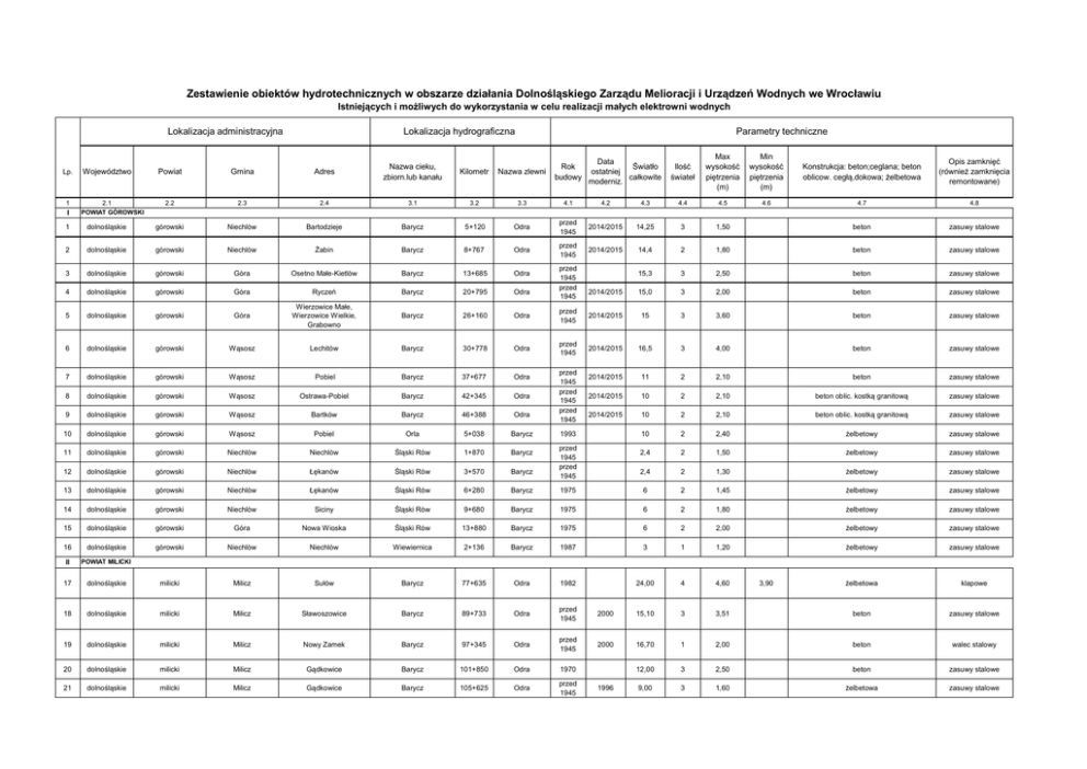
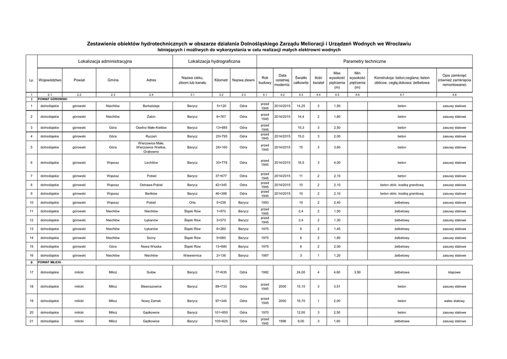
Zestawienie obiektów hydrotechnicznych w obszarach działania

Transkrypt

Zestawienie obiektów hydrotechnicznych w obszarach działania
Zestawienie obiektów hydrotechnicznych w obszarze działania Dolnośląskiego Zarządu Melioracji i Urządzeń Wodnych we Wrocławiu
Istniejących i możliwych do wykorzystania w celu realizacji małych elektrowni wodnych
Lokalizacja administracyjna
Lp.
