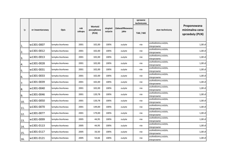
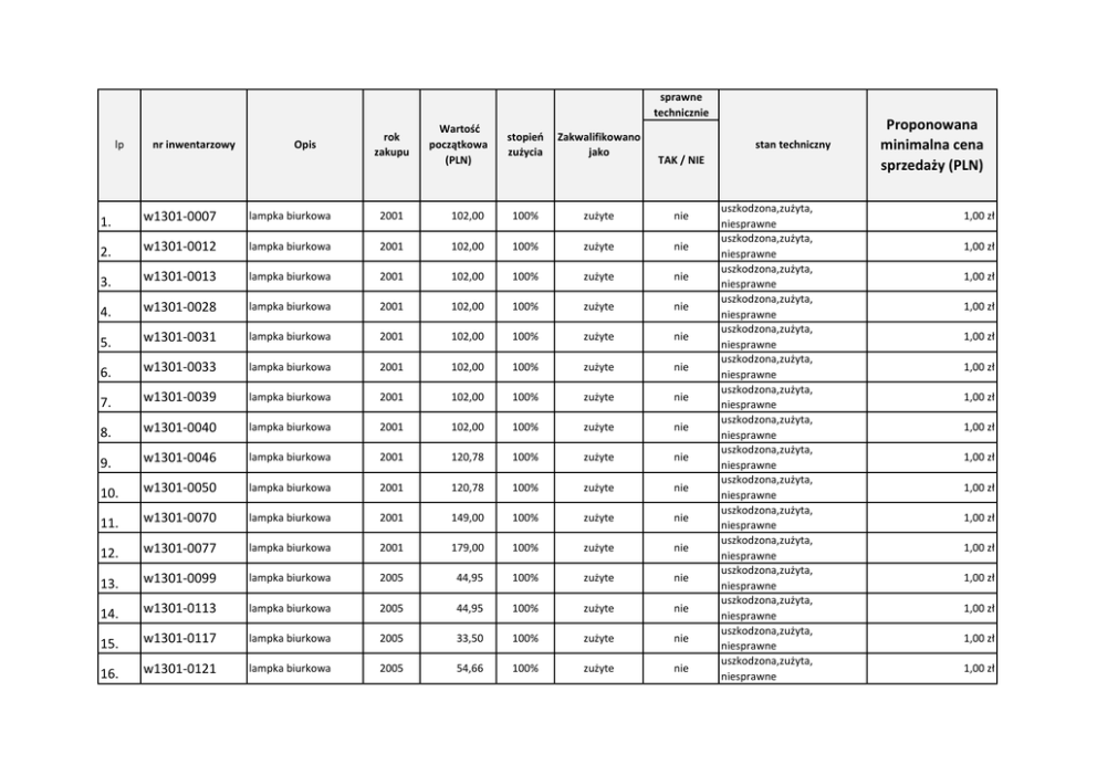
Załącznik nr 2

Transkrypt

Załącznik nr 2
sprawne
technicznie
lp
nr inwentarzowy
Opis
rok
zakupu
Wartość
początkowa
(PLN)
stopień
zużycia
Zakwalifikowano
jako
stan techniczny
TAK / NIE
1.
w1301-0007
lampka biurkowa
2001
102,00
100%
zużyte
nie
2.
w1301-0012
lampka biurkowa
2001
102,00
100%
zużyte
nie
3.
w1301-0013
lampka biurkowa
2001
102,00
100%
zużyte
nie
4.
w1301-0028
lampka biurkowa
2001
102,00
100%
zużyte
nie
5.
w1301-0031
lampka biurkowa
2001
102,00
100%
zużyte
nie
6.
w1301-0033
lampka biurkowa
2001
102,00
100%
zużyte
nie
7.
w1301-0039
lampka biurkowa
2001
102,00
100%
zużyte
nie
8.
w1301-0040
lampka biurkowa
2001
102,00
100%
zużyte
nie
9.
w1301-0046
lampka biurkowa
2001
120,78
100%
zużyte
nie
10.
w1301-0050
lampka biurkowa
2001
120,78
100%
zużyte
nie
11.
