Kompleksowe ubezpieczenie majątkowe posiadanego mienia oraz

Transkrypt

Kompleksowe ubezpieczenie majątkowe posiadanego mienia oraz
Chobienia 19.12.2016r.
Z A P Y T A N I E O CENĘ
Kompleksowe ubezpieczenie majątkowe posiadanego mienia oraz odpowiedzialności cywilnej z tytułu prowadzonej działalności
Chobieńskiego Ośrodka Kultury
zgodnie z art.4 pkt 8 ustawy z dnia 29 stycznia 2004r. Prawo zamówień publicznych (t. j. Dz. U. z 2015r., poz. 2164 z późn. zm.)
ustawy nie stosuje się
I. Zamawiający:
Chobieński Ośrodek Kultury
Chobienia, ul. Rynek 6
59-305 Rudna
tel. 76 843 95 19
76 843 95 09
fax 76 843 95 19
NIP: 692-23-02-008
REGON: 390950200
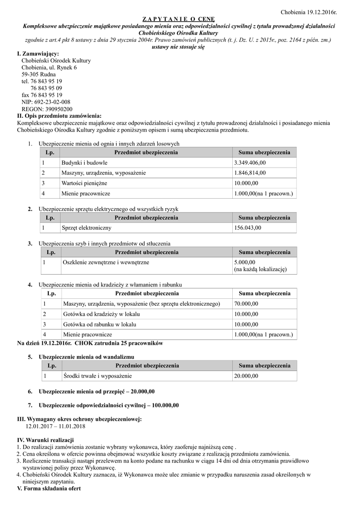
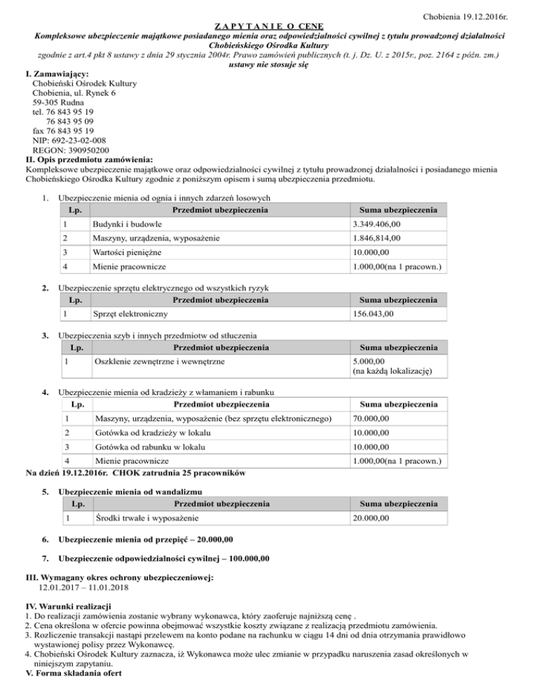
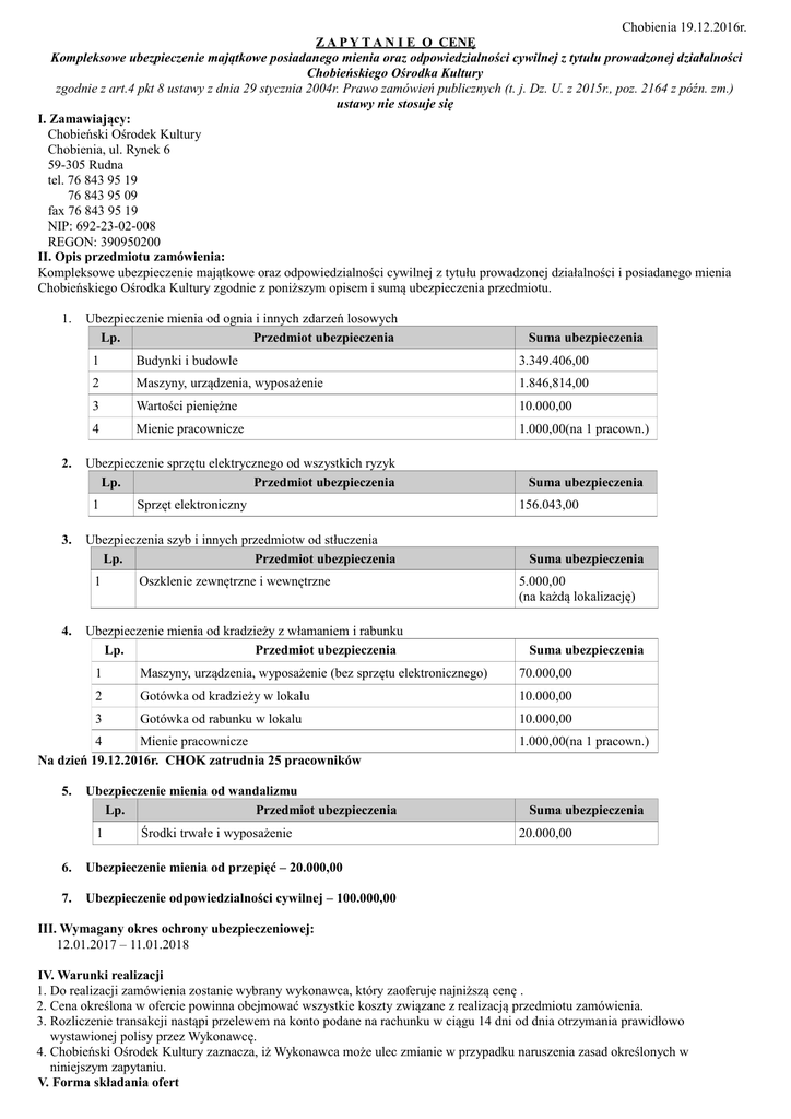
II. Opis przedmiotu zamówienia:
Kompleksowe ubezpieczenie majątkowe oraz odpowiedzialności cywilnej z tytułu prowadzonej działalności i posiadanego mienia
Chobieńskiego Ośrodka Kultury zgodnie z poniższym opisem i sumą ubezpieczenia przedmiotu.
1.
2.
Ubezpieczenie mienia od ognia i innych zdarzeń losowych