1
I
Województwo
2.1
POWIAT GÓROWSKI
Lokalizacja hydrograficzna
Parametry techniczne
Ilość
świateł
Max
wysokość
piętrzenia
(m)
Min
wysokość
piętrzenia
(m)
Konstrukcja: beton;ceglana; beton
oblicow. cegłą,dokowa; żelbetowa
Opis zamknięć
(również zamknięcia
remontowane)
4.3
4.4
4.5
4.6
4.7
4.8
Data
Światło
ostatniej
całkowite
moderniz.
Powiat
Gmina
Adres
Nazwa cieku,
zbiorn.lub kanału
Kilometr
Nazwa zlewni
Rok
budowy
2.2
2.3
2.4
3.1
3.2
3.3
4.1
4.2
1
dolnośląskie
górowski
Niechlów
Bartodzieje
Barycz
5+120
Odra
przed
1945
2014/2015
14,25
3
1,50
beton
zasuwy stalowe
2
dolnośląskie
górowski
Niechlów
Żabin
Barycz
8+767
Odra
przed
1945
2014/2015
14,4
2
1,80
beton
zasuwy stalowe
3
dolnośląskie
górowski
Góra
Osetno Małe-Kietlów
Barycz
13+685
Odra
15,3
3
2,50
beton
zasuwy stalowe
4
dolnośląskie
górowski
Góra
Ryczeń
Barycz
20+795
Odra
Barycz
26+160
przed
1945
przed
1945
2014/2015
15,0
3
2,00
beton
zasuwy stalowe
Odra
przed
1945
2014/2015
15
3
3,60
beton
zasuwy stalowe
przed
1945
2014/2015
16,5
3
4,00
beton
zasuwy stalowe
2014/2015
11
2
2,10
beton
zasuwy stalowe
2014/2015
10
2
2,10
beton oblic. kostką granitową
zasuwy stalowe
2014/2015
10
2
2,10
beton oblic. kostką granitową
zasuwy stalowe
10
2
2,40
żelbetowy
zasuwy stalowe
2,4
2
1,50
żelbetowy
zasuwy stalowe
2,4
2
1,30
żelbetowy
zasuwy stalowe
5
dolnośląskie
górowski
Góra
Wierzowice Małe,
Wierzowice Wielkie,
Grabowno
6
dolnośląskie
górowski
Wąsosz
Lechitów
Barycz
30+778
Odra
7
dolnośląskie
górowski
Wąsosz
Pobiel
Barycz
37+677
Odra
8
dolnośląskie
górowski
Wąsosz
Ostrawa-Pobiel
Barycz
42+345
Odra
9
dolnośląskie
górowski
Wąsosz
Bartków
Barycz
46+388
Odra
10
dolnośląskie
górowski
Wąsosz
Pobiel
Orla
5+038
Barycz
przed
1945
przed
1945
przed
1945
1993
przed
1945
przed
1945
11
dolnośląskie
górowski
Niechlów
Niechlów
Śląski Rów
1+870
Barycz
12
dolnośląskie
górowski
Niechlów
Łękanów
Śląski Rów
3+570
Barycz
13
dolnośląskie
górowski
Niechlów
Łękanów
Śląski Rów
6+280
Barycz
1975
6
2
1,45
żelbetowy
zasuwy stalowe
14
dolnośląskie
górowski
Niechlów
Siciny
Śląski Rów
9+680
Barycz
1975
6
2
1,80
żelbetowy
zasuwy stalowe
15
dolnośląskie
górowski
Góra
Nowa Wioska
Śląski Rów
13+880
Barycz
1975
6
2
2,00
żelbetowy
zasuwy stalowe
16
dolnośląskie
górowski
Niechlów
Niechlów
Wiewiernica
2+136
Barycz
1987
3
1
1,20
żelbetowy
zasuwy stalowe
II
POWIAT MILICKI
17
dolnośląskie
milicki
Milicz
Sułów
Barycz
77+635
Odra
1982
24,00
4
4,60
żelbetowa
klapowe
18
dolnośląskie
milicki
Milicz
Sławoszowice
Barycz
89+733
Odra
przed
