Zaproszenie d Zaproszenie do składania ofert

Transkrypt

Zaproszenie d Zaproszenie do składania ofert
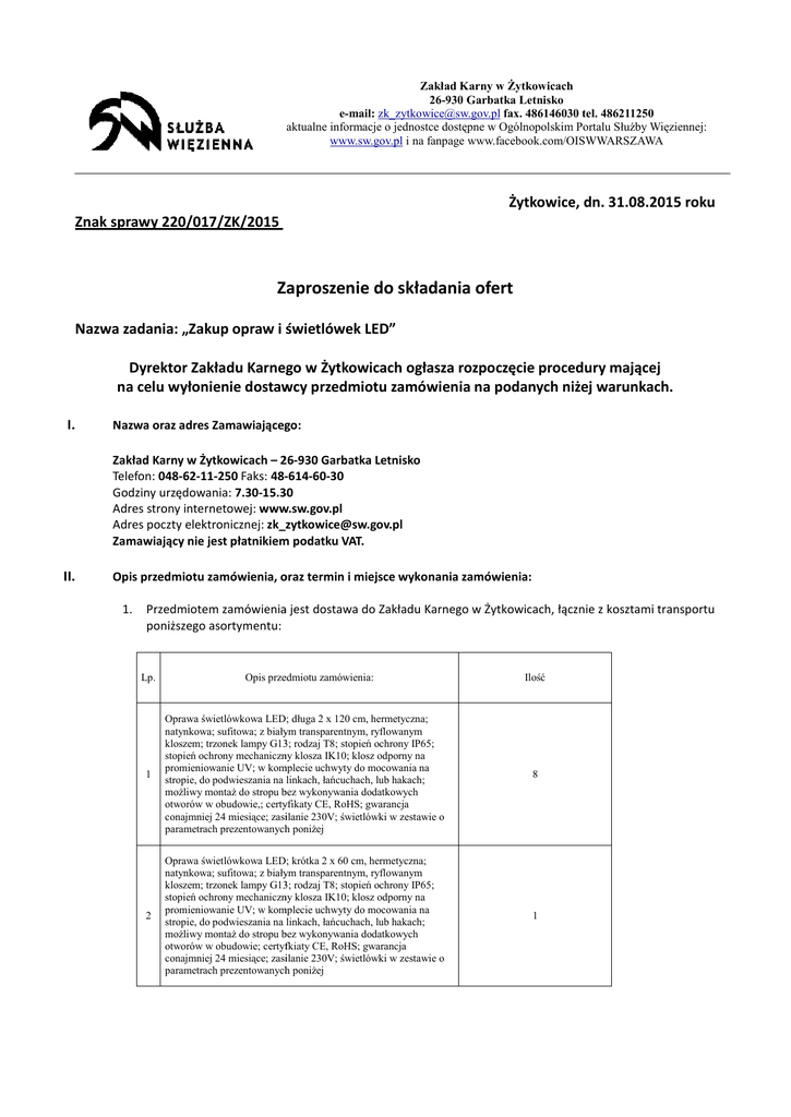
Zakład Karny w śytkowicach
26-930 Garbatka Letnisko
e-mail: [email protected] fax. 486146030 tel. 486211250
aktualne informacje o jednostce dostępne w Ogólnopolskim Portalu SłuŜby Więziennej:
www.sw.gov.pl i na fanpage www.facebook.com/OISWWARSZAWA
Żytkowice, dn. 31.08.2015 roku
Znak sprawy 220/017/ZK/2015
Zaproszenie do składania ofert
Nazwa zadania: „Zakup
Zakup opraw i świetlówek LED
LED”
Dyrektor Zakładu Karnego w Żytkowicach ogłasza rozpoczęcie procedury mającej
na celu wyłonienie dostawcy przedmiotu zamówienia na podanych niżej warunkach.
I.
Nazwa oraz adres Zamawiającego:
Zakład Karny w Żytkowicach – 26
26-930 Garbatka Letnisko
Telefon: 048-62-11-250 Faks: 48--614-60-30
Godziny urzędowania: 7.30-15.30
15.30
Adres strony internetowej: www.sw.gov.pl
Adres poczty elektronicznej: [email protected]
Zamawiający nie jest płatnikiem podatku VAT.
