Nazwa firmy lub Nazwisko i Imię

Transkrypt

Nazwa firmy lub Nazwisko i Imię
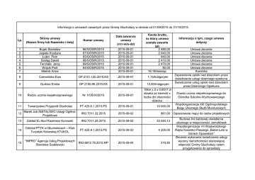
Informacja o umowach zawartych przez Gminę Głuchołazy w okresie od 01/09/2015 do 31/10/2015.
Lp.
Strony umowy
(Nazwa firmy lub Nazwisko i Imię)
Numer umowy
1
2
3
4
5
6
7
Bujak Stanisław
Jagieła Krystyna
Łojko Piotr
Szeląg Dawid
Tarchała Jerzy
Wójcik Piotr
Mielnik Anna
66/GOSIR/2015
67/GOSIR/2015
65/GOSiR/2015
68/GOSIR/2015
69/GOSIR/2015
64/GOSiR/2015
2015-09-01
2015-09-01
2015-09-01
2015-09-01
2015-09-01
2015-09-01
2015-09-01
Kwota brutto,
na którą umowa
została zawarta
(zł)
2 480,00
2 040,00
440,00
2 410,00
2 470,00
80,00
19,19/miesiąc
8
Czerwińska Ewa
OP.2151.120.2015.KS
2015-09-01
1,15/h/algorytm
9
Gurbisz Emilia
OP.2150.96.2015.KS
2015-09-01
10,80/h/algorytm
16km x 2 x 0,6517 zł
stawka za kilometr x
liczba dni obecności
dziecka
Data zawarcia
umowy
(rrrr-mm-dd)
10
Rodzic ucznia niepełnosprawnego
Nr 1/OŚ/IX/2015
2015-09-01
11
Towarzystwo Przyjaciół Głuchołaz
PT.425.6.1.2015.PS
2015-09-01
10 000,00
12
Marek Job INSTALGEO Usługi OgólnoProjektowe
IRG.7011.32.2015
2015-09-02
861,00
13
Zakład EL-Bud Kazimierz Kurowski
IRG.7011.25.2015
2015-09-02
33 040,13
14
Oddział PTTK w Głuchołazach – Klub
Turystyki Kolarskiej KTUKOL
PT.425.9.1.2015.PS
2015-09-03
4 200,00
15
"INPRO" Agencja Usług Projektowych
Stanisław Szablewski
IRG.6812.78.2015.MP
2015-09-04
319,80
Informacja o tym, czego umowa
dotyczy
Umowa zlecenie
Umowa zlecenie
Umowa zlecenie
Umowa zlecenie
Umowa zlecenie
Umowa zlecenie
Komórka
Zapewnienie opieki nad dzieckiem przez
świadczenie usługi dziennego opiekuna
Świadczenie usług opieki nad dzieckiem
przez Dziennego Opiekuna
Dowóz ucznia niepełnosprawnego do
Ośrodka Szkolno-Wychowawczego
Współorganizacja XIII Ogólnopolskiego
Biegu Ulicznego Służb Mundurowych
Opracowanie mapy do celów projektowych
Budowa linii kablowej oświetlenia
ulicznego w miejscowości Jarnołtówek
Współorganizacja VII Wojewódzkiego
Rajdu Kolarsko-Pieszego „Babie Lato w
Górach Opawskich”
Zlecenie wykonania świadczenia usługi
wyceny nieruchomości stanowiącej
własność Gminy Głuchołazy celem
przygotowania do sprzedaży
Kwota brutto,
na którą umowa
została zawarta
(zł)
16km x 2 x 0,6517 zł
stawka za kilometr x
liczba dni obecności
dziecka
Lp.
Strony umowy
(Nazwa firmy lub Nazwisko i Imię)
Numer umowy
Data zawarcia
umowy
(rrrr-mm-dd)
16
Rodzic ucznia niepełnosprawnego
Nr 2/OŚ/IX/2015
2015-09-04
17
Dorosz Beata
OP.2151.131.2015.MW
2015-09-07
30,00/h/algorytm
18
Dziurowski Adam
OP.2151.132.2015.MW
2015-09-07
30,00/h/algorytm
19
Grubiak Maciej
OP.2151.126.2015.MW
2015-09-07
30,00/h/algorytm
21
Idzi Przemysław
OP.2151.134.2015.MW
2015-09-07
30,00/h/algorytm
22
Łacny Tomasz
OP.2151.130.2015.MW
2015-09-07
30,00/h/algorytm
23
Łobos Marek
OP.2151.122.2015.MW
2015-09-07
30,00/h/algorytm
24
Marszałek Małgorzata
OP.2151.129.2015.MW
2015-09-07
30,00/h/algorytm
25
Matyjas Dorota
OP.2151.124.2015.MW
2015-09-07
30,00/h/algorytm
26
Migała Władysława
OP.2151.128.2015.MW
2015-09-07
30,00/h/algorytm
27
Mokrzycka- Kruczek Magdalena
OP.2151.136.2015.MW
2015-09-07
30,00/h/algorytm
28
Niziołek Wiesław
OP.2151.125.2015.MW
2015-09-07
30,00/h/algorytm
29
Nowak Bartłomiej
OP.2151.133.2015.MW
2015-09-07
30,00/h/algorytm
30
Rytko Dorota
OP.2151.123.2015.MW
2015-09-07
30,00/h/algorytm
31
Sobków Joanna
OP.2151.135.2015.MW
2015-09-07
30,00/h/algorytm
Informacja o tym, czego umowa
dotyczy
Dowóz ucznia niepełnosprawnego do
Ośrodka Szkolno-Wychowawczego
Prowadzenie pozalekcyjnych zajęć
sportowych w ramach GPPiRPA
Prowadzenie pozalekcyjnych zajęć
sportowych w ramach GPPiRPA
Prowadzenie pozalekcyjnych zajęć
sportowych w ramach GPPiRPA
Prowadzenie pozalekcyjnych zajęć
sportowych w ramach GPPiRPA
