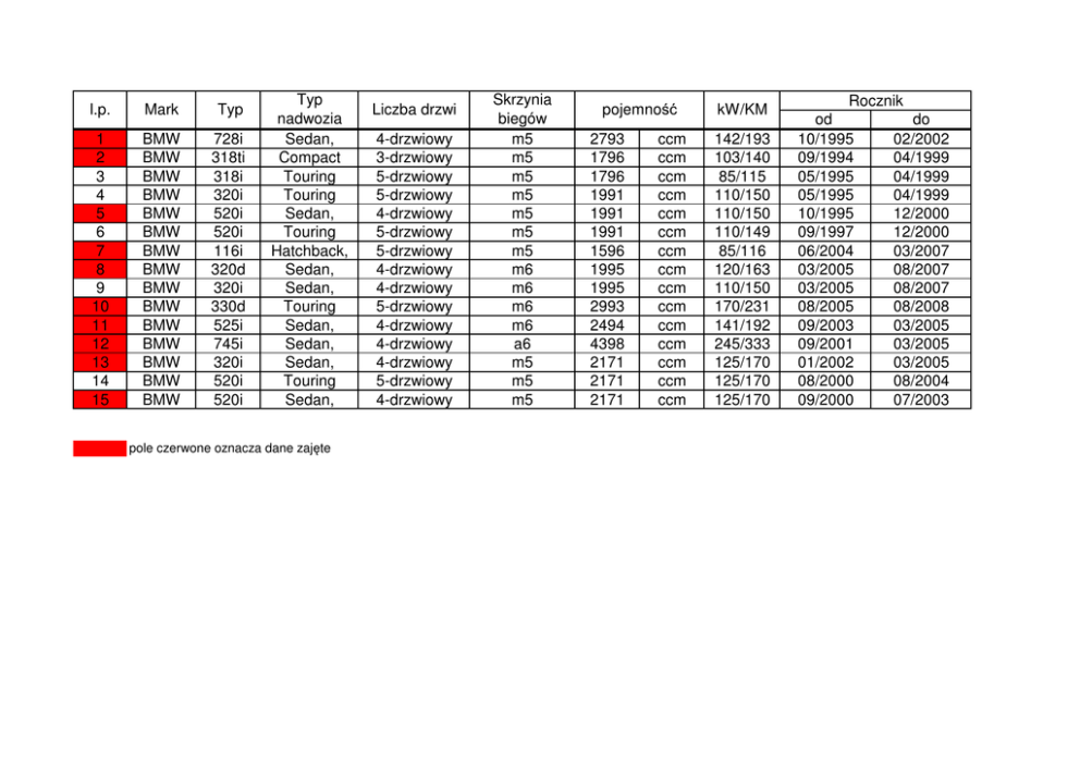
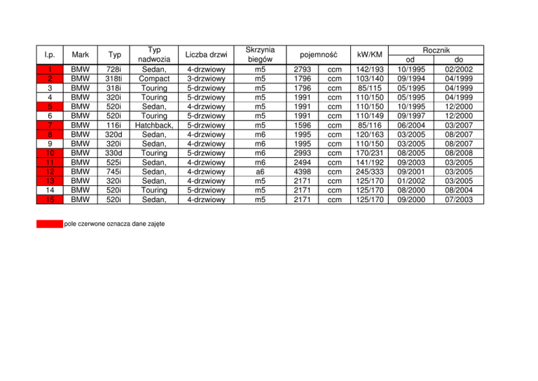
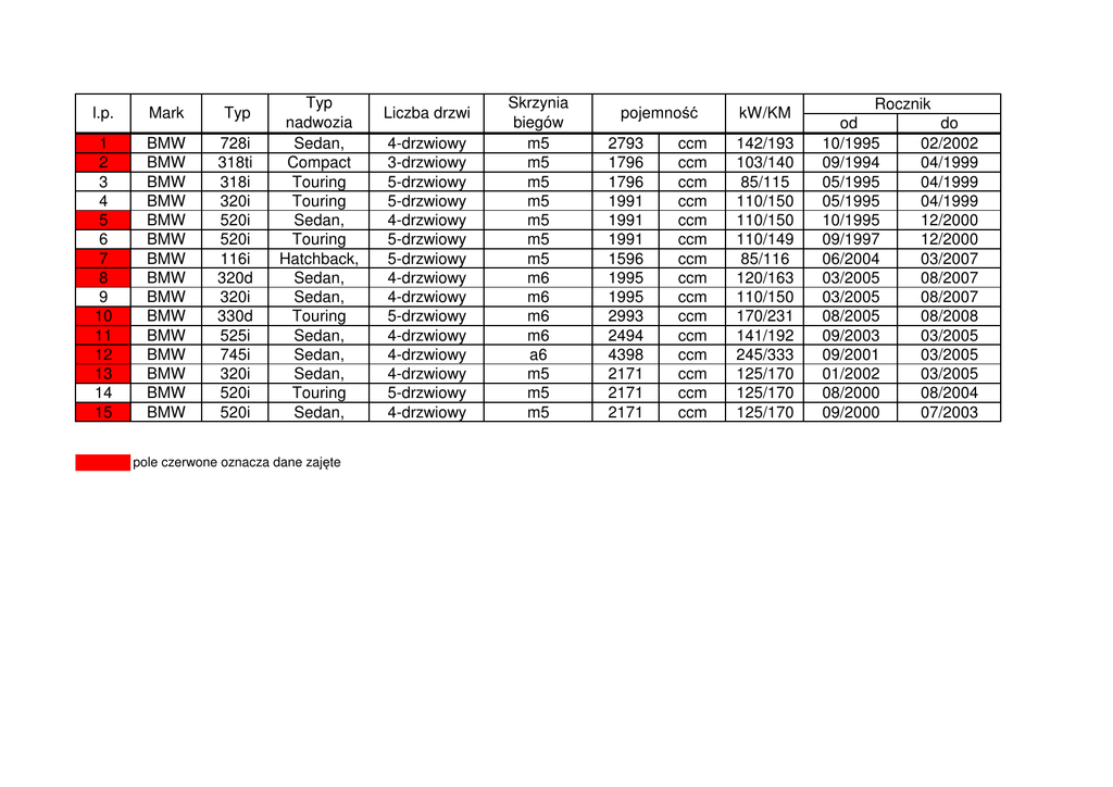
20111125 Dane do projektu podnośnika samochodowego - T1

Transkrypt

20111125 Dane do projektu podnośnika samochodowego - T1
l.p.
Mark
Typ
1
2
3
4
5
6
7
8
9
10
11
12
13
14
15
BMW
BMW
BMW
BMW
BMW
BMW
BMW
BMW
BMW
BMW
BMW
BMW
BMW
BMW
BMW
728i
318ti
318i
320i
520i
520i
116i
320d
320i
330d
525i
745i
320i
520i
520i
Typ
nadwozia
Sedan,
Compact
Touring
Touring
Sedan,
Touring
Hatchback,
Sedan,
Sedan,
Touring
Sedan,
Sedan,
Sedan,
Touring
Sedan,
pole czerwone oznacza dane zajęte
Liczba drzwi
4-drzwiowy
3-drzwiowy
5-drzwiowy
5-drzwiowy
4-drzwiowy
5-drzwiowy
5-drzwiowy
4-drzwiowy
4-drzwiowy
5-drzwiowy
4-drzwiowy
4-drzwiowy
4-drzwiowy
5-drzwiowy
4-drzwiowy
Skrzynia
biegów
m5
m5
m5
m5
m5
m5
m5
m6
m6
m6
m6
a6
m5
m5
m5
pojemność
2793
1796
1796
1991
1991
1991
1596
1995
1995
2993
2494
4398
2171
2171
2171
ccm
ccm
ccm
ccm
ccm
ccm
ccm
ccm
ccm
ccm
ccm
ccm
ccm
ccm
ccm
kW/KM
142/193
103/140
85/115
110/150
110/150
110/149
85/116
120/163
110/150
170/231
141/192
245/333
125/170
125/170
125/170
Rocznik
od
10/1995
09/1994
05/1995
05/1995
10/1995
09/1997
06/2004
03/2005
03/2005
08/2005
09/2003
09/2001
01/2002
08/2000
09/2000
do
02/2002
04/1999
04/1999
04/1999
12/2000
12/2000
03/2007
08/2007
08/2007
08/2008
03/2005
03/2005
03/2005
08/2004
07/2003