Lp.
Przedmiot ubezpieczenia
1
Budynki i budowle
3.349.406,00
2
Maszyny, urządzenia, wyposażenie
1.846,814,00
3
Wartości pieniężne
10.000,00
4
Mienie pracownicze
1.000,00(na 1 pracown.)
Ubezpieczenie sprzętu elektrycznego od wszystkich ryzyk
Lp.
Przedmiot ubezpieczenia
1
3.
Sprzęt elektroniczny
Ubezpieczenia szyb i innych przedmiotw od stłuczenia
Lp.
Przedmiot ubezpieczenia
1
4.
Oszklenie zewnętrzne i wewnętrzne
Ubezpieczenie mienia od kradzieży z włamaniem i rabunku
Lp.
Przedmiot ubezpieczenia
Suma ubezpieczenia
156.043,00
Suma ubezpieczenia
5.000,00
(na każdą lokalizację)
Suma ubezpieczenia
1
Maszyny, urządzenia, wyposażenie (bez sprzętu elektronicznego)
70.000,00
2
Gotówka od kradzieży w lokalu
10.000,00
3
Gotówka od rabunku w lokalu
10.000,00
4
Mienie pracownicze
Na dzień 19.12.2016r. CHOK zatrudnia 25 pracowników
5.
Suma ubezpieczenia
Ubezpieczenie mienia od wandalizmu
Lp.
Przedmiot ubezpieczenia
1
Środki trwałe i wyposażenie
6.
Ubezpieczenie mienia od przepięć – 20.000,00
7.
Ubezpieczenie odpowiedzialności cywilnej – 100.000,00
1.000,00(na 1 pracown.)