Prowadzenie pozalekcyjnych zajęć
sportowych w ramach GPPiRPA
Prowadzenie pozalekcyjnych zajęć
sportowych w ramach GPPiRPA
Prowadzenie pozalekcyjnych zajęć
sportowych w ramach GPPiRPA
Prowadzenie pozalekcyjnych zajęć
sportowych w ramach GPPiRPA
Prowadzenie pozalekcyjnych zajęć
sportowych w ramach GPPiRPA
Prowadzenie pozalekcyjnych zajęć
sportowych w ramach GPPiRPA
Prowadzenie pozalekcyjnych zajęć
sportowych w ramach GPPiRPA
Prowadzenie pozalekcyjnych zajęć
sportowych w ramach GPPiRPA
Prowadzenie pozalekcyjnych zajęć
sportowych w ramach GPPiRPA
Prowadzenie pozalekcyjnych zajęć
sportowych w ramach GPPiRPA
Numer umowy
Data zawarcia
umowy
(rrrr-mm-dd)
Kwota brutto,
na którą umowa
została zawarta
(zł)
Szenawa Anna
OP.2151.136.2015.MW
2015-09-07
30,00/h/algorytm
33
Walczak Joanna
OP.2151.127.2015.MW
2015-09-07
30,00/h/algorytm
34
Chmielak Grzegorz Przedsiębiorstwo
Budowlane "Chmielak" Prudnik
ZP.272.8.2015.JS
2015-09-07
Lp.
Strony umowy
(Nazwa firmy lub Nazwisko i Imię)
32
119 984,88
35
Głuchołaskie Towarzystwo
Budownictwa Społecznego Sp. z o.o.
IRG.6811.12.2015.JG
2015-09-08
147,60
36
Urbiński Henryk
OP.2151.121.2015.TJ
2015-09-08
500,00
37
Wiesław Bis Brukarstwo i Usługi
Budowlane Nysa
ZP.272.13.2015.JSz
2015-09-09
290 872,75
2150.97.2015
2015-09-10
2015-09-10
4 455
150,00
IRG.7021.20.2015
2015-09-11
11 610,82
38
39
40
Głuchołaskie Towarzystwo
Budownictwa Społecznego Sp.zo.o.
Kropacz Ryszard
F.H.U. Robert Tajduś - Usługi
Ogólnobudowlane
1/IX/IRG/TBS/2015/G
41
Firma Wielobranżowa "SAN" J. A.
Saneccy
z siedzibą
w Głuchołazach
IRG.6840.23.2015.MP
2015-09-11
1 500,00
42
Jerzy Sylwestrzak PRONABUD
IRG.7011.26.2015
2015-09-13
18 450,00
43
F.H.U. Robert Tajduś - Usługi
Ogólnobudowlane
IRG.7021.21.2015
2015-09-14
5 015,64
44
Sebastian Wilisowski SEWI
IRG.7011.28.2015
2015-09-14
4 500,00
Informacja o tym, czego umowa
dotyczy
Prowadzenie pozalekcyjnych zajęć
sportowych w ramach GPPiRPA
Prowadzenie pozalekcyjnych zajęć
sportowych w ramach GPPiRPA
Modernizacja części ulicy Magistrackiej w
Głuchołazach
Zlecenie sporządzenia rzutu graficznego w
ramach umowy Nr IRG.6811.1.2015.PM z
dnia 06.02.2015 na sporządzanie rzutów
graficznych lokali i pomieszczeń
przynależnych wraz z opisem
Czyszczenie i konserwacja fontanny
Budowa drogi publicznej w Głuchołazach
pomiędzy ul. Kościuszki i ul. Opolską Etap II
Wymiana inst. elektr. w mieszkaniu
Przeprowadzenie szkolenia obronnego
Odbudowa osłony śmietnika po pożarze
przy ul. Wita Stwosza
Umowa - zlecenie na podział
nieruchomości stanowiącej własność
Gminy Głuchołazy w celu przygotowania
działki do sprzedaży
Projekt mostów Burgrabice oraz dwóch
mostów w Sławniowicach
Wykonanie ścianki działowej o konstrukcji
ryglowej z profili stalowych podwójnych w
sali Liceum Ogólnokształcącego w
Głuchołazach
Inspektor nadzoru inwestorskiego droga
do basenu II etap
Lp.
45
46
Strony umowy
(Nazwa firmy lub Nazwisko i Imię)
Głuchołaskie Towarzystwo
Budownictwa Społecznego Sp. z o.o.
Głuchołaskie Towarzystwo
Budownictwa Społecznego Sp. z o.o.
Numer umowy
IRG.6811.13.2015.JG
Data zawarcia
umowy
(rrrr-mm-dd)
2015-09-14
Kwota brutto,
na którą umowa
została zawarta
(zł)
Informacja o tym, czego umowa
dotyczy
147,60
Zlecenie sporządzenia rzutu graficznego w
ramach umowy Nr IRG.6811.1.2015.PM z
dnia 06.02.2015 na sporządzanie rzutów
graficznych lokali i pomieszczeń
przynależnych wraz z opisem
Zlecenie sporządzenia rzutu graficznego w
ramach umowy Nr IRG.6811.1.2015.PM z
dnia 06.02.2015 na sporządzanie rzutów
graficznych lokali i pomieszczeń
przynależnych wraz z opisem
IRG.6811.14.2015.JG
2015-09-14
147,60
Gracz-Lenicka Krystyna
Mieczysław Celary Zakład Instalacji
Wod-Kan C-O i Gaz
Gierczak Anna
Szewczyk Lucyna
Głuchołaskie Towarzystwo
Budownictwa Społecznego Sp. z o.o.