w1301-0070
lampka biurkowa
2001
149,00
100%
zużyte
nie
12.
w1301-0077
lampka biurkowa
2001
179,00
100%
zużyte
nie
13.
w1301-0099
lampka biurkowa
2005
44,95
100%
zużyte
nie
14.
w1301-0113
lampka biurkowa
2005
44,95
100%
zużyte
nie
15.
w1301-0117
lampka biurkowa
2005
33,50
100%
zużyte
nie
16.
w1301-0121
lampka biurkowa
2005
54,66
100%
zużyte
nie
uszkodzona,zużyta,
niesprawne
uszkodzona,zużyta,
niesprawne
uszkodzona,zużyta,
niesprawne
uszkodzona,zużyta,
niesprawne
uszkodzona,zużyta,
niesprawne
uszkodzona,zużyta,
niesprawne
uszkodzona,zużyta,
niesprawne
uszkodzona,zużyta,
niesprawne
uszkodzona,zużyta,
niesprawne
uszkodzona,zużyta,
niesprawne
uszkodzona,zużyta,
niesprawne
uszkodzona,zużyta,
niesprawne
uszkodzona,zużyta,
niesprawne
uszkodzona,zużyta,
niesprawne
uszkodzona,zużyta,
niesprawne
uszkodzona,zużyta,
niesprawne
Proponowana
minimalna cena
sprzedaży (PLN)
1,00 zł
1,00 zł
1,00 zł
1,00 zł
1,00 zł
1,00 zł
1,00 zł
1,00 zł
1,00 zł
1,00 zł
1,00 zł
1,00 zł
1,00 zł
1,00 zł
1,00 zł
1,00 zł
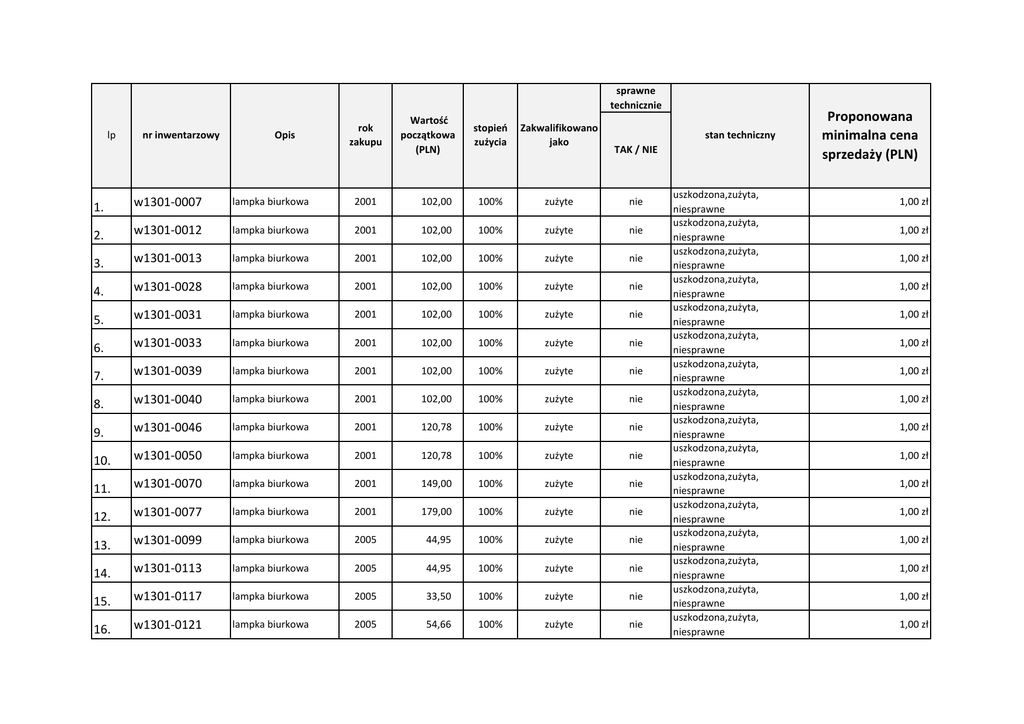
sprawne
technicznie
lp
nr inwentarzowy
Opis
rok
zakupu
Wartość
początkowa
(PLN)
stopień
zużycia
Zakwalifikowano
jako
stan techniczny
TAK / NIE
17.
