
a= 200
alfa= 90
a= 200
b= 400
a= 200
b= 400
l= 234
a= 200
b= 400
e= 50
f= 50
r= 50
fg= 0
Ogólne
II Etap
Ogólne
II Etap
stal
Flakt Woods
II Etap
ocynk
Ogólne
II Etap
ocynk
Ogólne
II Etap
ocynk
Ogólne
II Etap
ocynk
Ogólne
II Etap
ocynk
Ogólne
II Etap
3W1
21
1
Przewód prostokątny
ocynk
Ogólne
II Etap
3W1
22
4
Kolano symetryczne
alfa= 90
a= 400
b= 200
e= 50
f= 50
r= 50
fg= 0
ocynk
Ogólne
II Etap
3W1
23
2
Kolano symetryczne
alfa= 45
a= 200
b= 400
e= 50
f= 50
r= 100
fg= 0
ocynk
Ogólne
II Etap
3W1
24
1
Przewód prostokątny
ocynk
Ogólne
II Etap
a= 200
b= 400
l= 3658
ocynk
aluminium
l= 1149
3W1
25
1
Przewód prostokątny
a= 200
b= 400
l= 2955
ocynk
Ogólne
II Etap
3W1
26
1
Przewód prostokątny
a= 200
b= 400
l= 468
ocynk
Ogólne
II Etap
3W1
27
1
Trónik redukcyjny z odejściem okrągłym
a= 200
b= 400
d= 315
ocynk
Ogólne
II Etap
d1 200
=
l= 400
e= 200
f= 100
3W1
28
1
Przewód elastyczny
3W1
29
4
Anemostat wirowy okrągły NWP+Skrzynka rozpręŜna
izolowana z przepustnicą (z króćcem bocznym)
d= 200
l= 0.40
m
D2= 250
D= 200
3W1
30
1
Przewód prostokątny
a= 200
b= 315
3W1
31
1
Trójnik prosty z okrągłym odejściem
a= 200
3W1
32
1
Przewód elastyczny
d= 200
b= 315
l= 0.40
b= m
315
3W1
33
1
Symetryczne przejście koło/prostokąt
a= 200
3W1
34
1
Przewód okrągły
d1= 200
3W1
35
1
Przewód elastyczny
d= 200
3W1
36
1
Redukcja asymetryczna
3W1
37
1
Przewód prostokątny
3W1
38
1
3W1
39
1
3W1
40
3W1
41
3W1
3W1
BD
330
=
k= 1
l= 1612
d= 200
d= 200
l= 400
g= 80
e= 200
f= 100
l= 315
a= 315
l1= 0.94
0.84
l= m
m
b= 630
c= 400
a= 315
b= 630
l= 7294
Trójnik z odejściem łukowym
a= 315
b= 630
d= 200
h= 630
r= 100
Symetryczne przejście koło/prostokąt
a= 315
d= 200
g= 80
l= 315
1
Przewód okrągły
d1= 200
1
Przewód elastyczny
d= 200
b= 200
l1= 0.93
0.46
l= m
42
1
Trójnik z odejściem łukowym
a= 315
b= m
630
d= 500
h= 500
r= 100
43
1
Redukcja asymetryczna
a= 315
b= 500
c= 200
d= 500
l= 250
e= 0
alfa 90
=0
f=
a= 200
b= 500
e= 50
f= 50
r= 50
fg= 0
3W1
44
1
Przewód prostokątny
3W1
45
1
Kolano symetryczne
3W1
46
1
Przewód prostokątny
3W1
47
1
Kolano symetryczne
3W1
48
2
Przewód prostokątny
3W1
49
2
Trójnik prosty z prostokątnym odejściem
alfa= 90
a= 200
alfa= 90
d= 630
l= 290
e= 0
l= 830
l= 800
f= 0
alfa 90
=
l= 2036
a= 200
b= 500
b= 500
l= 164
a= 500
b= 200
a= 200
b= 500
l= 500
a= 500
b= 200
g= 225
e= 50
h= 225
f= 50
l= 425
r= 50
e= 213
fg= 0
f= 250
l3= 100
aluminium
Ogólne
II Etap
stal
Flakt Woods
II Etap
ocynk
Ogólne
II Etap
ocynk
Ogólne
II Etap
aluminium
Ogólne
II Etap
ocynk
Ogólne
II Etap
ocynk
Ogólne
II Etap
aluminium
Ogólne
II Etap
ocynk
Ogólne
II Etap
ocynk
Ogólne
II Etap
ocynk
Ogólne
II Etap
ocynk
Ogólne
II Etap
ocynk
Ogólne
II Etap
aluminium
Ogólne
II Etap
ocynk
Ogólne
II Etap
ocynk
Ogólne
II Etap
ocynk
Ogólne
II Etap
ocynk
Ogólne
II Etap
ocynk
Ogólne
II Etap
ocynk
Ogólne
II Etap
ocynk
Ogólne
II Etap
ocynk
Ogólne
II Etap
3W1
50
1
Kratka wentylacyjna prostokątna z przepustnicą
L= 225
H= 225
k= ---------
stal
Ogólne
II Etap
3W1
51
2
Przewód prostokątny
a= 200
b= 500
l= 1500
ocynk
Ogólne
II Etap
3W1
52
2
Trójnik prosty z prostokątnym odejściem
a= 500
b= 200
g= 425
ocynk
Ogólne
II Etap
k= ---------
h= 425
l= 625
e= 313
f= 250
l3= 100
3W1
53
1
Kratka wentylacyjna prostokątna z przepustnicą
L= 425
H= 425
3W1
54
2
Zaślepka
a= 200
b= 500
3W1
55
1
Kolano asymetryczne
alfa= 90
a= 500
b= 315
d= 200
e= 50
f= 50
r= 50
stal
Ogólne
II Etap
ocynk
Ogólne
II Etap
ocynk
Ogólne
II Etap
3W1
56
1
Kratka wentylacyjna prostokątna z przepustnicą
L= 225
H= 225
stal
Ogólne
II Etap
3W1
57
1
Kratka wentylacyjna prostokątna z przepustnicą
L= 425
H= 425
stal
Ogólne
II Etap