OP.2151.98.2015.HB
2015-09-14
4 637,53
IRG.7011.22.2015
2015-09-15
4 249,38
OP.2150.99.2015
OP.2150.100.2015
2015-09-15
2015-09-15
580,00
340,00
Remont pomieszczeń Żłobka Miejskiego
Przyłącz deszczowy z budynku przy ul.
Kościuszki 56 A w Głuchołazach
Prowadzenie stałego rejestru wyborców
Prowadzenie stałego rejestru wyborców
zlecenie
2015-09-16
450,00
Remont - zasób komunalny
52
Dziedziński Tomasz
OP.2150.105.2015.MW
2015-09-16
500,00
Wybory do Sejmu i Senatu RP
53
Gola Małgorzata
OP.2150.108.2015.MW
2015-09-16
800,00
Wybory do Sejmu i Senatu RP
54
Miśniakiewicz Krzysztof
OP.2150.101.2015.MW
2015-09-16
800,00
Wybory do Sejmu i Senatu RP
55
Paluch Alina
OP.2150.106.2015.MW
2015-09-16
800,00
Wybory do Sejmu i Senatu RP
56
Piecyk Dorota
OP.2150.107.2015.MW
2015-09-16
300,00
Wybory do Sejmu i Senatu RP
57
Piecyk Urszula
OP.2150.110.2015.MW
2015-09-16
500,00
Wybory do Sejmu i Senatu RP
58
Sadowska Karolina
OP.2150.109.2015.MW
2015-09-16
600,00
Wybory do Sejmu i Senatu RP
47
48
49
50
51
Kwota brutto,
na którą umowa
została zawarta
(zł)
Lp.
Strony umowy
(Nazwa firmy lub Nazwisko i Imię)
Numer umowy
Data zawarcia
umowy
(rrrr-mm-dd)
59
Setlak Agata
OP.2150.104.2015.MW
2015-09-16
600,00
Wybory do Sejmu i Senatu RP
60
Wiśniewska Hanna
OP.2150.103.2015.MW
2015-09-16
300,00
Wybory do Sejmu i Senatu RP
61
Włodarczyk Elżbieta
OP.2150.102.2015.MW
2015-09-16
300,00
Wybory do Sejmu i Senatu RP
62
Kancelaria Notarialna, Notariusz
Bożena Roszak Głuchołazy
Rep. A Nr 2258/2015
2015-09-17
991,53
63
Glińska-Diedzic Daria
6/GMP/2015
2015-09-18
725,00
64
65
66
67
68
69
70
71
Głuchołaskie Towarzystwo
Budownictwa Społecznego Sp. z o.o.
Głuchołaskie Towarzystwo
Budownictwa Społecznego Sp. z o.o.
Głuchołaskie Towarzystwo
Budownictwa Społecznego Sp. z o.o.
Głuchołaskie Towarzystwo
Budownictwa Społecznego Sp. z o.o.
Głuchołaskie Towarzystwo
Budownictwa Społecznego Sp. z o.o.
Głuchołaskie Towarzystwo
Budownictwa Społecznego Sp. z o.o.
Głuchołaskie Towarzystwo
Budownictwa Społecznego Sp. z o.o.
Głuchołaskie Towarzystwo
Budownictwa Społecznego Sp. z o.o.
Informacja o tym, czego umowa
dotyczy
Opłata notarialna za sporządzenie aktu umowy o połączenie nieruchomości
gruntowych i dokonanie zmiany wysokości
udziałów w nowopowstałej nieruchomości
wspólnej; za wypisy tego aktu + opłata
sądowa
Umowa zlecenie
Zlecenie sporządzenia rzutu graficznego w
ramach umowy Nr IRG.6811.1.2015.PM z
dnia 06.02.2015 na sporządzanie rzutów
graficznych lokali i pomieszczeń
przynależnych wraz z opisem
IRG.6811.15.2015.JG
2015-09-18
147,60
zlecenie
2015-09-18
1 250,00
Remont - zasób komunalny
zlecenie
2015-09-18
800,00
Remont - zasób komunalny
zlecenie
2015-09-18
1 000,00
Remont - zasób komunalny
zlecenie
2015-09-18
3 439,99
Remont - zasób komunalny
zlecenie
2015-09-18
1 150,00
Remont - zasób komunalny
zlecenie
2015-09-18
920,00
Remont - zasób komunalny
zlecenie
2015-09-18
850,00
Remont - zasób komunalny
Data zawarcia
umowy
(rrrr-mm-dd)
Kwota brutto,
na którą umowa
została zawarta
(zł)
Lp.
Strony umowy
(Nazwa firmy lub Nazwisko i Imię)
72
NTSK Redakcja "Nowiny Nyskie" w
Nysie
IRG.6845.150.2015.
2015-09-18
73
Alasińska Sylwia
OPS 33/15/ZLEC
2015-09-18
20,00/h/algorytm
74
Bromblik Aleksandra
OPS 32/15/ZLEC
2015-09-18
20,00/h/algorytm
75
Kukuczka Teresa
OPS 34/15/ZLEC
2015-09-18
20,00/h/algorytm
76
Rybotycka Krystyna
OPS 36/15/ZLEC
2015-09-18
20,00/h/algorytm
77
Szczeliniak Bożena
OPS 35/15/ZLEC
2015-09-18
20,00/h/algorytm
78
Zakład Usług Ogólnobudowlanych
Łukasz Dziedzic
RR.0710/2-10/2015
2015-09-18
2 915,00
zlecenie
2015-09-21
1 100,00
Numer umowy
48,59
80
Głuchołaskie Towarzystwo
Budownictwa Społecznego Sp. z o.o.