II.
Opis przedmiotu zamówienia, oraz termin i miejsce wykonania zamówienia:
1.
Przedmiotem zamówienia jest dostawa do Zakładu Karnego w Żytkowicach,, łącznie z kosztami transportu
poniższego asortymentu:
Lp.
Opis przedmiotu zamówienia:
Ilość
1
Oprawa świetlówkowa LED; długa 2 x 120 cm, hermetyczna;
natynkowa; sufitowa; z białym transparentnym, ryflowanym
kloszem; trzonek lampy G13; rodzaj T8; stopień ochrony IP65;
stopień ochrony mechaniczny klosza IK10; klosz odporny na
promieniowanie UV; w komplecie uchwyty do mocowania na
stropie, do podwieszania na linkach, łańcuchach, lub hakach;
moŜliwy montaŜ do stropu bez wykonywania dodatkowych
otworów w obudowie,; certyfikaty CE, RoHS; gwarancja
conajmniej 24 miesiące; zasilanie 230V; świetlówki w zestawie o
parametrach prezentowanych poniŜej
8
2
Oprawa świetlówkowa LED; krótka 2 x 60 cm, hermetyczna;
natynkowa; sufitowa; z białym transparentnym, ryflowanym
kloszem; trzonek lampy G13; rodzaj T8; stopień ochrony IP65;
stopień ochrony mechaniczny klosza IK10; klosz odporny na
promieniowanie UV; w komplecie
omplecie uchwyty do mocowania na
stropie, do podwieszania na linkach, łańcuchach, lub hakach;
moŜliwy montaŜ do stropu bez wykonywania dodatkowych
otworów w obudowie; certyfkiaty CE, RoHS; gwarancja
conajmniej 24 miesiące; zasilanie 230V; świetlówki w zest
zestawie o
parametrach prezentowanych poniŜej
1
3
Oprawa świetlówkowa LED; długa 2 x 120 cm, natynkowa;
sufitowa; z białym transparentnym, ryflowanym kloszem; trzonek
lampy G13; rodzaj T8; stopień ochrony IP20; stopień ochrony
mechaniczny klosza conajmniej IK10; klosz odporny na
promieniowanie UV; w komplecie uchwyty do mocowania na
stropie, do podwieszania na linkach, łańcuchach, lub hakach;
moŜliwy montaŜ do stropu bez wykonywania dodatkowych
otworów w obudowie; certyfkiaty CE, RoHS; gwarancja
conajmniej 24 miesiące; zasilanie 230V; świetlówki w zestawie o
parametrach prezentowanych poniŜej
6
4
Oprawa świetlówkowa LED; krótka 2 x 60 cm, natynkowa;
sufitowa; z białym transparentnym, ryflowanym kloszem; trzonek
lampy G13; rodzaj T8; stopień ochrony IP20; stopień ochrony
mechaniczny klosza conajmniej IK05; klosz odporny na
promieniowanie UV; w komplecie uchwyty do mocowania na
stropie, do podwieszania na linkach, łańcuchach, lub hakach;
moŜliwy montaŜ do stropu bez wykonywania dodatkowych
otworów w obudowie,; certyfkiaty CE, RoHS; gwarancja
conajmniej 24 miesiące; zasilanie 230V; świetlówki w zestawie o
parametrach prezentowanych poniŜej
1
5
Oprawa świetlówkowa LED; rastrowa z odbłyśnikami; 2 x 120 cm;
natynkowa; trzonek lampy G13; rodzaj świetlówki T8; obudowa z
blachy stalowej, malowanej elektrostatycznie w kolorze białym;
raster paraboliczny z aluminium lub blachy lustrzanej; napięcie
230V; stopień ochrony IP-20, certyfikat CE; świetlówki w zestawie
o parametrach prezentowanych poniŜej
4
6
Oprawa świetlówkowa LED; rastrowa z odbłyśnikami; 4 x 60 cm;
natynkowa; trzonek lampy G13; rodzaj świetlówki T8; obudowa z
blachy stalowej, malowanej elektrostatycznie w kolorze białym;
raster paraboliczny z aluminium blachy lustrzanej; napięcie 230V;
