Załącznik nr 1.1 - Specyfikacja techniczna

Transkrypt

Załącznik nr 1.1 - Specyfikacja techniczna
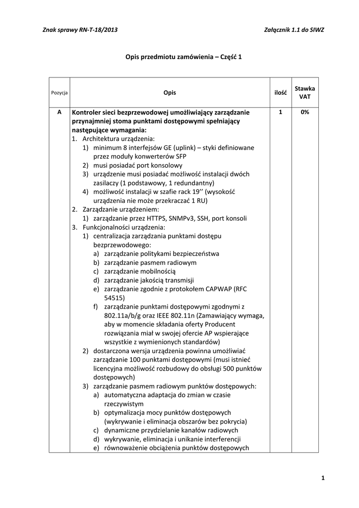
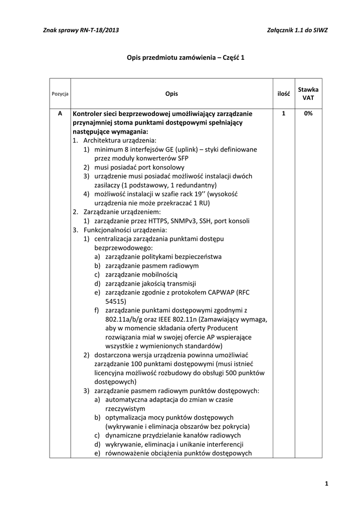
Znak sprawy RN-T-18/2013
Załącznik 1.1 do SIWZ
Opis przedmiotu zamówienia – Część 1
Pozycja
A
Opis
ilość
Stawka
VAT
Kontroler sieci bezprzewodowej umożliwiający zarządzanie
przynajmniej stoma punktami dostępowymi spełniający
następujące wymagania:
1. Architektura urządzenia:
1) minimum 8 interfejsów GE (uplink) – styki definiowane
przez moduły konwerterów SFP
2) musi posiadać port konsolowy
3) urządzenie musi posiadać możliwość instalacji dwóch
zasilaczy (1 podstawowy, 1 redundantny)
4) możliwość instalacji w szafie rack 19’’ (wysokość
urządzenia nie może przekraczać 1 RU)
2. Zarządzanie urządzeniem:
1) zarządzanie przez HTTPS, SNMPv3, SSH, port konsoli
3. Funkcjonalności urządzenia:
1) centralizacja zarządzania punktami dostępu
bezprzewodowego:
a) zarządzanie politykami bezpieczeństwa
b) zarządzanie pasmem radiowym
c) zarządzanie mobilnością
d) zarządzanie jakością transmisji
e) zarządzanie zgodnie z protokołem CAPWAP (RFC
54515)
f) zarządzanie punktami dostępowymi zgodnymi z
802.11a/b/g oraz IEEE 802.11n (Zamawiający wymaga,
aby w momencie składania oferty Producent
rozwiązania miał w swojej ofercie AP wspierające
wszystkie z wymienionych standardów)
2) dostarczona wersja urządzenia powinna umożliwiać
zarządzanie 100 punktami dostępowymi (musi istnieć
licencyjna możliwość rozbudowy do obsługi 500 punktów
dostępowych)
3) zarządzanie pasmem radiowym punktów dostępowych:
a) automatyczna adaptacja do zmian w czasie
rzeczywistym
b) optymalizacja mocy punktów dostępowych
(wykrywanie i eliminacja obszarów bez pokrycia)
c) dynamiczne przydzielanie kanałów radiowych
d) wykrywanie, eliminacja i unikanie interferencji
e) równoważenie obciążenia punktów dostępowych
1
0%
1
Znak sprawy RN-T-18/2013
Załącznik 1.1 do SIWZ
4) zgodność ze standardami:
a) SNMP v1, v2c, v3
b) RFC 854 Telnet
c) RFC 1155 Management Information for TCP/IP-Based
Internets
d) RFC 1156 MIB
e) RFC 1157 SNMP
f) RFC 1213 SNMP MIB II
g) RFC 1350 TFTP
h) RFC 1643 Ethernet MIB
i) RFC 2030 SNTP
j) RFC 2616 HTTP
k) RFC 2665 Ethernet-Like Interface types MIB
l) RFC 2674 Definitions of Managed Objects for Bridges
with Traffic Classes, Multicast Filtering, and Virtual
LAN Extensions
m) RFC 2819 RMON MIB
n) RFC 2863 Interfaces Group MIB
o) RFC 3164 Syslog
p) RFC 3414 User-Based Security Model (USM) for
SNMPv3
q) RFC 3418 MIB for SNMP
r) RFC 3636 Definitions of Managed Objects for IEEE
802.3 MAUs
s) RFC 768 UDP
t) RFC 791 IP
u) RFC 792 ICMP
v) RFC 793 TCP
w) RFC 826 ARP
x) RFC 1122 Requirements for Internet Hoss
y) RFC 1519 CIDR
z) RFC 1542 BOOTP
aa) RFC 2131 DHCP
bb) WPA
cc) IEEE 802.11i (WPA2, RSN)
dd) RFC 3280 Internet X.509 PKI Certificate and CRL
Profile
ee) RFC 3602 The AES-CBC Cipher Algorith and Its Use
with Spiec
ff) RFC 3686 Using AES Counter Mode with IPSec ESP
gg) IEEE 802.1X
hh) RFC 2716 PPP EAP-TLS
ii) RFC 2865 RADIUS Authentication
jj) RFC 2866 RADIUS Accounting
kk) RFC 2867 RADIUS Tunnel Accounting
ll) RFC 2869 RADIUS Extensions
2
Znak sprawy RN-T-18/2013
Załącznik 1.1 do SIWZ
mm) RFC 3576 Dynamic Authorization Extensions to
RADIUS
nn) RFC 3579 RADIUS Support for EAP
oo) RFC 3580 IEEE 802.1X RADIUS Guidelines
pp) RFC 3748 Extensible Authentication Protocol
qq) obsługa mechanizmów QoS (WMM, 802.11e,
802.1p), obsługa VoWLAN, kształtowanie i
ograniczanie pasma per-użytkownik
rr) obsługa mechanizmów bezpieczeństwa
ss) 802.11i, WPA2, WPA, WEP
tt)
802.1X z EAP (PEAP, EAP-TLS, EAP-FAST, EAP-TTLS)
uu) współpraca z mechanizmami zaawansowanej