Suma ubezpieczenia
20.000,00
III. Wymagany okres ochrony ubezpieczeniowej:
12.01.2017 – 11.01.2018
IV. Warunki realizacji
1. Do realizacji zamówienia zostanie wybrany wykonawca, który zaoferuje najniższą cenę .
2. Cena określona w ofercie powinna obejmować wszystkie koszty związane z realizacją przedmiotu zamówienia.
3. Rozliczenie transakcji nastąpi przelewem na konto podane na rachunku w ciągu 14 dni od dnia otrzymania prawidłowo
wystawionej polisy przez Wykonawcę.
4. Chobieński Ośrodek Kultury zaznacza, iż Wykonawca może ulec zmianie w przypadku naruszenia zasad określonych w
niniejszym zapytaniu.
V. Forma składania ofert
-ofertę należy złożyć w formie pisemnej.
VI. Miejsce składania ofert
1. Ofertę należy dostarczyć do Chobieńskiego Ośrodka Kultury:
 email na adres: [email protected], osobiście lub pocztą na adres: Chobienia ul. Rynek 6,
59-305 Rudna, z dopiskiem „Oferta na kompleksowe ubezpieczenie majątkowe posiadanego mienia Chobieńskiego Ośrodka
Kultury oraz OC z tytułu prowadzonej działalności i”
w terminie do 30.01.2016r. do godz. 10:00
2. Rozstrzygnięcie ofert nastąpi 03.01.2017r.
3. O wyborze najkorzystniejszej oferty wybrany oferent zostanie poinformowany drogą mailową.
4. Z wybranym oferentem zostanie podpisana umowa na wykonanie przedmiotu zamówienia.
VII. Kryteria wyboru oferty
Kryterium oceny ofert: 100% cena.
VIII. Opis sposobu przygotowania oferty
W ofercie należy podać ceny brutto.
Oferta musi zawierać nazwę, numer NIP, Regon, oraz dane kontaktowe (adres, telefon, e-mail) Oferenta.
Osoba uprawniona do kontaktu z oferentami: Katarzyna Przeworska tel. 76 8439-519, 76 843-9509
Dyrektor
Chobieńskiego Ośrodka Kultury
mgr inż. Katarzyna Przeworska
SZCZEGÓŁOWA SPECYFIKACJA
Zabezpieczenia p. poż. – system sygnalizacji pożaru-Chobieński Ośrodek Kultury
Zabezpieczenia przeciw kradzieżowe: alarm przeciwwłamaniowy w Chobieńskim Ośrodku Kultury, świetlicy w Orsku, Radoszycach, Studzionkach,
Ciechłowicach, Brodowicach, Nieszczycach, Naroczycach, Kębłowie, Chełmie.
Okres ubezpieczenia
Od 12.01.2017 do 11.01.2018r.
Załącznik nr 1 ubezpieczenie mienia od ognia i innych zdarzeń losowych
Lp.
Nazwa budynku
i budowli wraz
z dokładnym
adresem lokalizacji
1.
Budynek Świetlicy
w Studzionkach
Studzionki 7
59-305 Rudna
2.
3.
4.
5
6
7
Budynek Świetlicy
w Ciechłowicach
Ciechłowice 10a
59-305 Rudna
Budynek Osir
Chobienia
Chobienia
ul. Nadodrzańska 11a
59-305 Rudna
Budynek Świetlicy
w Brodowicach
Brodowice 12
59-305 Rudna
Budynek Świetlicy
w Nieszczycach
Nieszczyce 37
59-305 Rudna
Budynek Świetlicy
w Naroczycach
Naroczyce 48/1
59-305 Rudna
Budynek Świetlicy
w Kębłowie
Kębłów 14a
59-305 Rudna
Suma
ubezpiecz.
wartość
odtworzeniowa Powierz.
