Szczególowy opis przedmiotu zamówienia.dot

Transkrypt

Szczególowy opis przedmiotu zamówienia.dot
Załącznik nr 1 do SIWZ
Znak sprawy: KA-2/041/2011
SZCZEGÓŁOWY OPIS PRZEDMIOTU ZAMÓWIENIA
Zadanie nr 1
Dostawa specjalistycznej drukarki do dyplomów i legitymacji dla jednostki: M-0
Powyższe wymagania spełnia np. drukarka typu Olivetti P10x Spctrum lub równoważna
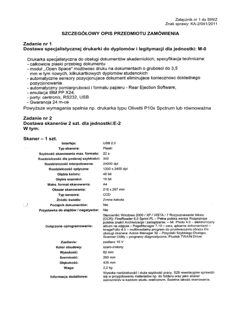
Zadanie nr 2
Dostawa skanerów 2 szt. dla jednostki:E-2
W tym:
Skaner – 1 szt.
Przykładowy model np. Plustek Opticpro S28+Finereader Sprint A4 lub równoważny
Skaner – 1 szt.
Przykładowy model np. Must Skaner Scan Express A3 USB 1200 Pro lub
równoważny
Zadanie nr 3
Dostawa skanera , urządzenia wielofunkcyjnego,
ZKF-2
drukarki igłowej dla jednostki:
Skaner:
-automatyczny podajnik
-kopiowanie, możliwość wysyłki mailem
- kolor
-format A4
Gwarancja producenta.
Przykładowy model Canon CS 5600F lub równoważny
Urządzenie wielofunkcyjne laserowe kolorowe rozmiar papieru A-4 skaner drukarka do
pracy w sieci:
-drukarka kolorowa laserowa
-wydruk dwustronny
-skaner format A4
- ksero kolor
-praca w sieci
Gwarancja producenta.
Drukarka igłowaprzeznaczona do wydruków na składankach
-24-igłowa głowica
-Szybkość druku: do 473 znaków na sekundę -Obsługa papieru wielowarstwowego
(oryginał + 4 kopie) -praca w sieci -wydruk z usb
Gwarancja producenta.
Przykładowy model OKI Microline 5521 lub równoważny