1945
2000
15,10
3
3,51
beton
zasuwy stalowe
19
dolnośląskie
milicki
Milicz
Nowy Zamek
Barycz
97+345
Odra
przed
1945
2000
16,70
1
2,00
beton
walec stalowy
20
dolnośląskie
milicki
Milicz
Gądkowice
Barycz
101+850
Odra
1970
12,00
3
2,50
beton
zasuwy stalowe
21
dolnośląskie
milicki
Milicz
Gądkowice
Barycz
105+625
Odra
przed
1945
9,00
3
1,60
żelbetowa
zasuwy stalowe
1996
3,90
22
dolnośląskie
milicki
Milicz
Wróbliniec
Barycz
109+000
Odra
1969
12,00
3
1,60
żelbetowa
zasuwy stalowe
2014/2015
11,40
6
2,79
betonowo-ceglana
zasuwy drewniane
2014/2015
10,50
5
0,93
betonowo-ceglana
zasuwy drewniane
5,90
2
0,97
beton
zasuwy drewniane
23
dolnośląskie
milicki
Milicz
Ruda Milicka
Prądnia
2+560
Barycz
przed
1945
24
dolnośląskie
milicki
Milicz
Grabownica
Prądnia
6+100
Barycz
przed
1945
25
dolnośląskie
milicki
Milicz
Czatkowice
Prądnia
10+380
Barycz
26
dolnośląskie
milicki
Krośnice
Kotlarka
Prądnia
12+150
Barycz
2,90
2
1,60
beton
zasuwy drewniane
27
dolnośląskie
milicki
Krośnice
Kotlarka
Prądnia
13+310
Barycz
1968
3,80
4
1,60
beton
zasuwy drewniane
3,60
4
beton
zasuwy drewniane
przed
1945
przed
1945
1984
28
dolnośląskie
milicki
Krośnice
Żeleźniki
Prądnia
14+700
Barycz
przed
1945
29
dolnośląskie
milicki
Krośnice
Żeleźniki
Prądnia
15+250
Barycz
przed
1945
4,05
3
0,75
beton
zasuwy drewniane
30
dolnośląskie
milicki
Krośnice
Żeleźniki
Prądnia
16+080
Barycz
przed
1945
4,00
4
1,20
beton
zasuwy drewniane
31
dolnośląskie
milicki
Krośnice
Brzostawa
Prądnia
18+430
Barycz
przed
1945
2,85
3
1,06
beton
zasuwy drewniane
32
dolnośląskie
milicki
Krośnice
Brzostawa
Prądnia
19+860
Barycz
przed
1945
4,00
4
1,55
beton
zasuwy stalowe
33
dolnośląskie
milicki
Krośnice
Lędziny
Prądnia
20+930
Barycz
przed
1945
3,00
3
1,88
beton
zasuwy drewniane
34
dolnośląskie
milicki
Krośnice
Grabownica
Prądnia II
0+100
Barycz
3,80
4
1,20
beton
zasuwy drewniane
35
dolnośląskie
milicki
Krośnice
Grabownica
Prądnia II
1+220
Barycz
3,80
4
1,00
beton
zasuwy drewniane
36
dolnośląskie
milicki
Krośnice
Grabownica
Prądnia II
2+130
Barycz
4,00
4
1,20
beton
zasuwy stalowe
37
dolnośląskie
milicki
Krośnice
Grabownica
Prądnia II
3+025
Barycz
3,60
3
1,50
beton
zasuwy drewniane
38
dolnośląskie
milicki
Krośnice
Brzostawa
Prądnia II
3+470
Barycz
3,60
3
1,00
beton
zasuwy stalowe
39
dolnośląskie
milicki
Krośnice
Brzostawa
Prądnia II
4+670
Barycz
3,60
3
1,00
beton
zasuwy stalowe
40
dolnośląskie
milicki
Krośnice
Brzostawa
Prądnia II
5+260
Barycz
3,00
2
1,00
beton
zasuwy drewniane
41
dolnośląskie
milicki
Krośnice