Hebda Mirosław
81
Zakład EL-Bud Kazimierz Kurowski
IRG.7011.27.2015
2015-09-22
82
Roszak Danuta
OPS 37/15/ZLEC
2015-09-23
7,50/h/algorytm
83
Szczęsny Cyprian
OPS 38/15/ZLEC
2015-09-25
20,00/h/algorytm
79
2015-09-22
67,16/ miesiąc
40 929,91
Informacja o tym, czego umowa
dotyczy
Zlecenie na umieszczenie w informacji o
wywieszeniu wykazów nieruchomości
przeznaczonych do sprzedaży, dzierzawy i
najmu
Specjalistyczne usługi opiekuńcze w
zakresie terapii logopedycznej i
pedagogicznej.
Specjalistyczne usługi opiekuńcze w
zakresie terapii zajęciowej.
Specjalistyczne usługi opiekuńcze w
zakresie terapii pedagogicznej i logopedii.
Specjalistyczne usługi opiekuńcze w
zakresie terapii logopedycznej.
Specjalistyczne usługi opiekuńcze w
zakresie oligofrenopedagogiki.
Wykonanie obudowy kamiennej ogniska z
wykonaniem żurawia na kratę grilla oraz
ustawienie masztu na lampę
oświetleniową na placu rekreacyjno sportowym w Podlesiu
Remont - zasób komunalny
Komórka
Budowa linii kablowej oświetlenia
ulicznego ul. Makuszyńskiego w
Głuchołazach
Opieka nad osobami starszymi i
niepełnosprawnymi.
Specjalistyczne usługi opiekuńcze w
zakresie terapii pedagogicznej.
Lp.
84
Strony umowy
(Nazwa firmy lub Nazwisko i Imię)
Ecoergia Sp. z o.o. Kraków
Numer umowy
ZP.272.10.2015.JSz
Data zawarcia
umowy
(rrrr-mm-dd)
2015-09-25
Kwota brutto,
na którą umowa
została zawarta
(zł)
Informacja o tym, czego umowa
dotyczy
W 2015 roku
przeprowadzono IV
postęp. wspólne dot.
zakupu energii
elektrycznej dla gmin
zrzeszonych w ZGŚO.
W postęp.
uczesniczyło łącznie
37 gmin , ich jedn.
org., jedn. kultury i
gminnych osób
prawnych. Wartość
zamówienia ustalono Sprzedaż energii elektrycznej w 2016 roku
dla łącznego
Odbiorcom końcowym IV Grupy
szacowanego
Zakupowej Związku Gmin Śląska
zapotrzebowania na
Opolskiego
energię dla
wszystkich punktów
objętych
zamówieniem (ok.
51,9 GWh) i wynosiła
ona 15.451.703 zł
brutto.
Najkorzystniejszą
ogferte złożyła firma
Ecoergia Sp z o.o.
Kraków w kwocie
12.858.256,56 zł
Lp.
Strony umowy
(Nazwa firmy lub Nazwisko i Imię)
Numer umowy
Data zawarcia
umowy
(rrrr-mm-dd)
85
Ecoergia Sp. z o.o. Kraków
ZP.272.11.2015.JSz
2015-09-25
Kwota brutto,
Informacja o tym, czego umowa
na którą umowa
dotyczy
została zawarta
(zł)
W 2015 roku
przeprowadzono IV
postęp. wspólne dot.
zakupu energii
elektrycznej dla gmin
zrzeszonych w ZGŚO.
W postęp.
uczesniczyło łącznie
37 gmin , ich jedn.
org., jedn. kultury i
gminnych osób
prawnych. Wartość
zamówienia ustalono Sprzedaż energii elektrycznej w 2016 roku
Odbiorcom końcowym IV Grupy
dla łącznego
Zakupowej Związku Gmin Śląska
szacowanego
Opolskiego
zapotrzebowania na
energię dla
wszystkich punktów
objętych
zamówieniem (ok.
51,9 GWh) i wynosiła
ona 15.451.703 zł
brutto.
Najkorzystniejszą
ogferte złożyła firma
Ecoergia Sp z o.o.
Kraków w kwocie
12.858.256,56 zł
Lp.
Strony umowy
(Nazwa firmy lub Nazwisko i Imię)
Numer umowy
Data zawarcia
umowy
(rrrr-mm-dd)
86
Ecoergia Sp. z o.o. Kraków
ZP.272.12.2015.JSz
2015-09-25
87
Ecoergia Spólka z o.o.
1/EN/2015
2015-09-28
88
BUD-KOR Sp. z o. o.
IRG.7011.1.29.2015
2015-09-28
Kwota brutto,
Informacja o tym, czego umowa
na którą umowa
dotyczy
została zawarta
(zł)
W 2015 roku
przeprowadzono IV
postęp. wspólne dot.
zakupu energii
elektrycznej dla gmin
zrzeszonych w ZGŚO.
W postęp.
uczesniczyło łącznie
37 gmin , ich jedn.
org., jedn. kultury i
gminnych osób
prawnych. Wartość
zamówienia ustalono Sprzedaż energii elektrycznej w 2016 roku
Odbiorcom końcowym IV Grupy
dla łącznego
Zakupowej Związku Gmin Śląska
szacowanego
Opolskiego
zapotrzebowania na
energię dla
wszystkich punktów
objętych
zamówieniem (ok.