kontroli dostępu do sieci (typu NAC lub NAP lub
równoważne) – wymuszanie polityki dostępu na
poziomie kontrolera
vv) możliwość profilowania użytkowników – przydział
sieci VLAN, przydział list kontroli dostępu (ACL)
ww) uwierzytelnianie ramek zarządzania 802.11
(wykrywanie podszywania się punktów dostępowych
użytkowników pod adresy infrastruktury)
xx) wykrywanie i blokowanie „obcych” punktów
dostępowych – funkcjonalność musi być dostępna
jednocześnie z transmisją danych
yy) współpraca z mechanizmami lokalizacyjnymi
oprogramowania do zarządzania
zz) zintegrowany system IDS – wykrywanie
podstawowych zagrożeń i ataków na sieci WLAN
(błędna asocjacja, próby penetracji, sieci ad-hoc,
skanowanie sieci)
aaa) obsługa serwerów autoryzacyjnych (RADIUS lub
TACACS+), możliwość lokalnej definicji
użytkowników
bbb) obsługa dostępu dla gości (przekierowanie na stronę
WWW logowania z możliwością jej personalizacji i
umieszczenia na zewnętrznym serwerze WWW,
autoryzacja w oparciu o konta użytkowników
definiowane lokalnie lub na serwerach
autoryzacyjnych)
4. Urządzenie musi mieć możliwość instalacji wkładek SFP
przynajmniej w następujących standardach: 1000BASE-T,
1000BASE-SX, 1000BASE-LX/LH
5. Urządzenie w dostarczonej wersji powinno być wyposażone w:
1) w redundantny zasilacz
2) dwa moduły SFP pracujące w standardzie: 1000BASE-T
3
Znak sprawy RN-T-18/2013
B
Załącznik 1.1 do SIWZ
Przełącznik
4
0%
1. Urządzenie musi opcjonalnie mieć możliwość montażu w szafie 19”.
2. Urządzenie powinno posiadać max wymiary 4,44x26.9x21.3 cm .
3. Urządzenie musi posiadać wydajność przełączania co najmniej 10
Gbps.
4. Urządzenie musi posiadać wydajność przełączania co najmniej 13.2
mpps dla ramki o wielkości 64B.
5. Urządzenie musi posiadać min. 128 MB pamięci DRAM oraz 64 MB
pamięci Flash.
6. Urządzenie musi posiadać obsługę co najmniej 255 sieci VLAN i
4000 VLAN ID.
7. Urządzenie musi zapewnić obsługę co najmniej następujących
funkcjonalności /protokołów związanych z warstwą drugą modelu
ISO/OSI:
a) protokół 802.1Q VLAN,
b) Dynamic Trunking Protocol (DTP),
c) protokół Magistrali VLAN (VTP),
d) 802.1s, 802.1w, 802.3ad,
e) protokół Agregacji Portów (PAgP),
f) CDP.
8. Urządzenie musi zapewnić obsługę protokołu TFTP.
9. Urządzenie musi zapewniać wsparcie co najmniej dla następujących
funkcjonalności /protokołów związanych z bezpieczeństwem:
a) wsparcie dla serwerów TACACS+ i RADIUS,
b) listy dostępu (ACL) na wszystkich portach,
c) autentykacja w oparciu o 802.1x z przypisaniem portu VLAN,
d) DHCP, DHCP snooping,
e) port security, SSH (v1, 2),
f) filtracja adresów MAC.
10. Urządzenie musi zapewniać wsparcie co najmniej dla następujących
funkcjonalności /protokołów związanych z zarządzaniem:
a) wsparcie dla SNMP (v1, 2, 3),
b) SPAN port, RSPAN port, śledzenie tras w warstwie drugiej.
11. Urządzenie musi posiadać co najmniej 8 portów Gigabit Ethernet w
standardzie 10/100/1000BaseT oraz 2 porty 10/100/1000 lub SFP
12. Urządzenie musi posiadać oprogramowanie (system operacyjny) w
wersji podstawowej (Lan Base) oferowanej przez producenta.
13. Urządzenie musi posiada. funkcjonalność Port Security
14. Plik konfiguracyjny urządzenia powinien być możliwy do edycji w
trybie off-line, tzn. konieczna jest możliwość przeglądania i zmian
konfiguracji w pliku tekstowym na dowolnym urządzeniu PC. Plik
konfiguracyjny powinien być przechowywany w pamięci nieulotnej
(FLASH). Zmiany aktywnej konfiguracji muszą być widoczne
natychmiastowo - nie dopuszcza się restartów urządzenia po
dokonaniu zmian.
15. Urządzenie musi być wyposażone w jeden moduł SFP 1Gb/s-LX/LH
(GigabitEthernet 1Gbps) o zasięgu 10 km przy zastosowaniu
włókna jednomodowego 9 µm/125 µm.
4