Załącznik nr 2

Transkrypt

Załącznik nr 2
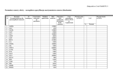
Załącznik nr 2 do PAKIETU I
Formularz cenowy oferty – szczegółowa specyfikacja asortymentowo-cenowa (biochemia)
L.
p.
1.
2.
3.
4.
5.
6.
7.
8.
9.
10.
11.
12.
13.
14.
15.
16.
17.
18.
19.
20.
21.
22.
Parametr
Warunki graniczne dla
poszczególnych oznaczeń
AHDL
ALC
ALDL
ALP
ALT
AMY
AST
BUN
CA
CHOL
CK
CREA
CTNI
FT4
GGT
GLU
HA1C
IRN
LDH
MG
MMB
PHOS
Nr
Cena brutto
katalogowy oznaczanego
parametru
Wielkość
opakowania
Ilość
oznaczeń
13000
650
13000
1500
16000
4600
14000
21000
3300
18000
1000
16000
5500
1400
1600
59000
900
5100
750
3650
2100
850
Potrzebna
ilość
opakowań
do podanej
liczby
oznaczeń
Cena
jednostkowa
netto (w PLN)
za
1 opakowanie
Wartość netto
(w PLN)
VAT
%
Wartość
Wartość brutto
(w PLN)
23.
24.
25.
26.
27.
28.
29.
30.
31.
32.
RCRP
TBIL
TGL
11700
11800
14000
10000
TP
2500
TPSA
11500
TSH
3000
UCFP
4600
URCA
32000
NA,K,CL
700
BNP
Materiały zużywalne (kalibratory, kontrole, kuwety, płyny płuczące, myjące oraz wszelkie materiały potrzebne do wykonania oznaczenia
wraz z dzierżawą aparatu i stacji uzdatniania wody oraz kosztami eksploatacji i utrzymania stacji uzdatniania wody).
UWAGA!
W tabeli należy podać ilość opakowań materiałów zużywalnych przewidywaną do zużycia w okresie jednego roku dla podanych wyżej ilości
oznaczeń.
KALIBRATORY
1.
2.
3.
4.
...
KONTROLE
1.
2.
3.
4.
...
MATERIAŁY
EKSPLOATACYJNE
1.
2.
3.
4.
...
POZOSTAŁE
MATERIAŁY
1.
2.
3.
4.
...
Kwota dzierżawy Wartość (netto)
miesięcznie
- 12 mies.
(netto)
DZIERŻAWA
.......................................
Miejscowość i data
-
-
-
Razem wartość
zamówienia netto
Wartość (brutto)
- 12 mies.
Razem wartość
brutto
........................................
Pieczęć i podpis Wykonawcy
Załącznik nr 2 do PAKIETU II
Formularz ofertowo-cenowy (koagulologia)
Nazwa oznaczenia
Nazwa
odczynnika
Szacunkowa
ilość oznaczeń
roczna
Ilość
testów z
opakowania
Ilość
Cena
potrzebnych jednostkowa
opakowań
netto
odczynnika
Wartość
netto
VAT
L.p
1
1.
2.
3.
2
Czas protrombinowy (PT)
Czas kaolinowo-kefalinowy
(APTT)
Fibrynogen
4.
D-Dimery
1.
2.
3.
4.
5.
...
3
4
19 000
7 500
Miejscowość i data
7
8
Wartość
brutto
9
10
11
4 000
-
Wielkość
opakowania
12
Razem
netto:
......................................
6
Wartość
7 500
Orientacyjne ilości odczynników dodatkowych oraz kalibratorów,
kontroli i materiałów zużywalnych
Osocze kontrolne normalne
Osocze kontrolne patologiczne
Czynsz dzierżawny miesięczny
5
%
Razem
brutto:
.........................................
Pieczęć i podpis Wykonawcy
Załącznik nr 2 do PAKIETU III
FORMULARZ OFERTOWO-CENOWY (immunochemia)
L.p
.
Parametr
Nr
katalogowy
Wielkość
opakowania
Ilość
oznaczeń
w skali
roku
Potrzebna
ilość
opakowań
do podanej
liczby
oznaczeń
Cena
jednostkowa
netto (w PLN)
za
1 opakowanie
Wartość netto
(w PLN)
VAT
%
Wartość
brutto
(w PLN)
Wartość
Kompletne zestawy odczynnikowe zawierające : odczynniki, kalibratory, kontrole oraz inne akcesoria potrzebne do wykonania niżej wymienionych oznaczeń:
1
2
3
4
5
Toxoplazmoza IgM
500
Toxoplazmoza IgG
400
IgE total
340
HBs Ag
1500
PCT
1500
UWAGA! W tabeli należy podać ilość opakowań materiałów zużywalnych (jeżeli takie występują) i kontroli przewidywanych do
zużycia w okresie jednego roku.
POZOSTAŁE MATERIAŁY
EKSPLOATACYJNE DO
APARATU
1.
2.
3.
...
Kwota dzierżawy Wartość roczna
miesięcznie
(netto)
(netto)
DZIERŻAWA
......................................
Miejscowość i data
-
-
-
Razem wartość roczna
zamówienia netto
Wartość roczna
(brutto)
Razem wartość
roczna brutto
.................................
Pieczęć i podpis Wykonawcy
Załącznik nr 2 do PAKIETU IV
FORMULARZ ASORTYMENTOWO--CENOWY
L.p
.
Parametr
Nr
katalogowy
(hematologia)
Wielkość
opakowa
nia
Cena
brutto 1
oznaczenia
Ilość
oznaczeń
w skali
roku
Potrzebna
Cena
Wartość netto
ilość
jednostkowa
(w PLN)
opakowań netto (w PLN) za
do podanej
liczby
1 opakowanie
oznaczeń
%
VAT
Wartość
brutto
(w PLN)
Wartość
W tabeli należy podać wszystkie odczynniki, kalibratory, materiały kontrolne oraz inne niezbędne akcesoria potrzebne do wykonania 60 000 oznaczeń:
1
2
3
4
5
6
...
75 000
UWAGA!
W tabeli należy podać ilość opakowań materiałów zużywalnych (jeżeli takie występują) przewidywanych do zużycia w okresie 1 roku.
POZOSTAŁE MATERIAŁY
EKSPLOATACYJNE DO
APARATU I DO DRUKARKI
(bez papieru do drukarki)
1.
2.
3.
...
Kwota dzierżawy
miesięcznie
(netto)
DZIERŻAWA
......................................
Miejscowość i data
-
-
-
Razem wartość roczna
zamówienia netto
Wartość
roczna (netto)
Wartość roczna
(brutto)
Razem
wartość
roczna brutto
..................................
Pieczęć i podpis Wykonawcy
Załącznik Nr 2 do PAKIETU V
Formularz asortymentowo-cenowy (rkz)
Cena brutto
VAT
Lp.
Wyszczególnienie
J.m
Ilość
Cena jedn.
netto
1
2
3
4
5
1.
Odczynniki
do
oznaczania
równowagi kwasowo-zasadowej
Roczny
koszt
materiałów
zużywalnych
szt.
9.000
-
12
2.
3.
- należy określić rodzaj i ilość
Czynsz dzierżawny za aparat
miesięczny
Wartość
netto
%
Wartość
Wartość brutto
6
7
8
9
Razem
Razem
netto :
brutto:
oznaczanego
parametru
Wykonawca
Zamawiający