51,9 GWh) i wynosiła
ona 15.451.703 zł
brutto.
Najkorzystniejszą
ogferte złożyła firma
Ecoergia Sp z o.o.
Kraków w kwocie
12.858.256,56 zł
rzeczywiste zużycie
Dostawę energii elektrycznej
energii
Renowacja powłoki i wykonanie
57 120,00
zabezpieczenia antykorozyjnego
konstrukcji mostu św. Wojciecha
Kwota brutto,
na którą umowa
została zawarta
(zł)
2 556,36
Lp.
Strony umowy
(Nazwa firmy lub Nazwisko i Imię)
Numer umowy
Data zawarcia
umowy
(rrrr-mm-dd)
89
„ Jacek Kanarski”
11/IRG/TBS/2015/G
2015-09-30
90
"INPRO" Agencja Usług Projektowych
Stanisław Szablewski, Nysa
IRG.6812.86.2015.JG
2015-09-30
369,00
91
"INPRO" Agencja Usług Projektowych
Stanisław Szablewski, Nysa
IRG.6812.87.2015.JG
2015-09-30
369,00
92
"INPRO" Agencja Usług Projektowych
Stanisław Szablewski, Nysa
IRG.6812.88.2015.JG
2015-09-30
553,50
93
"INPRO" Agencja Usług Projektowych
Stanisław Szablewski, Nysa
IRG.6812.89.2015.JG
2015-09-30
184,50
94
"INPRO" Agencja Usług Projektowych
Stanisław Szablewski, Nysa
IRG.6812.90.2015.JG
2015-09-30
1 045,50
95
96
Bujak Stanisław
Glińska-Diedzic Daria
70/GOSiR/2015
7/GMP/2015
2015-10-01
2015-10-01
2 480,00
1 250,00
Informacja o tym, czego umowa
dotyczy
Wymiana okien
Zlecenie w ramach umowy Nr
272.2.2015.JSz z dnia 23.01.2015 r.
wykonania świadczenia usługi wyceny
nieruchomości stanowiącej własność
Gminy Głuchołazy, celem przygotowania
do sprzedaży
Zlecenie w ramach umowy Nr
272.2.2015.JSz z dnia 23.01.2015 r.
wykonania świadczenia usługi wyceny
nieruchomości stanowiącej własność
Gminy Głuchołazy, celem przygotowania
do sprzedaży
Zlecenie w ramach umowy Nr
272.2.2015.JSz z dnia 23.01.2015 r.
wykonania świadczenia usługi wyceny
nieruchomości stanowiącej własność
Gminy Głuchołazy, celem przygotowania
do sprzedaży
Zlecenie w ramach umowy Nr
272.2.2015.JSz z dnia 23.01.2015 r.
wykonania świadczenia usługi wyceny
nieruchomości stanowiącej własność
Gminy Głuchołazy, celem przygotowania
do sprzedaży
Zlecenie w ramach umowy Nr
272.2.2015.JSz z dnia 23.01.2015 r.
wykonania świadczenia usługi wyceny
nieruchomości stanowiącej własność
Gminy Głuchołazy, celem przygotowania
do sprzedaży
Umowa zlecenie
Umowa zlecenie
Lp.
Strony umowy
(Nazwa firmy lub Nazwisko i Imię)
Numer umowy
Data zawarcia
umowy
(rrrr-mm-dd)
97
98
Szeląg Dawid
Tarchała Jerzy
71/GOSiR/2015
72/GOSiR/2015
2015-10-01
2015-10-01
99
F.H.U. Robert Tajduś - Usługi
Ogólnobudowlane
IRG.7021.21.1.2015
2015-10-01
Kwota brutto,
na którą umowa
została zawarta
(zł)
2 480,00
2 480,00
2 002,00
147,60
zlecenie sporządzenia rzutu graficznego w
ramach umowy Nr IRG.6811.1.2015.PM z
dnia 06.02.2015 na sporządzanie rzutów
graficznych lokali i pomieszczeń
przynależnych wraz z opisem
Głuchołaskie Towarzystwo
Budownictwa Społecznego Sp. z o.o.
101
Robert Tajduś Firma HandlowoUsługowa Usługi Ogólnobudowlane
Jarnołtówek
ZP.272.16.2015.JS
2015-10-01
251 455,10
102
Kubik Ryszard
OP.2151.137a.2015
2015-10-02
24 500,00
103
Jan Fugiel Zakład Instalatorstwa
Sanitarnego Wod-Kan C. O.
IRG.7021.23.2015
2015-10-05
3 339,30
104
Krzysztof Kurowski Energoconsult
IRG.7011.30.2015
2015-10-05
17 220,00
105
Piotr Opałka ARCHICONCEPT
IRG.7011.31.2015
2015-10-05
13 284,00
106
Głuchołaskie Towarzystwo
Budownictwa Społecznego Sp. z o.o.
zlecenie
2015-10-05
600,00
2015-10-01
Umowa zlecenie
Umowa zlecenie
Malowanie 6 ścian, 2 sufitów, wbudowanie
3 gniazdek elektrycznych, odświeżenia
farbą olejną grzejników oraz stolarki
okiennej – Liceum Ogólnokształcące
100
IRG.6811.16.2015.JG
Informacja o tym, czego umowa
dotyczy
Adaptacja pomieszczeń biurowych na
potrzeby Żłobka Miejskiego w
Głuchołazach wraz z dostawa mebli,
urządzeń, sprzętu zabawowoedukacyjnego i gospodarczego
Opracowanie dokumentacji projektowej dla
rewitalizacji pomieszczeń dawnego
wójtostwa
Wykonanie konserwacji kotła gazowego
C.O. byłe pomieszczenia Caritasu w
związku z przeniesieniem stanowisk OPS
Al. Jana Pawła II
Aktualizacja audytów energetycznych dla 7
obiektów
Aktualizacja programów funkcjonalno
użytkowych dla 7 obiektów
Remont - zasób komunalny
Kwota brutto,
na którą umowa
została zawarta
(zł)
Lp.