w1301-0125
lampka biurkowa
2005
99,00
100%
zużyte
nie
18.
w1301-0127
lampka biurkowa
2005
99,00
100%
zużyte
nie
19.
w1301-0129
lampka biurkowa
2005
99,00
100%
zużyte
nie
20.
w1301-0130
lampka biurkowa
2007
99,00
100%
zużyte
nie
21.
w1301-0132
lampka biurkowa
2007
99,00
100%
zużyte
nie
22.
w1301-0135
lampka biurkowa
2007
99,00
100%
zużyte
nie
23.
w1301-0136
lampka biurkowa
2007
99,00
100%
zużyte
nie
24.
w1301-0138
lampka biurkowa
2007
99,00
100%
zużyte
nie
25.
w1301-0141
lampka biurkowa
2007
99,00
100%
zużyte
nie
26.
w1301-0142
lampka biurkowa
2007
99,00
100%
zużyte
nie
27.
w1301-0144
lampka biurkowa
2007
99,00
100%
zużyte
nie
28.
w1301-0150
lampka biurkowa
2007
99,00
100%
zużyte
nie
W1402-0002
kalkulator (maszyny
liczące na taśme
papierową)
W1402-0006
kalkulator (maszyny
liczące na taśme
papierową)
29.
30.
uszkodzona,zużyta,
niesprawne
uszkodzona,zużyta,
niesprawne
uszkodzona,zużyta,
niesprawne
uszkodzona,zużyta,
niesprawne
uszkodzona,zużyta,
niesprawne
uszkodzona,zużyta,
niesprawne
uszkodzona,zużyta,
niesprawne
uszkodzona,zużyta,
niesprawne
uszkodzona,zużyta,
niesprawne
uszkodzona,zużyta,
niesprawne
uszkodzona,zużyta,
niesprawne
uszkodzona,zużyta,
niesprawne
nie
2003
763,10
100%
zużyte
664,90
100%
zużyte
1,00 zł
1,00 zł
1,00 zł
1,00 zł
1,00 zł
1,00 zł
1,00 zł
1,00 zł
1,00 zł
1,00 zł
1,00 zł
1,00 zł
5,00 zł
uszkodzone, zużyte
nie
2003
Proponowana
minimalna cena
sprzedaży (PLN)
5,00 zł
uszkodzone, zużyte
sprawne
technicznie
lp
31.
32.
33.
34.
35.
36.
37.
nr inwentarzowy
Opis
W1402-0007
kalkulator (maszyny
liczące na taśme
papierową)
W1402-0008
kalkulator (maszyny
liczące na taśme
papierową)
W1402-0009
kalkulator (maszyny
liczące na taśme
papierową)
W1402-0010
kalkulator (maszyny
liczące na taśme
papierową)
W1402-0011
kalkulator (maszyny
liczące na taśme
papierową)
W1402-0012
kalkulator (maszyny
liczące na taśme
papierową)
W1402-0013
kalkulator (maszyny
liczące na taśme
papierową)
rok
zakupu
Wartość
początkowa
(PLN)
stopień
zużycia
Zakwalifikowano
jako
stan techniczny
TAK / NIE
nie
2003
664,90
100%
zużyte
5,00 zł
uszkodzone, zużyte
nie
2003
664,90
100%
zużyte
5,00 zł
uszkodzone, zużyte
nie
2003
664,90
100%
zużyte
5,00 zł
uszkodzone, zużyte
nie
2005
294,24
100%
zużyte
5,00 zł
uszkodzone, zużyte
nie
2005
294,24
100%
zużyte
5,00 zł
uszkodzone, zużyte
nie
2005
294,24
100%
zużyte
5,00 zł
uszkodzone, zużyte
nie
2005
294,24
100%
zużyte
Proponowana
minimalna cena
sprzedaży (PLN)
5,00 zł
uszkodzone, zużyte
sprawne
technicznie
lp
nr inwentarzowy
Opis
rok
zakupu
Wartość
początkowa
(PLN)
W1402-0014
kalkulator (maszyny
liczące na taśme
papierową)
39.
40.