(o), rzeczywista, Użytk.
księgowa brutto
111,60m2
Przeznacz.
budynków
Konstrukcja budowy
Rok budowy
Świetlica
Wiejska
murowany , konstrukcja stropu
częściowo drewniana belki
stalowe z wypełnieniem płytą
żelbetonową, dach kryty
dachówką ceramiczną
Adaptacja budynku na
cele świetlicy 19992000
260.126,12
~260.126,00
Księgowa brutto
44.085,06
~44.085,00
Księgowa brutto
115,90m2
Świetlica
Wiejska
Murowany, pokrycie dachudachówka
Adaptacja budynku na
cele świetlicy wiejskiej
ok. 2001r.
214.151,89
~214.152,00
Księgowa brutto
140,00m2
Ośrodek
Sportu i
Rekreacji
Murowany, stropodach z belek
stalowych, pokrycie dachublacha, papa
1999
137.700,06
~137.700,00
Księgowa brutto
68,00m2
Świetlica
Wiejska
Murowany, pokrycie dachu-papa
Adaptacja budynku na
cele świetlicy
wiejskiej2001r.
362.758,93
~362.759,00
Księgowa brutto
300,10m2
Świetlica
Wiejska
Murowany, dach o konstrukcji
stalowo-drewnianej, pokrycie
dachu-blacha
1994-1995
218.976,99
~218.977,00
Księgowa brutto
187,74m2
Świetlica
Wiejska
250.947,10
~250.947,00
Księgowa brutto
113,82m2
Świetlica
Wiejska
Murowany, pokrycie dachublacha, konstrukcja stalowa
2001
Adaptacja
budynku1994 (część
podziemna –piwnica
pochodzi z XVIII w, cz.
Nadziemna powstała w
II połowie XIX w).
Przedwojenny,
Murowany, konstrukcja
zaadaptowany w latach
drewniana, pokrycie dachu-papa
80-90 Xw
8
Budynek Ośrodka
Kultury
w Chobieni
Chobienia, ul.Rynek 6
59-305 Rudna
1.086.436,38
~1.086.436,00
Księgowa brutto
762,00m2
Świetlica
Wiejska
Obiekt objęty ochroną
Konserwatora Zabytków,
Murowany, stropy ceramiczne i
drewniane, pokrycie dachudachówka ceramiczna i papa
9
Budynek Świetlicy
w Orsku
Orsk 9
59-305 Rudna
247.996,92
~247.997,00
Księgowa brutto
258,70m2
Świetlica
Wiejska
Murowany, pokrycie dachublacha powlekana dachówką
Adaptacja budynku na
świetlicę1997
1999-2000
2011
10
Budynek Świetlicy
w Radoszycach
Radoszyce 53
59-305 Rudna
228.440,23
~228.440,00
Księgowa brutto
121,95m2
Świetlica
Wiejska
Ściany jak i pokrycie dachowe
wykonane z prefabrykowanych
elementów płyt warstwowych,
wykonanych z obustronnej płyty
trapezowej wypełnionej
wewnątrz pianką poliuretanową ,
styropianem
11
Budynek Świetlicy
w Chełmie
Chełm 8a
59-305 Rudna
297.787,44
~297.787,00
Księgowa brutto
113,30m2
Świetlica
Wiejska
Murowany, konstrukcja stalowa,
pokrycie dachu-płyty warstwowe
Razem:
3.349.407,12 ~ 3.349.406,00
Maszyny urządzenia, wyposażenie
Środki trwałe obejmują m.in.: nazwę maszyny i urządzenia w tym
pojazdy wolnobieżne, wózki widłowe oraz wyposażenie
I
MASZYNY I URZĄDZENIA
OSIR Chobienia
1
Trybuna
2
Wiata stadionowa
3
Wiata stadionowa
4
Wiata rekreacyjna
5
Traktor z koszem-kosiarka
6
Piłkochwyty
Razem
:
Świetlica Kębłów
1
Kocioł gazowy dwufunkcyjny
Razem:
Świetlica Nieszczyce
1
Kocioł gazowy
2
Wiata rekreacyjna
3
Dźwig towarowy
4
Klimatyzator ścienny
5
Klimatyzator ścienny
Razem:
Świetlica Radoszyce
1
Kocioł gazowy dwufunkcyjny
Razem:
Świetlica Naroczyce
1
Gazowa nagrzewnica powietrza
Kuchnia gaz.6 palnikowa z piek. elektr.