Strony umowy
(Nazwa firmy lub Nazwisko i Imię)
Numer umowy
Data zawarcia
umowy
(rrrr-mm-dd)
107
Kubik Ryszard
OP.2151.156.2015.AS
2015-10-05
23 500,00
108
Inicjatywa lokalna
IRG.7011.34.2015
2015-10-06
135 000,00
109
Inicjatywa lokalna
IRG.7011.37.2015
2015-10-06
6 400,00
110
MUKS Chrobry Basket Głuchołazy
PT.423.11.2.2015.PS
2015-10-06
20 000,00
111
Głuchołaskie Towarzystwo
Budownictwa Społecznego Sp. z o.o.
IRG.6811.17.2015.JG
2015-10-07
147,60
112
Głuchołaskie Towarzystwo
Budownictwa Społecznego Sp. z o.o.
zlecenie
2015-10-07
4 481,40
113
Michalska - Kubik Elżbieta
OP.2151.158.2015
2015-10-08
400,00
114
„ Jacek Kanarski”
14/IRG/TBS/2015/G
2015-10-09
115
Orange Polska S.A.
116
Będzmirowski Paweł
117
6 469,20
2015-10-09
95,68
OP.2150.117.2015.AS
2015-10-12
200,00
Ciepiela Dorota
OP.2151.144.2015.AS
2015-10-12
200,00
118
Danieluk-Zyśk Agniesyka
OP.2151.141.2015.AS
2015-10-12
200,00
119
Dubaj Katarzyna
OP.2150.112.2015.AS
2015-10-12
200,00
120
Dudek Jolanta
OP.2151.146.2015.AS
2015-10-12
200,00
Informacja o tym, czego umowa
dotyczy
Rewitalizacja zabytkowego dworu wraz z
przyległym terenem w Nowym Świętowie
Budowa boiska Szkoła Stowarzyszeniowa
Stary Las
Remont boiska w Rudawie
Dotacja na działalność statutową
organizacji
Zlecenie sporządzenia rzutu graficznego w
ramach umowy Nr IRG.6811.1.2015.PM z
dnia 06.02.2015 na sporządzanie rzutów
graficznych lokali i pomieszczeń
przynależnych wraz z opisem
Remont - zasób komunalny
Opracowanie projektu zagospodarowania
terenu dla boiska wielofunkcyjnego w
Starym Lesie
Wymiana okien drewnianych
Instalacja tymczasowa aparatu w lokalu
OKW w Sławniowicach na czas Wyborów
do Sejmu i Senatu RP
Obsługa informatyczna OKW podczas
Wyborów do Sejmu i Senatu RP
Obsługa informatyczna OKW podczas
Wyborów do Sejmu i Senatu RP
Obsługa informatyczna OKW podczas
Wyborów do Sejmu i Senatu RP
Obsługa informatyczna OKW podczas
Wyborów do Sejmu i Senatu RP
Obsługa informatyczna OKW podczas
Wyborów do Sejmu i Senatu RP
Kwota brutto,
na którą umowa
została zawarta
(zł)
Lp.
Strony umowy
(Nazwa firmy lub Nazwisko i Imię)
Numer umowy
Data zawarcia
umowy
(rrrr-mm-dd)
121
Grubiak Maciej
OP.2151.145.2015.AS
2015-10-12
200,00
122
Guzdek Anita
OP.2151.138.2015.AS
2015-10-12
200,00
123
Hefczyc Mariusz
OP.2151.150.2015.AS
2015-10-12
200,00
124
Kwit Magdalena
OP.2151.148.2015.AS
2015-10-12
200,00
125
Migus Piotr
OP.2151.142.2015.AS
2015-10-12
200,00
126
Nowak Bartłomiej
OP.2151.147.2015.AS
2015-10-12
200,00
127
Nowak Ludwik
OP.2151.155.2015.AS
2015-10-12
200,00
128
Orzeł-Przybylska Zofia
OP.2151.152.2015.AS
2015-10-12
200,00
129
Orzeł-Przysiadłowska Edyta
OP.2151.153.2015.AS
2015-10-12
200,00
130
Pich Bartosz
OP.2151.151.2015.AS
2015-10-12
200,00
131
Płowaś-Stadnik Alicja
OP.2151.140.2015.AS
2015-10-12
200,00
132
Rudnicki Tomasz
OP.2151.154.2015.AS
2015-10-12
200,00
133
Rytko Dorota
OP.2151.143.2015.AS
2015-10-12
200,00
134
Sadowska Karolina
OP.2150.115.2015.AS
2015-10-12
200,00
135
Seretnym Mateusz
OP.2150.120.2015.AS
2015-10-12
200,00
136
Setlak Agata
OP.2150.116.2015.AS
2015-10-12
200,00
Informacja o tym, czego umowa
dotyczy
Obsługa informatyczna OKW podczas
Wyborów do Sejmu i Senatu RP
Obsługa informatyczna OKW podczas
Wyborów do Sejmu i Senatu RP
Obsługa informatyczna OKW podczas
Wyborów do Sejmu i Senatu RP
Obsługa informatyczna OKW podczas
Wyborów do Sejmu i Senatu RP
Obsługa informatyczna OKW podczas
Wyborów do Sejmu i Senatu RP
Obsługa informatyczna OKW podczas
Wyborów do Sejmu i Senatu RP
Obsługa informatyczna OKW podczas
Wyborów do Sejmu i Senatu RP
Obsługa informatyczna OKW podczas
Wyborów do Sejmu i Senatu RP
Obsługa informatyczna OKW podczas
Wyborów do Sejmu i Senatu RP
Obsługa informatyczna OKW podczas
Wyborów do Sejmu i Senatu RP
Obsługa informatyczna OKW podczas
Wyborów do Sejmu i Senatu RP
Obsługa informatyczna OKW podczas
Wyborów do Sejmu i Senatu RP
Obsługa informatyczna OKW podczas
Wyborów do Sejmu i Senatu RP
Obsługa informatyczna OKW podczas
Wyborów do Sejmu i Senatu RP
Obsługa informatyczna OKW podczas
Wyborów do Sejmu i Senatu RP
Obsługa informatyczna OKW podczas
Wyborów do Sejmu i Senatu RP
Kwota brutto,
na którą umowa
została zawarta
(zł)
Lp.