W1402-0015
W1409-0026
kalkulator (maszyny
liczące na taśme
papierową)
Nawiżacz
2005
2005
207,24
41.
42.
43.
44.
45.
46.
47.
48.
W1417-0002
W1417-0003
W1417-0007
W1417-0011
W1417-0012
W1417-0013
W1417-0014
W1417-0016
Odkurzacz
Odkurzacz
Odkurzacz
Odkurzacz
Odkurzacz
Odkurzacz
Odkurzacz
Odkurzacz
2003
2003
2003
2005
2005
2005
2005
2005
690,00
49.
50.
51.
52.
53.
54.
55.
56.
57.
58.
W1417-0017
W1421-0003
W1421-0004
W1421-0005
W1421-0007
W1421-0009
W1421-0010
W1421-0011
W1421-0035
W1421-0036
Odkurzacz
Termowentylator
Termowentylator
Termowentylator
Termowentylator
Termowentylator
Termowentylator
Termowentylator
Termowentylator
Termowentylator
2005
2003
2003
2003
2003
2003
2003
2003
2005
2005
495,00
38.
stopień
zużycia
Zakwalifikowano
jako
stan techniczny
TAK / NIE
nie
2005
294,24
100%
zużyte
5,00 zł
uszkodzone, zużyte
nie
396,00
399,00
599,00
495,00
495,00
495,00
495,00
495,00
89,00
89,00
89,00
89,00
89,00
89,00
89,00
124,44
124,44
100%
100%
zużyte
zużyte
80%
100%
100%
100%
100%
100%
100%
100%
zbędne
zuzyte
zuzyte
zuzyte
zuzyte
zuzyte
zuzyte
zuzyte
80%
100%
100%
100%
100%
100%
100%
100%
100%
100%
zbędne
zużyte
zużyte
zużyte
zużyte
zużyte
zużyte
zużyte
zużyte
zużyte
Proponowana
minimalna cena
sprzedaży (PLN)
nie
TAK
nie
nie
nie
nie
nie
nie
nie
TAK
nie
nie
nie
nie
nie
nie
nie
nie
nie
5,00 zł
uszkodzone, zużyte
uszkodzone, zużyte
zużyty podniszczony, brak
osprzętu
uszkodzone, zużyte
uszkodzone, zużyte
uszkodzone, zużyte
uszkodzone, zużyte
uszkodzone, zużyte
uszkodzone, zużyte
uszkodzone, zużyte
zużyty podniszczony, brak
osprzętu
uszkodzone, zużyte
uszkodzone, zużyte
uszkodzone, zużyte
uszkodzone, zużyte
uszkodzone, zużyte
uszkodzone, zużyte
uszkodzone, zużyte
uszkodzone, zużyte
uszkodzone, zużyte
1,00 zł
60,00 zł
5,00 zł
5,00 zł
5,00 zł
5,00 zł
5,00 zł
5,00 zł
5,00 zł
50,00 zł
3,00 zł
3,00 zł
3,00 zł
3,00 zł
3,00 zł
3,00 zł
3,00 zł
3,00 zł
3,00 zł
sprawne
technicznie
lp
nr inwentarzowy
Opis
rok
zakupu
Wartość
początkowa
(PLN)
stopień
zużycia
Zakwalifikowano
jako
zużyte
zużyte
zużyte
59.
60.
W1421-0040
W1421-0047
Termowentylator
Termowentylator
2005
2005
124,44
124,44
100%
100%
61.
W1421-0052
Grzejnik olej
2005
346,48
100%
62.
W1410-0004
Aparat telefoniczny
sznurowy
2003
88,00
100%
zużyte
63.
W1410-0073
Aparat telefoniczny
sznurowy
2003
82,42
100%
zużyte
64.
W1410-0090
Aparat telefoniczny
sznurowy
2004
143,53
100%
zużyte
65.
W1410-0091
Aparat telefoniczny
sznurowy
2004
143,53
100%
zużyte
66.
W1410-0092
Aparat telefoniczny
sznurowy
2004
143,53
100%
zużyte
67.
W1410-0093
Aparat telefoniczny
sznurowy
2004
143,53
100%
zużyte
68.
W1410-0108
Aparat telefoniczny
sznurowy
2005
79,00
100%
zużyte
69.