2
Razem:
Chobieński Ośrodek Kultury
1
Podgrzewacz gazowy
2
Kocioł wodny
3
Rozdzielnia główna
4
Patelnia elektryczna
5
Namioty ekspresowe szt.1
6
Namioty ekspresowe szt.2
7
Kuchnia gaz.6 palnikowa z piek. elektr.
8
Piec do wpalania ceramiki
9
Wentylacja wyciąg
10 Wentylacja wyciąg
11 Klimatyzator kasetonowy
12 Klimatyzator kasetonowy
13 Silanos zmywarka kapturowa
Razem:
Świetlica Chełm
1
Kocioł gazowy
Lp.
Razem:
Świetlica Brodowice
1
Wiata rekreacyjna
Suma ubezpieczenia
51.880,46
4.428,00
4.428,00
35.694,11
9.000,00
25.267,58
130.698,15 ~ 130.698,00
3.580,62
3.580,62 ~ 3.581,00
3.699,84
26.208,92
10.973,02
6.266,08
6.266,09
53.413,95 ~ 53.414,00
4.115,24
4.115,24 ~ 4.115,00
11.541,20
6.590,00
18.131,20 ~ 18.131,00
2.689,97
17.900,28
11.215,25
3.477,00
3.538,00
7.418,24
6.590,00
15.500,00
4.251,21
4.251,22
14.117,51
14.117,51
8.150,00
113.216,19 ~ 113.216,00
4.804,47
4.804,47 ~ 4.804,00
9.735,96
Razem
:
9.735,96 ~ 9.736,00
Świetlica Orsk
1
Kuchnia gazowo-elektryczna
2
Wiata rekreacyjna
6.888,00
9.760,00
Razem:
16.648,00
Świetlica Studzionki
1
Kuchnia gazowa 6 pal.
6.568,20
Razem
:
Świetlica Ciechłowice
1
Wiata drewniana.
6.568,20 ~ 6.568,00
5.124,00
wartość księgowa
brutto
Razem
:
5.124,00
Centrum Kształcenia
1
Klimatyzator ROTENSO
5.000,00
Razem
:
5.000,00
Boisko Sportowe Studzionki
1
Oświetlenie
2
Wiata rekreacyjna
3
Zestaw kontenerów na szatnie
4
Dojście do kontenerów szatniowych
Wiata stadionowa
5
Wiata stadionowa
6
4.146,03
9.760,00
120.390,06
11.242,86
5.535,00
5.535,00
Razem
:
156.608,95 ~ 156.609,00
Boisko Sportowe Orsk
1
Wiata-szatnia sportowa
2
Zestaw kontenerów na szatnie
3
Wiata stadionowa
4
Wiata stadionowa
Piłkochwyty
5
19.902,57
122.677,26
6.806,40
6.806,40
21.768,99
Razem
:
177.961,62 ~ 177.962,00
Boisko Sportowe Nieszczyce
1
Wiata stadionowa
2
Wiata stadionowa
6.806,40
6.806,41
Razem
:
13.612,81 ~ 13.613,00
Boisko Wielofunkcyjne Kębłów
1
Wiata drewniana
5.960,42
Razem
:
II
1
2
3
III
1
2
3
4
5
6
7
8
9
10
11
12
13
14
15
16
17
18
19
20
21
22
ZBIORY BIBLIOTECZNE
Biblioteka Chobienia
Biblioteka Orsk
Biblioteka Nieszczyce
Razem:
POZOSTAŁE WYPOSAŻENIE NIEBĘDĄCE ŚR.TRWAŁYMI
