Plan rozchodów

Transkrypt

Plan rozchodów
Arkusz1
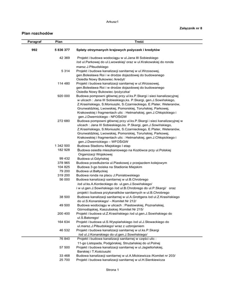
Załącznik nr 8
Plan rozchodów
Paragraf
992
Plan
5 836 377
42 369
5 314
114 480
920 000
272 680
1 342 500
182 928
99 432
378 965
104 825
79 200
319 200
56 000
38 500
49 500
200 400
164 634
46 532
76 840
57 500
33 468
25 700
Treść
Spłaty otrzymanych krajowych pożyczek i kredytów
Projekt i budowa wodociągu w ul.Jana III Sobieskiego
/od ul.Parkowej do ul.Lwowskiej/ oraz w ul.Krakowskiej do ronda
marsz.J.Piłsudskiego
Projekt i budowa kanalizacji sanitarnej w ul.Wrzosowej,
gen.Bolesława Roi i w drodze dojazdowej do budowanego
Osiedla Nowy Bukowiec /kredyt/
Projekt i budowa kanalizacji sanitarnej w ul.Wrzosowej,
gen.Bolesława Roi i w drodze dojazdowej do budowanego
Osiedla Nowy Bukowiec /pożyczka/
Budowa pompowni głównej przy ul.ks.P.Skargi i sieci kanalizacyjnej
w ulicach : Jana III Sobieskiego,ks. P.Skargi, gen.J.Sowińskiego,
Z.Krasińskiego, S.Moniuszki, S.Czarnieckiego, E.Plater, Weteranów,
Grunwaldzkiej, Lwowskiej, Pomorskiej, Toruńskiej, Parkowej,
Krakowskiej i fragmentach ulic : Hetmańskiej, gen.J.Chłopickiego i
gen.J.Dwernickiego - NFOŚiGW
Budowa pompowni głównej przy ul.ks.P.Skargi i sieci kanalizacyjnej w
ulicach : Jana III Sobieskiego,ks. P.Skargi, gen.J.Sowińskiego,
Z.Krasińskiego, S.Moniuszki, S.Czarnieckiego, E.Plater, Weteranów,
Grunwaldzkiej, Lwowskiej, Pomorskiej, Toruńskiej, Parkowej,
Krakowskiej i fragmentach ulic : Hetmańskiej, gen.J.Chłopickiego i
gen.J.Dwernickiego – WFOŚiGW
Budowa Stadionu Miejskiego I etap
Budowa osiedla mieszkaniowego na Kozłówce przy ul.Polskiej
Organizacji Wojskowej
Budowa ul.Gdyńskiej
Budowa przedłużenia ul.Piaskowej z przejazdem kolejowym
Budowa 3-go boiska na Stadionie Miejskim
Budowa ul.Bałtyckiej
Budowa ronda na placu J.Poniatowskiego
Budowa kanalizacji sanitarnej w ul.B.Chrobrego
/od ul:ks.A.Kordeckiego do ul.gen.J.Sowińskiego/
i w ul.gen.J.Sowińskiego /od ul.B.Chrobrego do ul.P.Skargi/ oraz
projekt i budowa przykanalików sanitarnych w ul.B.Chrobrego
Budowa kanalizacji sanitarnej w ul.A.Grottgera /od ul.Z.Krasińskiego
do ul.S.Konarskiego/ - /Komitet Nr 212/
Budowa wodociągu w ulicach : Piastowskiej, Poznańskiej,
Górnośląskiej, Kaszubskiej /Komitet Nr 215/
Projekt i budowa ul.Z.Krasińskiego /od ul.gen.J.Sowińskiego do
ul.S.Batorego/
Projekt i budowa ul.S.Wyspiańskiego /od ul.J.Słowackiego do
ul.marsz.J.Piłsudskiego/ wraz z uzbrojeniem
Projekt i budowa kanalizacji sanitarnej w ul.ks.P.Skargi
/od ul.J.Konarskiego do ul.gen.J.Sowińskiego/
Projekt i budowa kanalizacji sanitarnej w części ulic :
11-go Listopada, Podgórskiej, Strużańskiej do ul.Polnej
Projekt i budowa kanalizacji sanitarnej w ul.Jagiellońskiej,
Barskiej i T.Kościuszki
Budowa kanalizacji sanitarnej w ul.A.Mickiewicza /Komitet nr 203/
Projekt i budowa kanalizacji sanitarnej w ul.H.Sienkiewicza
Strona 1
Arkusz1
47 080
24 800
25 100
16 000
496 080
57 780
71 600
72 880
80 000
25 450
28 900
52 100
52 180
56 200
17 700
7 060
56 200
13 525
5 400
12 375
7 000
Suma planu
/Komitet nr 224/
Budowa wodociągu w ul.A.Mickiewicza /Komitet Nr 204/
Projekt i budowa wodociągu w ul.H.Sienkiewicza /Komitet nr 224/
Projekt i budowa wodociągu w ul.Jagiellońskiej
Barskiej i T.Kościuszki
Projekt i budowa wodociągu w ul.Krakusa /Komitet Nr 218/
Budowa Stadionu Miejskiego II etap – projekt
i budowa budynku wielofunkcyjnego wraz z wyposażeniem
Projekt i budowa kanalizacji sanitarnej w
ul.Jagiellońskiej /od ul.ks.J.I.Skorupki do ul.Parkowej/
Projekt i budowa kanalizacji sanitarnej w ul.Jagiellońskiej
/od ul.Z.Krasińskiego do ul.Parkowej/
Audyt i termomodernizacja Zespołu Szkół przy ul.Zegrzyńskiej
/wymiana okien/
Projekt i budowa kanalizacji sanitarnej w ul.H.Siemiradzkiego
i ul.H.Sienkiewicza /Komitet nr 216/
Projekt i budowa wodociągu w ulicach Słonecznej, Balonowej,
Wąskiej, Nowej, A. Wilcza /Komitet nr 206/
Projekt i budowa kanalizacji sanitarnej w ul.F.Żwirki /Komitet nr 115/
Termomodernizacja Zespołu Szkół Ogólnokształcących nr 2
/wymiana okien/
Budowa kanalizacji sanitarnej w ul.Parkowej /od ul.Jagiellońskiej
do ul.Kościuszki/
Termomodernizacja budynku Szkoły Podstawowej nr 7
/wymiana okien/
Termomodernizacja budynków Szkół Podstawowych nr 2 i 4
/wymiana okien/
Projekt i budowa wodociągu w ul.Kujawskiej i ul. Warmińskiej
/Komitet nr 208/
Remont kotłowni w SP 1 - modernizacja z wymianą kotłów
węglowych na kotły gazowe
Projekt i budowa kanalizacji sanitarnej w ul.T.Rejtana /Komitet nr 227/
Projekt i budowa wodociągu w ul.T.Rejtana /Komitet nr 227/
Projekt i budowa kanalizacji sanitarnej w ul.Jasnogórskiej /Komitet nr 232/
Projekt i budowa kanalizacji sanitarnej w ul.Kujawskiej i ul.Warmińskiej
/Komitet nr 208/
5 836 377
Z up. Prezydenta Miasta
/-/mgr Jan Grabiec
Zastępca Prezydenta Miasta
Strona 2