uchwała 53.1 - Urząd Gminy Wilkołaz

Transkrypt

uchwała 53.1 - Urząd Gminy Wilkołaz
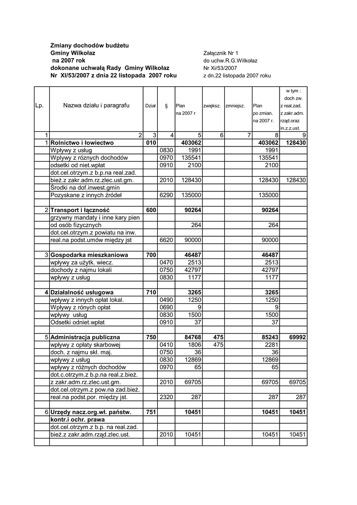
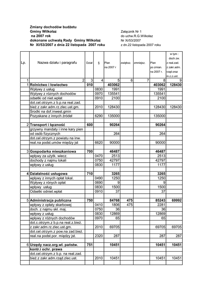
Zmiany dochodów budŜetu
Gminy Wilkołaz
na 2007 rok
dokonane uchwałą Rady Gminy Wilkołaz
Nr XI/53/2007 z dnia 22 listopada 2007 roku
Załącznik Nr 1
do uchw.R.G.Wilkołaz
Nr Xi/53/2007
z dn.22 listopada 2007 roku
w tym :
doch zw.
Lp.
Nazwa działu i paragrafu
Dział
§
Plan
zwiększ. zmniejsz.
na 2007 r
Plan
z real.zad.
po zmian.
z zakr.adm.
na 2007 r.
rząd.oraz
in.z.z.ust.
1
2
3
4
1 Rolnictwo i łowiectwo
010
Wpływy z usług
0830
Wplywy z róznych dochodów
0970
odsetki od niet.wpłat
0910
dot.cel.otrzym.z b.p.na real.zad.
bieŜ.z zakr.adm.rz.zlec.ust.gm.
2010
Środki na dof.inwest.gmin
Pozyskane z innych źródeł
6290
2 Transport i łączność
grzywny mandaty i inne kary pien
od osób fizycznych
dot.cel.otrzym.z powiatu na inw.
real.na podst.umów między jst
600
3 Gospodarka mieszkaniowa
wpływy za uŜytk. wiecz.
dochody z najmu lokali
wpływy z usług
700
4 Działalność usługowa
wpływy z innych opłat lokal.
Wpływy z rónych opłat
wpływy usług
Odsetki odniet.wpłat
710
5 Administracja publiczna
wpływy z opłaty skarbowej
doch. z najmu skł. maj.
wpływy z usług
wpływy z róŜnych dochodów
dot.c.otrzym.z b.p.na real.z.bieŜ.
z zakr.adm.rz.zlec.ust.gm.
dot.cel.otrzym.z pow.na zad.bieŜ.
real.na podst.por. między jst.
750
6 Urzędy nacz.org.wł. państw.
kontr.i ochr. prawa
dot.cel.otrzym.z b.p. na real.zad.
bieŜ.z zakr.adm.rząd.zlec.ust.
751
8
403062
1991
135541
2100
9
128430
128430
128430
128430
135000
135000
90264
90264
264
264
6620
90000
90000
0470
0750
0830
46487
2513
42797
1177
46487
2513
42797
1177
0490
0690
0830
0910
3265
1250
9
1500
37
3265
1250
9
1500
37
0410
0750
0830
0970
84768
1806
36
12869
65
2010
2320
2010
5
403062
1991
135541
2100
6
475
475
7
85243
2281
36
12869
65
69992
69705
69705
69705
287
287
287
10451
10451
10451
10451
10451
10451
1
2
3
4
5
7 Dochody od osób prawn.od
os.fiz.i od in.jedn.nie pos.os.pr 756
1865683
podatek doch.od osób fiz.
0010 871602
podatek doch.od osób praw.
0020
2400
podatek od nieruchomości os.pr.
0310 320230
podatek od nieruchomości os.fiz.
0310
65000
podatek rolny os.pr.
0320
828
podatek rolny os.fiz.
0320 410168
podatek leśny os.pr.
0330
4468
podatek leśny os.fiz
0330
22545
podatek od środków transp.os.pr.
0340
4368
podatek od środków transp. os.fiz
0340
45898
wpływy z karty podatkowej
0350
7066
podatek od spadków i darowizn
0360
4400
wpływy z opłaty skarbowej
0410
17515
wpływy z opłaty eksploatac.
0460
576
wpływy za zezw. na sprzed.alk.
0480
38000
pod.od czyn.cyw.prawn.os.pr.
119
pod.od czyn.cyw.prawn.os.fiz.
0500
45000
wpł.z róŜn.opłat/koszty/egzek/
0690
3000
odsetki od niet.wpłat z tyt.pod o.p
odsetki od niet.wpłat z tyt.pod o.f
0910
2500
8 RóŜne rozliczenia
odsetki o lokat
subwencje ogólne z b.p.subw.og.
subwencja oświatowa
758
9 Oświata i wychowanie
wpływy z usług
dot.cel.otrzym.z b.p.na real.zad.
wł.bieŜ.gmin
wpł z tyt.pom. finas.udziel.m.jst
na dofin.wł.zad.bieŜ.
801
10 Opieka społeczna
wpływy z róŜnych doch
wpływy z usług/usł.opiek./
wpływy z róŜnych usług
dot.cel.otrzym.z b.p. na real.
zad.z zakresu adm.rząd.
dot.cel.otrzym.z b.p.na real.zad.
wł.bieŜ.gmin
852
11 Edukacyjna opieka wychowawcza
wpływy z róŜnych dochodów
dot.cel.otrzym.z b.p.na real.zad.
wł.bieŜ.gmin
854
12 Gospodarka komunalna i
ochrona środowiska
wpływy z róŜnych dochodów
dot.otrzym.z f.c.na real.zad.bieŜ
jedn.sekt.fin.publ.
Dochody ogółem
5107058
0920
11094
2920 2082795
2920 3013169
6
9679
4636
2092
2900
51
3906
3906
7
8
1875362
871602
2400
320230
65000
828
410168
4468
22545
4368
50534
7066
4400
17515
576
40092
3019
45000
3000
51
2500
5110964
15000
2082795
3013169
0830
64695
27500
64695
27500
2030
32680
32680
2710
4515
4515
1630515
3395
620
200 1633332 1439500
3017
3395
200
420
2010 1439500
1439500 1439500
0690
0830
0970
3017
3017
9
2030
187000
187000
0970
109490
1500
109490
1500
2030
91810
91810
0970
7300
1000
7300
1000
900
2440
6300
9406858 17077
6300
200 9423735 1648373