Chobieński Ośrodek Kultury
Świetlica Studzionki
Świetlica Kębłów
Świetlica Radoszyce
Świetlica Orsk
Świetlica Naroczyce
Świetlica Ciechłowice
Świetlica Brodowice
Świetlica Nieszczyce
Świetlica Chełm
Biblioteka Chobienia
Biblioteka Nieszczyce
Biblioteka Orsk
Centrum Kształcenia
OSIR Chobienia
Boisko Sportowe Studzionki
Boisko Sportowe Orsk
Boisko Sportowe Nieszczyce
Boisko Wielofunkcyjne Orsk
Boisko Wielofunkcyjne Chełm
Boisko Wielofunkcyjne Kębłów
Boisko Wielofunkcyjne Radoszyce
RAZEM:
SUMA:
5.960,42 ~ 5.960,00
194.140,96 ~194.141,00
53.435,35 ~ 53.436,00
53.058,39 ~ 53.058,00
300.634,70 ~ 300.635,00
277.000,00
31.000,00
51.000,00
41.000,00
49.000,00
38.000,00
42.000,00
34.000,00
78.000,00
30.000,00
16.000,00
5.000,00
5.000,00
24.000,00
53.000,00
6.000,00
10.000,00
10.000,00
11.000,00
2.000,00
3.000,00
5.000,00
821.000,00
1.846.814,00
Załącznik nr 2 Ubezpieczenie sprzętu elektronicznego
Sprzęt
stacjonarny
Lp.
Nazwa sprzętu elektronicznego
/sprzęt
przenośny
BIBLIOTEKA ORSK
Do 5 lat
1
UPS EVER 350VA
stacjonarny
Powyżej 5 lat
1
Drukarka SAMSUNG SCX-4200
stacjonarny
Rok
produkcji
Suma
ubezpieczenia
wartość odtworzeniowa (o),
rzeczywista księgowa brutto
2012
Razem
252,15 Księgowa brutto
252,15 ~252,00
2008
Razem
495,00
Księgowa brutto
495,00
Księgowa brutto
BIBLIOTEKA NIESZCZYCE
Do 5 lat
1
Urządzenie Wielofunkcyjne
stacjonarny
2015
Razem
1.411,00
1.411,00
Powyżej 5 lat
1
Komputer NTT OFICE 600 AXL915
stacjonarny
2008
Razem
1.794,01 Księgowa brutto
1.794,01 ~1.794,00
BIBLIOTEKA CHOBIENIA
Do 5 lat
1
Telewizor
Stacjonarny
2016
Razem
798,00
798,00
Księgowa brutto
Powyżej 5 lat
1
Drukarka laserowa SAMSUNG ML1710
2
Kserokopiarka RICOH
3
Drukarka HP 1020 laser
stacjonarny
stacjonarny
stacjonarny
2004
2005
2008
Razem
785,50 Księgowa brutto
4.672,60 Księgowa brutto
425,00 Księgowa brutto
5.883,10 ~5.883,00
OŚRODEK KULTURY
Do 5 lat
1
Drukarka Canon PIXMA MG5150 3w1
2
Notebook P580-A-59-351489 Lenovo
3
Monitor LG 19 E1942C-BN LED
4
Drukarka KYOCERA FS-2100DN
5
ORVALDI 820GE UPS
6
Kasa fiskalna NOVITUS
7
ROUTER UMTS/3G/CONRAD
8
Urządzenie wielofunkcyjne
9
Urządzenie wielofunkcyjne
stacjonarny
przenośny