stopień ochrony IP-20, certyfikat CE; świetlówki w zestawie o
parametrach prezentowanych poniŜej
7
7
8
9
świetlówki LED krótkie 60 cm; 10W; poliwęglan lub poliwęglan z
wbudowanym odbłyśnikiem aluminiowym; barwa światła biała
zimna (5500-6500 K); trzonek lampy G13; rodzaj t8; jasność co
najmniej 850 lumenów, klasa energetyczna co najmniej A+
świetlówki LED długie 120 cm; 18W; osłona świetlówki:
poliwęglan lub poliwęglan z wbudowanym odbłyśnikiem
aluminiowym; barwa światła biała zimna (5500-6500 K); trzonek
lampy G13; rodzaj t8; jasność co najmniej 1800 lumenów; klasa
energetyczna co najmniej A+
Ŝarówka LED e27 (z duŜym gwintem), 10W; barwa światła biała
zimna (5500-6500 K), jasność co najmniej 800 lumenów, klasa
energetyczna co najmniej A+
108
78
10
*Dopuszczalne jest zaproponowanie oferty z oprawami bez świetlówek, w takim przypadku należy
doliczyć świetlówki do świetlówek kupowanych „luzem”.
2.
3.
4.
5.
III.
Minimalny okres gwarancji: 24 miesiące od daty dostawy.
Zamawiający zastrzega sobie prawo zwiększenia, bądź zmniejszenia ilości sztuk przedmiotu zamówienia
o maksymalnie +/- 30% w każdej z pozycji.
Kod CPV: 31520000-7, 31532920-9
Termin wykonania zamówienia do 25.09.2015 r. – obejmuje dostarczenie przedmiotu zamówienia, oraz
wystawienie i dostarczenie faktury do siedziby Zamawiającego.
Tryb udzielania zamówienia:
1. Postępowanie prowadzone jest na podstawie art. 4 pkt. 8 ustawy z dnia 29 stycznia 2004 r. Prawo
zamówień publicznych (Dz. U. z 2013 r., poz. 907 z późn. zm.) oraz Zarządzenia nr 33/2014 Dyrektora
Zakładu Karnego w Żytkowicach z dnia 26.05.2014 roku w sprawie ramowych procedur realizacji
zamówień i dokonywania zakupów o wartości szacunkowej nieprzekraczającej 30 000 Euro.
IV.
Warunki finansowe, rozliczenia, płatności:
1. Płatność nastąpi w przeciągu 30 dni od momentu otrzymania przez ZK Żytkowice prawidłowo
wystawionej przez Wykonawcę faktury VAT, po dostarczeniu przedmiotu zamówienia – przelew.
V.
Sposoby komunikacji i osoby uprawnione do kontaktów z oferentami :
1. Osobami uprawnionymi do kontaktów ze strony Zamawiającego są osoby wyznaczone poniżej. Wnioski,
zapytania, prośby można dostarczać osobiście na adres wyszczególniony w punkcie nr I niniejszego
zaproszenia bądź przesyłać listownie, faksem, lub poprzez e-mail.
ppor. Jarosław Janiszewski – tel.
adres e-mail: [email protected]
ppor.
Hubert
Bąk
–
tel.
48
adres e-mail: [email protected],
VI.
2.
3.
4.
5.
6.
7.
8.
2.
2.
106,
nr
nr
faksu:
faksu:
48 614-60-30,
48 614-60-30,
Ofertę należy sporządzić zgodnie z wzorcowym formularzem oferty stanowiącym Załącznik nr 1 do
niniejszego zaproszenia.
W ofercie należy podać ceny brutto za poszczególne części składowe przedmiotu zamówienia.
Oferta musi być złożona w formie pisemnej oraz winna być podpisana przez osobę (osoby) uprawnione
do występowania w imieniu Wykonawcy (do oferty winny być dołączone pełnomocnictwa, zgodnie
z wymaganiami kodeksu cywilnego) Wszystkie załączniki do oferty, stanowiące oświadczenia powinny
być również podpisane przez upoważnionego przedstawiciela. Zakres reprezentacji przedsiębiorcy musi
wynikać z dokumentów przedstawionych przez Wykonawcę.