W1410-0119
Aparat telefoniczny
sznurowy
2005
79,00
100%
zużyte
70.
W1410-0123
Aparat telefoniczny
sznurowy
2005
79,00
100%
zużyte
stan techniczny
TAK / NIE
nie
nie
nie
uszkodzone, zużyte
uszkodzone, zużyte
całkowicie uszkodzony,
dziurawy bez oleju
nie
Proponowana
minimalna cena
sprzedaży (PLN)
3,00 zł
3,00 zł
3,00 zł
5,00 zł
uszkodzone, zużyte
nie
5,00 zł
uszkodzone, zużyte
nie
5,00 zł
uszkodzone, zużyte
nie
5,00 zł
uszkodzone, zużyte
nie
5,00 zł
uszkodzone, zużyte
nie
5,00 zł
uszkodzone, zużyte
nie
5,00 zł
uszkodzone, zużyte
nie
5,00 zł
uszkodzone, zużyte
nie
5,00 zł
uszkodzone, zużyte
sprawne
technicznie
lp
nr inwentarzowy
Opis
rok
zakupu
Wartość
początkowa
(PLN)
stopień
zużycia
Zakwalifikowano
jako
71.
W1410-0128
Aparat telefoniczny
sznurowy
2005
79,00
100%
zużyte
72.
W1410-0129
Aparat telefoniczny
sznurowy
2005
79,00
100%
zużyte
73.
W1410-0130
Aparat telefoniczny
sznurowy
2005
79,00
100%
zużyte
74.
W1410-0132
Aparat telefoniczny
sznurowy
2005
79,00
100%
zużyte
75.
W1410-0276
Aparat telefoniczny
sznurowy
2011
430,50
95%
zbędne
76.
W1410-0281
Aparat telefoniczny
sznurowy
2011
430,50
95%
zbędne
77.
W1410-0132
2005
79,00
100%
zużyte
78.
w1401-0005
1996
585,60
100%
zużyte
79.
w1401-0007
1996
573,40
100%
zużyte
80.
w1401-0009
1996
585,60
100%
zużyte
81.
w1401-0017
1997
768,60
100%
zużyte
82.
w1401-0019
1997
585,60
100%
zużyte
Aparat telefoniczny
sznurowy
Maszyna do pisania
elektron.
Maszyna do pisania
elektron.
Maszyna do pisania
elektron.
Maszyna do pisania
elektron.
Maszyna do pisania
elektron.
stan techniczny
TAK / NIE
nie
Proponowana
minimalna cena
sprzedaży (PLN)
5,00 zł
uszkodzone, zużyte
nie
5,00 zł
uszkodzone, zużyte
nie
5,00 zł
uszkodzone, zużyte
nie
5,00 zł
uszkodzone, zużyte
TAK
20,00 zł
technicznie przestarzałe
TAK
30,00 zł
technicznie przestarzałe
nie
5,00 zł
uszkodzone, zużyte
nie
nie
nie
nie
nie
uszkodzone, zużyte
uszkodzone, zużyte
uszkodzone, zużyte
uszkodzone, zużyte
uszkodzone, zużyte
5,00 zł
5,00 zł
5,00 zł
5,00 zł
5,00 zł
sprawne
technicznie
lp
nr inwentarzowy
83.
w1401-0024
84.
85.
86.
87.
88.
89.
90.
91.
92.
w1401-0025
W1412-0013
W1412-0020
W1412-0029
W1412-0047
W1412-0071
W1412-0072
W1412-0091
W1412-0012
93.
94.
95.
w1440-0161
W1409-0003
W1409-0004
96.
K1403-0002
97.
k1403-0004
98.
k1403-0006
99.
k1403-0008
100.
k1403-0009
101.
k1403-0011
102.
k1403-0012
Opis
Maszyna do pisania
elektron.
Maszyna do pisania
elektron.
