III wpyprzedaż

Transkrypt

III wpyprzedaż
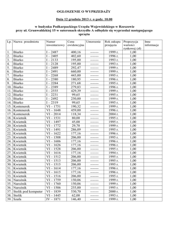
OGŁOSZENIE O WYPRZEDAŻY
Dnia 12 grudnia 2013 r. o godz. 10.00
w budynku Podkarpackiego Urzędu Wojewódzkiego w Rzeszowie
przy ul. Grunwaldzkiej 15 w suterenach skrzydło A odbędzie się wyprzedaż następującego
sprzętu
Lp. Nazwa przedmiotu
Numer
Cena
Umorzenie
inwentarzowy ewidencyjna
1.
2.
3.
4.
5.
6.
7.
8.
9.
10.
11.
12.
13.
14.
15.
16.
17.
18.
19.
20.
21.
22.
23.
24.
25.
26.
27.
28.
29.
30.
31.
32.
33.
34.
35.
36.
37.
38.
39.
I – 2487
I – 2405
I – 2133
I – 2128
I – 2489
I – 2491
I – 2268
I – 2380
I – 2284
I – 2389
I – 2555
I – 2231
I – 2492
I – 2319
VI – 1751
VI – 1648
VI – 2014
VI – 1531
VI – 1497
VI – 1772
VI – 1491
VI – 1622
VI – 1508
VI – 1606
VI – 1626
VI – 1528
VI – 1616
VI – 1512
VI – 1513
VI – 1515
VI – 1614
VI – 1615
VI – 1516
VI – 1759
VI – 1760
VI – 1506
VI – 1839
VI – 1445
IV – 1871
Biurko
Biurko
Biurko
Biurko
Biurko
Biurko
Biurko
Biurko
Biurko
Biurko
Biurko
Biurko
Biurko
Biurko
Kontenerek
Kontenerek
Kontenerek
Kwietnik
Kwietnik
Kwietnik
Kwietnik
Kwietnik
Kwietnik
Kwietnik
Kwietnik
Kwietnik
Kwietnik
Kwietnik
Kwietnik
Kwietnik
Kwietnik
Kwietnik
Kwietnik
Narożnik
Narożnik
Narożnik
Stolik pod komputer
Stolik
Szafa
400,16
402,60
195,00
195,00
292,47
660,00
443,00
180,95
271,68
279,83
429,39
99,65
250,00
99,65
190,32
459,00
118,34
80,00
45,00
29,70
286,09
177,16
206,00
177,16
177,16
206,00
177,16
206,00
206,00
206,00
177,16
177,16
206,00
150,06
150,06
255,00
530,70
62,00
146,40
-------------------------------------------------------------------------------------------------------------------------------------------------------------------------------------------------------------------------------------------
Rok zakupu Propozycja
przejęcia
wartości
rynkowej (zł)
1999 r.
1996 r.
1993 r.
1993 r.
1999 r.
1999 r.
1995 r.
1996 r.
1995 r.
1996 r.
1999 r.
1995 r.
1999 r.
1995 r.
1999 r.
1996 r.
2004 r.
1995 r.
1995 r.
1999 r.
1995 r.
1996 r.
1995 r.
1996 r.
1996 r.
1995 r.
1994 r.
1995 r.
1995 r.
1995 r.
1996 r.
1996 r.
1995 r.
1999 r.
1999 r.
1995 r.
2000 r.
1993 r.
1999 r.
1,00
1,00
1,00
1,00
1,00
1,00
1,00
1,00
1,00
1,00
1,00
1,00
1,00
1,00
1,00
1,00
1,00
1,00
1,00
1,00
1,00
1,00
1,00
1,00
1,00
1,00
1,00
1,00
1,00
1,00
1,00
1,00
1,00
1,00
1,00
1,00
1,00
1,00
1,00
Inne
informacje
W przypadku, gdy nabyciem przedmiotu zainteresowane będą co najmniej dwie osoby,
przeprowadzona zostanie aukcja pomiędzy tymi osobami.
O szczegółach dotyczących sposobu przeprowadzenia aukcji poinformuje Komisja.
Przedmiot zostanie wydany kupującemu po przedstawieniu dowodu zapłaty w dniach pracy
Urzędu.
Przewodniczący Komisji
(-)
Maria Drapała