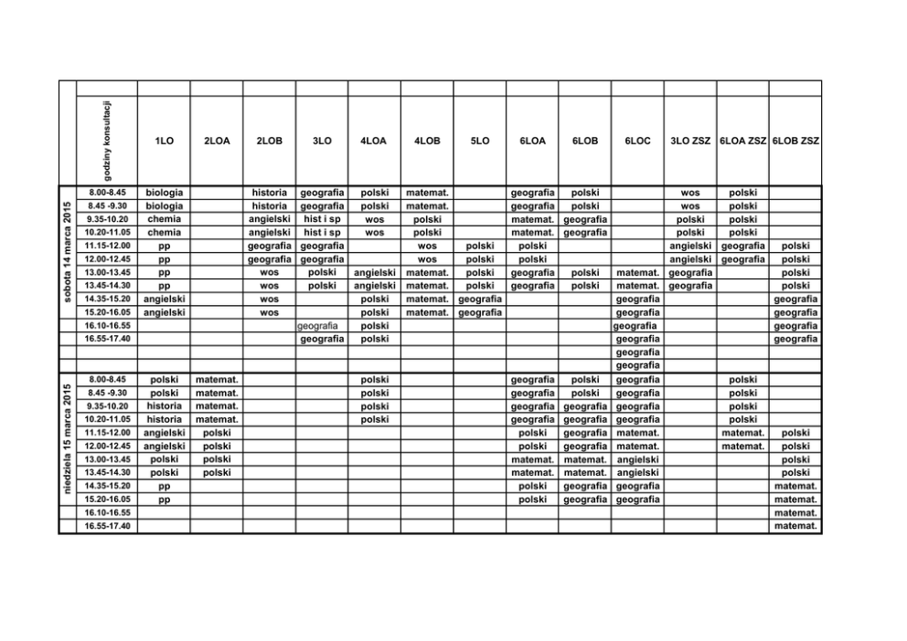
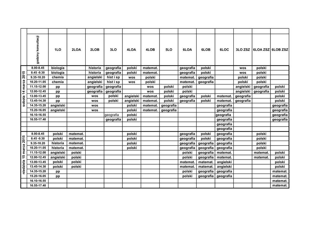
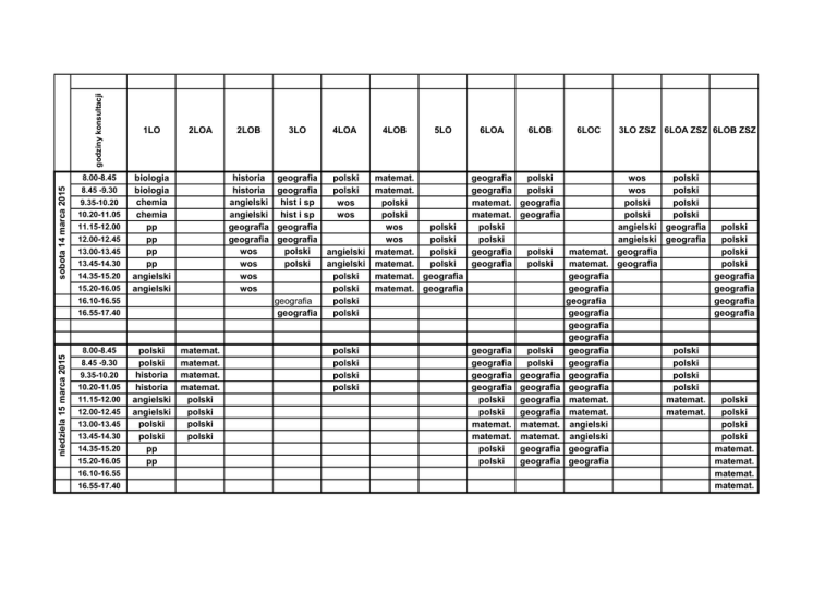
1LO 2LOA 2LOB 3LO 4LOA 4LOB 5LO 6LOA 6LOB 6LOC

Transkrypt

1LO 2LOA 2LOB 3LO 4LOA 4LOB 5LO 6LOA 6LOB 6LOC
godziny konsultacji
sobota 14 marca 2015
8.00-8.45
8.45 -9.30
9.35-10.20
10.20-11.05
11.15-12.00
12.00-12.45
13.00-13.45
13.45-14.30
14.35-15.20
15.20-16.05
1LO
2LOA
biologia
biologia
chemia
chemia
pp
pp
pp
pp
angielski
angielski
niedziela 15 marca 2015
16.55-17.40
8.00-8.45
9.35-10.20
10.20-11.05
11.15-12.00
12.00-12.45
13.00-13.45
13.45-14.30
14.35-15.20
15.20-16.05
16.10-16.55
16.55-17.40
3LO
4LOA
historia
historia
angielski
angielski
geografia
geografia
wos
wos
wos
wos
geografia
geografia
hist i sp
hist i sp
geografia
geografia
polski
polski
polski
polski
wos
wos
geografia
geografia
16.10-16.55
8.45 -9.30
2LOB
polski
polski
historia
historia
angielski
angielski
polski
polski
pp
pp
matemat.
matemat.
matemat.
matemat.
polski
polski
polski
polski
angielski
angielski
polski
polski
polski
polski
polski
polski
polski
polski
4LOB
5LO
matemat.
matemat.
polski
polski
wos
polski
wos
polski
matemat.
polski
matemat.
polski
matemat. geografia
matemat. geografia
6LOA
6LOB
6LOC
3LO ZSZ 6LOA ZSZ 6LOB ZSZ
geografia
polski
wos
geografia
polski
wos
matemat. geografia
polski
matemat. geografia
polski
polski
angielski
polski
angielski
geografia
polski
matemat. geografia
geografia
polski
matemat. geografia
geografia
geografia
geografia
geografia
geografia
geografia
geografia
polski
geografia
geografia
polski
geografia
geografia geografia geografia
geografia geografia geografia
polski
geografia matemat.
polski
geografia matemat.
matemat. matemat. angielski
matemat. matemat. angielski
polski
geografia geografia
polski
geografia geografia
polski
polski
polski
polski
geografia
geografia
polski
polski
polski
polski
matemat.
matemat.
polski
polski
polski
polski
geografia
geografia
geografia
geografia
polski
polski
polski
polski
matemat.
matemat.
matemat.
matemat.