Wyniki naboru na program dla osób bezrobotnych w wieku 30

Transkrypt

Wyniki naboru na program dla osób bezrobotnych w wieku 30
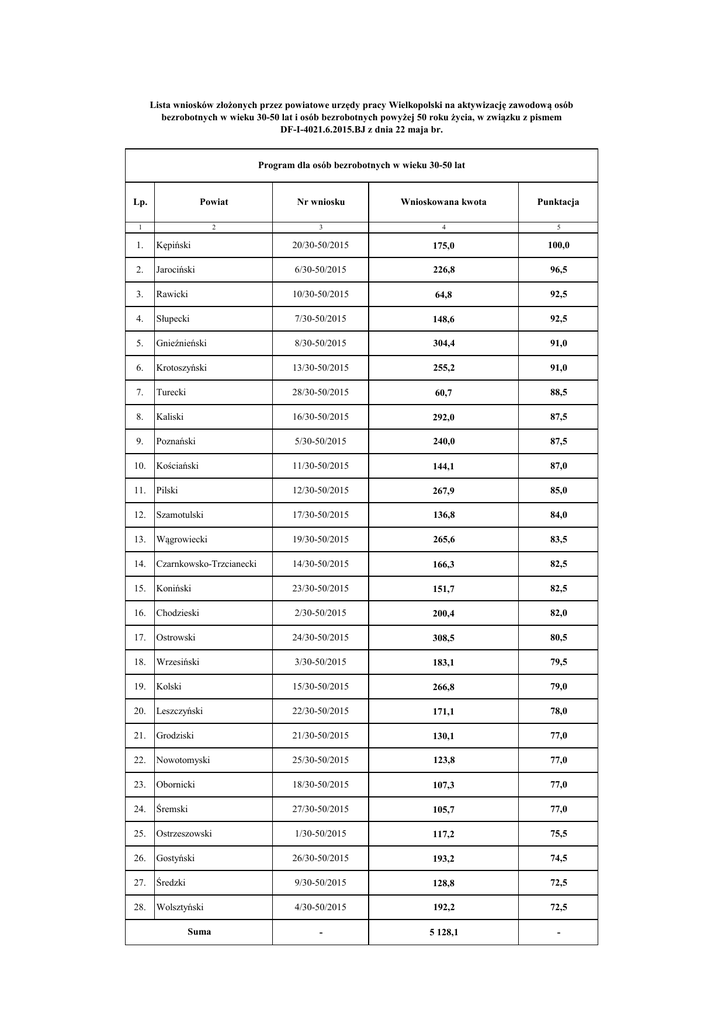
Lista wniosków złożonych przez powiatowe urzędy pracy Wielkopolski na aktywizację zawodową osób
bezrobotnych w wieku 30-50 lat i osób bezrobotnych powyżej 50 roku życia, w związku z pismem
DF-I-4021.6.2015.BJ z dnia 22 maja br.
Program dla osób bezrobotnych w wieku 30-50 lat
Lp.
Powiat
Nr wniosku
Wnioskowana kwota
Punktacja
1
2
3
4
5
1.
Kępiński
20/30-50/2015
175,0
100,0
2.
Jarociński
6/30-50/2015
226,8
96,5
3.
Rawicki
10/30-50/2015
64,8
92,5
4.
Słupecki
7/30-50/2015
148,6
92,5
5.
Gnieźnieński
8/30-50/2015
304,4
91,0
6.
Krotoszyński
13/30-50/2015
255,2
91,0
7.
Turecki
28/30-50/2015
60,7
88,5
8.
Kaliski
16/30-50/2015
292,0
87,5
9.
Poznański
5/30-50/2015
240,0
87,5
10.
Kościański
11/30-50/2015
144,1
87,0
11.
Pilski
12/30-50/2015
267,9
85,0
12.
Szamotulski
17/30-50/2015
136,8
84,0
13.
Wągrowiecki
19/30-50/2015
265,6
83,5
14.
Czarnkowsko-Trzcianecki
14/30-50/2015
166,3
82,5
15.
Koniński
23/30-50/2015
151,7
82,5
16.
Chodzieski
2/30-50/2015
200,4
82,0
17.
Ostrowski
24/30-50/2015
308,5
80,5
18.
Wrzesiński
3/30-50/2015
183,1
79,5
19.
Kolski
15/30-50/2015
266,8
79,0
20.
Leszczyński
22/30-50/2015
171,1
78,0
21.
Grodziski
21/30-50/2015
130,1
77,0
22.
Nowotomyski
25/30-50/2015
123,8
77,0
23.
Obornicki
18/30-50/2015
107,3
77,0
24.
Śremski
27/30-50/2015
105,7
77,0
25.
Ostrzeszowski
1/30-50/2015
117,2
75,5
26.
Gostyński
26/30-50/2015
193,2
74,5
27.
Średzki
9/30-50/2015
128,8
72,5
28.
Wolsztyński
4/30-50/2015
192,2
72,5
-
5 128,1
-
Suma
Program dla osób bezrobotnych powyżej 50 roku życia
Lp.
Powiat
Nr wniosku
Wnioskowana kwota
Punktacja
1
2
3
4
5
1.
Rawicki
1/50+/2/2015
51,5
88,0
2.
Turecki
4/50+/2/2015
185,7
88,0
3.
Leszczyński
3/50+/2/2015
21,9
84,0
4.
Pleszewski
2/50+/2/2015
174,6
72,0
-
433,7
-
Suma