W przypadku, gdy załącznikiem do oferty jest kopia dokumentu, musi być ona potwierdzona za zgodność
z oryginałem przez Wykonawcę poprzez dodanie adnotacji: „za zgodność z oryginałem” i umieszczenie
podpisu upoważnionego przedstawiciela.
Wszystkie strony oferty, a także miejsca, w których Wykonawca naniósł zmiany, winny być parafowane
przez osobę podpisującą ofertę.
Koszty opracowania i złożenia oferty ponosi Wykonawca.
Każdy Wykonawca w prowadzonym postępowaniu może złożyć wyłącznie jedną ofertę.
Cena podana w ofercie winna obejmować wszystkie koszty i składniki związane z wykonaniem
zamówienia oraz warunkami stawianymi przez Zamawiającego, w tym: podatek od towarów i usług
oraz podatek akcyzowy, transport, opakowanie, oraz inne składniki mające wpływ na wysokość ceny.
Zamawiający, w toku badania i oceny ofert, może żądać od Wykonawców wyjaśnień dotyczących treści
złożonych ofert.
Zamawiający poprawia oczywiste omyłki pisarskie i oczywiste omyłki rachunkowe, z uwzględnieniem
konsekwencji rachunkowych dokonanych poprawek.
Zamawiający odrzuci ofertę w przypadku gdy jest niezgodna z niniejszym zaproszeniem
do składania ofert, lub została złożona po terminie określonym w rozdziale X niniejszego zaproszenia.
Oferta odrzucona nie będzie rozpatrywana.
Kryterium oceny ofert:
1.
2.
X.
wew.
235,
Odrzucenie oferty:
1.
IX.
6211250
wew.
Wyjaśnienia treści złożonych ofert, omyłki pisarskie i rachunkowe.
1.
VIII.
6211250
Opis sposobu przygotowania oferty:
1.
VII.
48
Kryterium wyboru oferty jest najniższa cena (cena – 100%),
Ofertą najkorzystniejszą będzie oferta z najniższą ceną, spełniająca wymagania Zamawiającego.
Miejsce i termin składania i otwarcia ofert:
1. Oferty można składać w siedzibie Zamawiającego (Zakład Karny w Żytkowicach, 26-930 Garbatka
Letnisko) w kancelarii jednostki (pokój nr 27), bądź przesyłać na numer faksu 48 614-60-30.
2.
3.
4.
5.
6.
Oferty składane za pomocą Poczty Polskiej, bądź innej firmy świadczącej usługi pocztowe, kurierskie itp.
należy adresować – kierować na adres podany w rozdziale I niniejszego zaproszenia z dopiskiem „Oferta
na oprawy i świetlówki LED”.
Oferty można składać do 14 września 2015 r. do godz. 09:00. W przypadkach określonych w punkcie 2.
liczy się data dostarczenia a nie data wysłania.
Porównanie ofert oraz wybranie najkorzystniejszej oferty nastąpi po terminie określonym w podpunkcie
2 nie później jednak niż w przeciągu 3 dni.
Wykonawca może przed upływem terminu składania ofert wycofać bądź zmienić swoją ofertę.
Termin związania ofertą wynosi 21 dni od dnia określonego w podpunkcie 2.
XI.
Wybór najkorzystniejszej oferty i zawarcie umowy:
1. Niniejsze zaproszenie do składania ofert nie stanowi zobowiązania Zamawiającego do udzielenia
zamówienia.
2. Zamawiający zastrzega sobie prawo przerwania niniejszej procedury w każdym momencie bez podania
przyczyny.
3. Zamawiający zastrzega sobie prawo przeprowadzenia dodatkowych negocjacji w momencie uzyskania
niesatysfakcjonującej ceny za przedmiot zamówienia.
XII.
W sprawach nie unormowanych niniejszym zaproszeniem zastosowanie mają przepisy kodeksu cywilnego.
Wykonano w 1 egz. strona zp.sw.gov.pl
HB