stacjonarny
stacjonarny
stacjonarny
Stacjonarna
stacjonarny
Stacjonarny
Stacjonarny
2012
2012
2012
2013
2015
2015
2015
2016
2016
Razem
265,00 Księgowa brutto
2.438,21 Księgowa brutto
325,00 Księgowa brutto
1.677,00 Księgowa brutto
309,00 Księgowa brutto
1.500,00 Księgowa brutto
429,00 Księgowa brutto
1.989,00 Księgowa brutto
299,00 Księgowa brutto
9.231,21 ~9.231,00
Powyżej 5 lat
1
UPS CS 350VA R-60
2
Drukarka SAMSUNG CL6600N
3
Komputer NTT OFFICE L529G
4
Kamera cyfrowa CANON MU700
5
Projektor ACER PD113
6
Centrala telefoniczna PMS R060075/1
7
Zestaw nagłaśniający
8
Zestaw nagłaśniający
9
Kopiarka KYOCERA KM1635
10
Router LINKSYS WRT54GL
11
Zestaw komputerowy
12
Zestaw komputerowy
13
Zestaw komputerowy NTT Office
14
Zestaw komputerowy NTT Office
stacjonarny
stacjonarny
stacjonarny
stacjonarny
stacjonarny
stacjonarny
stacjonarny
stacjonarny
stacjonarny
stacjonarny
stacjonarny
stacjonarny
stacjonarny
stacjonarny
2002
2007
2007
2005
2005
2006
2003
2008
2009
2009
2009
2009
2011
2011
Razem
366,00 Księgowa brutto
1.600,01 Księgowa brutto
2.500,00 Księgowa brutto
1.499,00 Księgowa brutto
3.399,00 Księgowa brutto
997,96 Księgowa brutto
14.992,10 Księgowa brutto
3.699,99 Księgowa brutto
3.100,00 Księgowa brutto
250,00 Księgowa brutto
3.500,00 Księgowa brutto
3.448,00 Księgowa brutto
2.163,26 Księgowa brutto
2.163,26 Księgowa brutto
43.678,58 ~43.679,00
CENTRUM KSZTAŁCENIA
Do 5 lat
1
Drukarka EPSON STYLUS PHOTO
stacjonarny
2014
Razem
1.161,20 Księgowa brutto
1.161,20 ~1.161,00
Powyżej 5 lat
1
Zestaw komputerowy 1
2
Zestaw komputerowy 2
3
Zestaw komputerowy 4
4
Zestaw komputerowy 5
5
Zestaw komputerowy 6
stacjonarny
stacjonarny
stacjonarny
stacjonarny
stacjonarny
2009
2009
2009
2009
2009
3.484,98
3.442,11
3.487,99
3.448,00
3.448,00
Księgowa brutto
Księgowa brutto
Księgowa brutto
Księgowa brutto
Księgowa brutto
6
7
8
9
10
11
12
13
14
15
16
17
18
19
20
Zestaw komputerowy 7
Zestaw komputerowy 8
Zestaw komputerowy 9
Zestaw komputerowy 11
Tablet PCS/N
Zestaw głośników
System antywłamaniowy
System sygnalizacji pożaru
Elektr. system kont.dost.do pomieszczeń
Syst. alarm. (kan.trans.syg.doz.doCmon.)