Aparat radiowy
Aparat radiowy
Aparat radiowy
Aparat radiowy
Aparat radiowy
Aparat radiowy
Aparat radiowy
Aparat radiowy
Kserokopiarka
Toshiba 163
Niszczarka
Niszczarka
Kserokopiarka Canon
PC
Kserokopiarka Canon
6512
Kserokopiarka Canon
6512
Kserokopiarka
Toshiba 161
Kserokopiarka
Toshiba 161
Kserokopiarka
Toshiba 160
Kserokopiarka
Toshiba 160
rok
zakupu
Wartość
początkowa
(PLN)
stopień
zużycia
Zakwalifikowano
jako
stan techniczny
TAK / NIE
nie
1997
628,30
100%
zużyte
1997
1999
1999
2004
2004
2005
2005
2005
1999
628,30
100%
100%
100%
100%
100%
100%
100%
100%
100%
zużyte
zużyte
zużyte
zużyte
zużyte
zużyte
zużyte
zużyte
zużyte
2009
2003
2004
446,52
638,06
100%
100%
100%
zużyte
zużyte
zużyte
2002
2 793,80
100%
zbędne
2004
2 074,00
100%
zbędne
2004
2 074,00
100%
zbędne
nie
Uszkodzone,zużyte
2005
3 163,46
85%
zbędne
nie
Uszkodzone,zużyte
2005
3 163,46
85%
zbędne
nie
Uszkodzone,zużyte
2005
3 397,70
95%
zbędne
nie
Uszkodzone,zużyte
2005
3 397,70
95%
zbędne
nie
Uszkodzone,zużyte
120,00
145,00
180,72
185,33
205,00
205,00
205,00
120,00
951,60
nie
nie
nie
nie
nie
nie
nie
nie
nie
nie
nie
nie
nie
nie
uszkodzone, zużyte
uszkodzone, zużyte
uszkodzone, zużyte
uszkodzone, zużyte
uszkodzone, zużyte
uszkodzone, zużyte
uszkodzone, zużyte
uszkodzone, zużyte
uszkodzone, zużyte
uszkodzone, zużyte
uszkodzone, zużyte
uszkodzone, zużyte
uszkodzone, zużyte
uszkodzone, zużyte
uszkodzone, zużyte
Proponowana
minimalna cena
sprzedaży (PLN)
5,00 zł
5,00 zł
5,00 zł
5,00 zł
5,00 zł
5,00 zł
5,00 zł
5,00 zł
5,00 zł
5,00 zł
80,00 zł
5,00 zł
5,00 zł
80,00 zł
20,00 zł
20,00 zł
150,00 zł
150,00 zł
70,00 zł
70,00 zł
sprawne
technicznie
lp
nr inwentarzowy
Opis
rok
zakupu
Wartość
początkowa
(PLN)
104.
105.
106.
107.
108.
K1411-0002
K1411-0005
k1411-0013
K1411-0014
K1411-0015
Aparat telefoniczny sznurowy
Telefax
Telefax
Centralka
Dyktafon
2003
2003
2004
2004
2004
1 281,00
109.
k1411-0023
Telefax Canon L-120
110.
K1411-0025
111.
stopień
zużycia
Zakwalifikowano
jako
stan techniczny
TAK / NIE
Proponowana
minimalna cena
sprzedaży (PLN)
20,00 zł
1 499,00
100%
100%
100%
100%
100%
zbędne
zbędne
zbędne
zbędne
zbędne
nie
nie
nie
nie
nie
Uszkodzone,zużyte
Uszkodzone,zużyte
Uszkodzone,zużyte
Uszkodzone,zużyte
Uszkodzone,zużyte
2006
1 842,20
80%
zbędne
tak
technicznie przestarzałe
Telefax Canon L-120
2006
1 842,20
80%
zbędne
tak
technicznie przestarzałe
K1411-0030
Telefax Canon L-100
2007
1 525,00
80%
zbędne
tak
technicznie przestarzałe
112.
K1411-0031
Telefax Canon L100
2007
1 525,00
80%
zbędne
tak
technicznie przestarzałe
113.
114.
115.
116.
117.
118.
119.
120.
121.
122.
123.
124.