Strony umowy
(Nazwa firmy lub Nazwisko i Imię)
Numer umowy
Data zawarcia
umowy
(rrrr-mm-dd)
137
Sury Marta
OP.2150.118.2015.AS
2015-10-12
200,00
138
Szpak Marta
OP.2150.113.2015.AS
2015-10-12
200,00
139
Włodarczyk Elżbieta
OP.2150.114.2015.AS
2015-10-12
200,00
140
Wróbel Anna
OP.2151.139.2015.AS
2015-10-12
200,00
141
Zborowski Przemysław
OP.2150.119.2015.AS
2015-10-12
200,00
142
Żemła Karina
OP.2151.149.2015.AS
2015-10-12
200,00
143
Hapanowicz Irena
OP.2150.121.2015.UP
2015-10-12
144
SEB-KUP Sebastian Kupczak
RR.0710/02-1/2015
2015-10-12
145
146
147
148
149
150
151
152
„Robert Bojda Usługi Zduńskie i
Ogólnobudowlane „
Wiesław Bis Brukarstwo i Usługi
Budowlane Bis Wiesław
Głuchołaskie Towarzystwo
Budownictwa Społecznego Sp. z o.o.
Głuchołaskie Towarzystwo
Budownictwa Społecznego Sp. z o.o.
Głuchołaskie Towarzystwo
Budownictwa Społecznego Sp.zo.o.
Głuchołaskie Towarzystwo
Budownictwa Społecznego Sp.zo.o.
Saweczko Adam
Paweł Opałka Biuro Projektów
Budowlanych PLANBUD
15/IRG/TBS/2015/G
2015-10-14
1100,00/miesiąc
15 700,00
14 580
Informacja o tym, czego umowa
dotyczy
Obsługa informatyczna OKW podczas
Wyborów do Sejmu i Senatu RP
Obsługa informatyczna OKW podczas
Wyborów do Sejmu i Senatu RP
Obsługa informatyczna OKW podczas
Wyborów do Sejmu i Senatu RP
Obsługa informatyczna OKW podczas
Wyborów do Sejmu i Senatu RP
Obsługa informatyczna OKW podczas
Wyborów do Sejmu i Senatu RP
Obsługa informatyczna OKW podczas
Wyborów do Sejmu i Senatu RP
Palenie w piecu CO
Remont i malowanie elewacji świetlicy
wiejskiej w Biskupowie
Roboty zduńskie
IRG.7011.35.2015
2015-10-15
2 337,00
Remont chodnika przy ul. Kościuszki
zlecenie
2015-10-16
6 858,00
Remont - zasób komunalny
zlecenie
2015-10-16
6 300,00
Remont - zasób komunalny
1/X/IRG/TBS/2015/G
6/IX/IRG/TBS/2015/G
IRG.7021.24.2015
2015-10-19
3 100
2015-10-19
2015-10-19
12 866,80
19,19/miesiąc
2015-10-19
3 690,00
Remont budynku
Montaż instalacji wodnej i przyłacza
kanalizacyjnego
Komórka
Opracowanie ekspertyzy budowlaneJ,
planu robót naprawczych oraz przedmiar
robót na wykonanie prac dla mostu św.
Wojciecha w Głuchołazach
Numer umowy
Data zawarcia
umowy
(rrrr-mm-dd)
Kwota brutto,
na którą umowa
została zawarta
(zł)
Lerch Agata
OP.2015.122.2015.KS
2015-10-19
10,80/h/algorytm
154
Stowarzyszenie na Rzecz Rozwoju
Uniwesytetetu Trzeciego Wieku
OP.525.5.2015
2015-10-19
1 000,00
155
Roman Staśkiewicz firma MEBLER
IRG.7011.36.2015
2015-10-20
8 364,00
Remont mostu huśtanego w Głuchołazach
156
Gierczak Anna
OP.2150.123.2015
2015-10-20
1 240,00
Sporządzenie spisu osób uprawnionych do
głosowania-aktualizacj spisów wyborców w
wyborach do sejmu i senatu RP
157
Grzesków Magdalena
OP.2150.125.2015
2015-10-20
1 240,00
Sporządzenie spisu osób uprawnionych do
głosowania-aktualizacj spisów wyborców w
wyborach do sejmu i senatu RP
158
Grześków Paulina
OP.2150.126.2015
2015-10-20
568,00
Sporządzenie spisu osób uprawnionych do
głosowania-aktualizacj spisów wyborców w
wyborach do sejmu i senatu RP
159
Szewczyk Lucyna
OP.2150.124.2015
2015-10-20
1 220,00
Sporządzenie spisu osób uprawnionych do
głosowania-aktualizacj spisów wyborców w
wyborach do sejmu i senatu RP
Lp.