Inst.sieć-sieć teletechniczna
Projektor multimedialny
Wyświetl.wielofunkcyjny
Telefon VOIP
Szafa teleinformatyczna
stacjonarny
stacjonarny
stacjonarny
stacjonarny
przenośny
stacjonarny
stacjonarny
stacjonarny
stacjonarny
stacjonarny
stacjonarny
stacjonarny
stacjonarny
stacjonarny
stacjonarny
2009
2009
2009
2009
2009
2009
2009
2009
2009
2009
2009
2009
2009
2009
2009
Razem
3.500,00 Księgowa brutto
3.448,00 Księgowa brutto
3.448,00 Księgowa brutto
3.425,42 Księgowa brutto
3.500,00 Księgowa brutto
610,00 Księgowa brutto
3.000,00 Księgowa brutto
800,00 Księgowa brutto
500,00 Księgowa brutto
700,00 Księgowa brutto
800,00 Księgowa brutto
3.500,00 Księgowa brutto
3.199,00 Księgowa brutto
1.000,00 Księgowa brutto
1.199,99 Księgowa brutto
49.941,49 ~49.941,00
ŚWIETLICA NIESZCZYCE
Do 5 lat
1
Monitor LG 21,5 E2242C-BNLED wide
2
Mikrofon bezprzewodowy SHURE
3
Zestaw nagłaśniający
stacjonarny
przenośny
stacjonarny
2012
2015
2015
Razem
409,00
1.740,00
6.675,00
8.824,00
Powyżej 5 lat
1
Nagłośnienie i okablowanie
2
System bezprzewodowy SHURE-PG 14E
3
Zestaw bezprzewodowy SHURE-PGX24E
4
Kopiarka MINOLTA
5
Nagł.system bezprz.SHURE
stacjonarny
stacjonarny
stacjonarny
stacjonarny
stacjonarny
2006
2007
2007
2005
2008
Razem
3.064,69 Księgowa brutto
2.130,00 Księgowa brutto
1.650,01 Księgowa brutto
3.172,00 Księgowa brutto
1.011,89 Księgowa brutto
11.028,59 ~11.029,00
ŚWIETLICA KĘBŁÓW
Do 5 lat
1
Urządzenie wielof.CANON PIXMA
stacjonarny
2015
Razem
285,29 Księgowa brutto
285,29 ~285,00
Powyżej 5 lat
1
Zestaw komputerowy z LCD
stacjonarny
2011
Razem
1.943,40 Księgowa brutto
1.943,40 ~1.943,00
ŚWIETLICA CHEŁM
Powyżej 5 lat
1
Odtwarzacz DVDPIONEER
2
Wieża PIONIEER
stacjonarny
przenośny
2011
2011
Razem
291,51 Księgowa brutto
437,88 Księgowa brutto
729,39 ~729,00
ŚWIETLICA RADOSZYCE
Powyżej 5 lat
1
Zestaw nagłaśniający
2
Zestaw nagłaśniający
3
Drukarka SAMSUNG ML2010
stacjonarny
stacjonarny
stacjonarny
2002
2007
2006
Razem
2.133,46 Księgowa brutto
4.300,65 Księgowa brutto
315,00 Księgowa brutto
6.749,11 ~ 6.749,00
ŚWIELTLICA BRODOWICE
Do 5 lat
1
Telewizor
Stacjonarny
2016
Razem
839,00
839,00
Księgowa brutto
Księgowa brutto
Księgowa brutto
Księgowa brutto
Powyżej 5 lat
1
Tablica główna TG
stacjonarny
2002
Razem
2.660,27 Księgowa brutto
2.660,27 ~2.660,00
ŚWIETLICA STUDZIONKI
Powyżej 5 lat
1
Zestaw nagłaśniający
stacjonarny
2008
Razem
3.699,99 Księgowa brutto
3.699,99 ~3.700,00
ŚWIETLICA NAROCZYCE
Do 5 lat
1
Drukarka XEROX PHASER
stacjonarny
2014
Razem
940,00
Powyżej 5 lat
1
Zestaw nagłaśniający
stacjonarny
SUMA:
2008
Razem
940,00
Księgowa brutto
3.699,99 Księgowa brutto
3.699,99 ~3.700,00
156.044,77 ~ 156.043,00
Szkodowość za ostatnie 3 lata:
2016 rok
bezszkodowość
2015 rok
szkoda nr 1038178/1116590 – wypłacona kwota 729,28 – uszkodzenie ogrodzenia (Boisko Wielofunkcyjne Kębłów)
szkoda nr 1024983/1101932 – wypłacona kwota 540,32 – wybicie szyby, dewastacja wiaty rekreacyjnej (Boisko Sport.Studzionki)
2014 rok
bezszkodowość