K1411-0032
K1416-0002
K1441-0021
K1441-0022
K1441-0003
K1441-0004
K1441-0011
K1441-0015
K1441-0052
K1441-0054
K1441-0055
K1441-0110
Talefax
Canon L-140
Wzmacniacz
mikrofonowy z
2008
1 329,80
zbędne
2 670,01
Ekspres kawowy
2003
1 122,40
Ekspres kawowy
2003
1 122,40
Niszczarka
2002
1 708,00
Niszczarka
2002
1 708,00
Niszczarka
2003
1 308,57
Niszczarka
2003
1 308,57
Niszczarka
2006
1 124,84
Niszczarka
2006
1 207,80
Niszczarka
2006
1 207,80
Niszczarka MS
2008
1 988,60
tak
tak
nie
tak
nie
nie
nie
nie
nie
nie
nie
nie
technicznie przestarzałe
2003
85%
60%
95%
80%
100%
100%
100%
100%
100%
100%
100%
100%
2 421,70
2 098,40
1 096,78
zbędne
zbędne
zbędne
zbędne
zbędne
zbędne
zbędne
zbędne
zbędne
zbędne
zbędne
technicznie przestarzałe
Uszkodzone,zużyte
technicznie przestarzałe
uszkodzone,zużyte
uszkodzone, zużyte
uszkodzone, zużyte
uszkodzone, zużyte
uszkodzone, zużyte
uszkodzone, zużyte
uszkodzone, zużyte
uszkodzone, zużyte
50,00 zł
40,00 zł
40,00 zł
5,00 zł
100,00 zł
100,00 zł
100,00 zł
100,00 zł
80,00 zł
250,00 zł
30,00 zł
60,00 zł
5,00 zł
5,00 zł
5,00 zł
5,00 zł
5,00 zł
5,00 zł
5,00 zł
5,00 zł
sprawne
technicznie
lp
nr inwentarzowy
Opis
rok
zakupu
Wartość
początkowa
(PLN)
Zakwalifikowano
jako
stan techniczny
TAK / NIE
Proponowana
minimalna cena
sprzedaży (PLN)
uszkodzone, zużyte
zbędne
nie
nie
nie
nie
nie
nie
100%
zbędne
nie
uszkodzone, zużyte
5,00 zł
5,00 zł
5,00 zł
5,00 zł
5,00 zł
5,00 zł
5,00 zł
5 847,46
100%
zbędne
nie
uszkodzone, zużyte
20,00 zł
1997
5 847,46
100%
zbędne
nie
uszkodzone, zużyte
20,00 zł
2002
3 609,98
100%
zbędne
nie
uszkodzone, zużyte
20,00 zł
2002
3 609,98
100%
zbędne
nie
uszkodzone, zużyte
2003
4 097,98
90%
zbędne
nie
uszkodzone, zużyte
2003
4 097,98
90%
zbędne
nie
uszkodzone, zużyte
125.
126.
127.
128.
129.
130.
K1441-0111
K1441-0112
K1441-0113
K1441-0115
K1441-0118
K1441-0122
Niszczarka MS
2008
1 988,60
Niszczarka MS
2008
1 988,60
Niszczarka MS
2008
1 988,60
Niszczarka MS
2008
1 988,60
Niszczarka MS
2008
1 988,60
Niszczarka Opus
2008
131.
K1441-0123
132.
S1403-0002
Niszczarka Opus
Kserokopiarka
Canon
6216
Kserokopiarka Canon
133.
S1403-0003
134.
S1403-0005
135.
S1403-0006
136.
S1403-0008
137.
S1403-0010
6216
Kserokopiarka Canon
6512
Kserokopiarka Canon
6216
Kserokopiarka Canon
7161
Kserokopiarka Canon
7161
S1443-0001
K1440-0222
K1440-0223
Telewizja użytkowa
(rejestratory i
monitory)
UPS 230V
UPS 230V
138.
139.
140.
stopień
zużycia
zbędne
1 415,20
100%
100%
100%
100%
100%
100%
2008
1 415,20
1997
zbędne
zbędne
zbędne
zbędne
uszkodzone, zużyte
uszkodzone, zużyte
uszkodzone, zużyte
uszkodzone, zużyte
uszkodzone, zużyte
100,00 zł
100,00 zł
60,00 zł
2000
2006
2006
29 943,44
2 293,60
1 708,00
100%
100%
100%
zużyte
zbędne
zbędne
nie
nie
nie
uszkodzone, zużyte
uszkodzone, zużyte
uszkodzone, zużyte
Podpisy Komisji:
1……………………….
20,00 zł
2…………………………….
3………………………………
4…………………………………….
80,00 zł
60,00 zł