Strony umowy
(Nazwa firmy lub Nazwisko i Imię)
153
160
161
162
Głuchołaskie Towarzystwo
Budownictwa Społecznego Sp.zo.o.
Głuchołaskie Towarzystwo
Budownictwa Społecznego Sp.zo.o.
Głuchołaskie Towarzystwo
Budownictwa Społecznego Sp.zo.o.
3/X/IRG/TBS/2015/G
4/X/IRG/TBS/2015/G
2/X/IRG/TBS/2015/G
Informacja o tym, czego umowa
dotyczy
Świadczenie usług opieki nad dzieckiem
przez Dziennego Opiekuna
Dotacja - "Każdy może wejść do krainy
sztuki"
2015-10-21
3 625
Wymiana instalacji elektrycznej w
mieszkaniu
2015-10-21
4 481,40
Remont łazienki
2015-10-21
3 439,99
Wymiana podłogi w kuchni
Lp.
Strony umowy
(Nazwa firmy lub Nazwisko i Imię)
Numer umowy
Data zawarcia
umowy
(rrrr-mm-dd)
Kwota brutto,
na którą umowa
została zawarta
(zł)
163
Głuchołaskie Towarzystwo
Budownictwa Społecznego Sp. z o.o.
IRG.6811.18.2015.JG
164
Głuchołaskie Towarzystwo
Budownictwa Społecznego Sp.zo.o.
7/X/IRG/TBS/2015/G
165
"INPRO" Agencja Usług Projektowych
Stanisław Szablewski
IRG.6812.93.2015.MP
2015-10-22
319,80
166
"INPRO" Agencja Usług Projektowych
Stanisław Szablewski
IRG.6812.94.2015.MP
2015-10-22
319,80
167
168
Głuchołaskie Towarzystwo
Budownictwa Społecznego Sp.zo.o.
Wiesław Bis - Brukarstwo i Usługi
Budowlane Bis Wiesław
5/X/IRG/TBS/2015/G
2015-10-21
2015-10-22
2015-10-23
147,60
6 300
3 310
IRG.7021.25.2015
2015-10-23
4 840,00
169
NTSK Redakcja "Nowiny Nyskie" w
Nysie
IRG.6845.150.2015.
2015-10-23
48,59
170
Sławkowski Eugeniusz
OP.2150.127.2015.AS
2015-10-23
164,00
Informacja o tym, czego umowa
dotyczy
Zlecenie sporządzenia rzutu graficznego w
ramach umowy Nr IRG.6811.1.2015.PM z
dnia 06.02.2015 na sporządzanie rzutów
graficznych lokali i pomieszczeń
przynależnych wraz z opisem
Montaż c.o. z podkową
Zlecenie wykonania świadczenia usługi
wyceny nieruchomości stanowiącej
własność Gminy Głuchołazy celem
przygotowania do sprzedaży
Zlecenie wykonania świadczenia usługi
wyceny nieruchomości stanowiącej
własność Gminy Głuchołazy celem
przygotowania do sprzedaży
Wymiana instalacji elektrycznej w
mieszkaniu
Remont opaski budynku Szkoły
Podstawowej nr 2 w Głuchołazach
Zlecenie na umieszczenie w informacji o
wywieszeniu wykazów nieruchomości
przeznaczonych do sprzedaży, dzierzawy i
najmu
Palenie w piecu C.O. w budynku Świetlicy
Wiejskiej w Konradowie podczas wyborów
do Sejmu i Senatu RP (OKW Nr 13)
Lp.
171
172
Strony umowy
(Nazwa firmy lub Nazwisko i Imię)
Oszust Daniel INFRA SYSTEM Biuro
Usług Technicznych
„Jacek Kanarski „
Numer umowy
Data zawarcia
umowy
(rrrr-mm-dd)
OP.2151.159.2015.PM
2015-10-26
1/10/2015
2015-10-27
Kwota brutto,
na którą umowa
została zawarta
(zł)
400,00
4 511,16
173
Universal Media Spółka z o.o będąca
nadawcą programu radiowego pod
nazwą „Radio Nysa FM”
reprezentowana przez Andrzeja
Beckera Dyrektora Promocji i
Sprzedaży
Nr 6/10/2015
2015-10-27
174
Wiesław Bis - Brukarstwo i Usługi
Budowlane Bis Wiesław
IRG.7021.26.2015
2015-10-28
4 820,00
175
Towarzystwo Przyjaciół Głuchołaz
PT.425.10.1.2015.PS
2015-10-28
3 000,00
176
Chmielak Grzegorz Przedsiębiorstwo
Budowlane "Chmielak" Prudnik
ZP.272.18.2015.JS
2015-10-30
104 304,00
2.500
Informacja o tym, czego umowa
dotyczy
Wprowadzenie zmian do projektu
organizacji ruchu ul. Gen.Andersa.
Wymiana okien - trzy mieszkania
„Bądź widoczny! Bądź bezpieczny”. Celem
akcji jest propagowanie noszenia
elementów odblaskowych wśród uczniów
klas I ze wszystkich szkół podstawowych
Gminy. W ramach akcji zakupione zostaną
materiały promocyjne dla dzieci
Utwardzenie drogi gminnej gruntowej ul.
Kościuszki
Współorganizacja Turystycznego Rajdu
Niepodległości
Boisko dla każdego sportowca w Starym
Lesie 56a
Wyjaśnienie do listy umów za okres 01/01/2015 - 31/08/2015 - w wyniku błędu technicznego w pozycji 281 i pozycji 282 umieszczono tę samą umowę,