Brzostawa
Prądnia II
5+780
Barycz
3,00
3
1,26
beton
zasuwy drewniane
42
dolnośląskie
milicki
Krośnice
Luboradów
Grabownica
2+940
Barycz
3,80
2
1,20
beton
zasuwy drewniane
3,90
3
beton
zasuwy drewniane
3,00
1
0,97
beton
zasuwy drewniane
przed
1945
przed
1945
przed
1945
przed
1945
przed
1945
przed
1945
przed
1945
przed
1945
1990
przed
1945
przed
1945
43
dolnośląskie
milicki
Krośnice
Grabownica
Grabownica
3+880
Barycz
44
dolnośląskie
milicki
Krośnice
Grabownica
Grabownica
4+390
Barycz
45
dolnośląskie
milicki
Milicz
Potasznia
Rybnica
1+822
Barycz
przed
1945
6,60
4
2,22
ceglano-betonowa
zasuwy drewniane
46
dolnośląskie
milicki
Milicz
Henrykowice
Rybnica
6+866
Barycz
1981
6,00
2
1,80
beton
zasuwy stalowe
47
dolnośląskie
milicki
Milicz
Borzynowo
Rybnica
8+160
Barycz
1981
4,00
2
1,80
beton
zasuwy stalowe
48
dolnośląskie
milicki
Krośnice
Kuźnica Czeszycka
Rybnica
12+477
Barycz
1968
6,00
2
beton
zasuwy drewniane
49
dolnośląskie
milicki
Krośnice
Kuźnica Czeszycka
Rybnica
13+670
Barycz
1974
3,76
4
1,89
beton
zasuwy drewniane
50
dolnośląskie
milicki
Milicz
Wielgie Milickie
Polska Woda
9+832
Barycz
przed
1945
10,44
3
1,11
beton
zasuwy stalowe
2003
51
dolnośląskie
milicki
Milicz
Wielgie Milickie
Polska Woda
12+280
Barycz
przed
1945
52
dolnośląskie
milicki
Milicz
Borzynowo
Kobylarka
0+015
Barycz
53
dolnośląskie
milicki
Krośnice
Stara Huta
Kobylarka
1+145
54
dolnośląskie
milicki
Krośnice
Stara Huta
Kobylarka
55
dolnośląskie
milicki
Krośnice
Stara Huta
Kobylarka
56
dolnośląskie
milicki
Krośnice
Stara Huta
57
dolnośląskie
milicki
Milicz
58
dolnośląskie
milicki
Milicz
59
dolnośląskie
milicki
Milicz
10,00
3
0,96
beton
zasuwy stalowe
1981
2,00
1
1,60
beton
zasuwy stalowe
Barycz
1981
2,00
1
1,60
beton
zasuwy stalowe
2+445
Barycz
1976
1,50
2
1,20
beton
zasuwy stalowe
2+710
Barycz
1981
1,50
2
1,20
beton
zasuwy stalowe
Kobylarka
3+140
Barycz
1981
1,50
2
1,20
beton
zasuwy stalowe
Tworzymirki
Lilików-Gądkowice
2+914
Barycz
1992
3,00
1
1,80
beton
zasuwy stalowe
Tworzymirki
Lilików-Gądkowice
4+000
Barycz
1989
3,00
1
1,80
beton
zasuwy stalowe
Potasznia
Potasznia-Wielgie
1+380
Barycz
1993
2,00
1
beton
zasuwy stalowe
4,80
4
beton
zasuwy drewniane
4,00
4
beton
zasuwy drewniane
4,00
4
beton
zasuwy stalowe
przed
1945
przed
1945
przed
1945
przed
1945
2003
60
dolnośląskie
milicki
Milicz
Gądkowice
Czarny Potok
1+000
Barycz
61
dolnośląskie
milicki
Milicz
Wrocławice
Czarny Potok
1+450
Barycz
62
dolnośląskie
milicki
Milicz
Wrocławice
Czarny Potok
3+420
Barycz
63
dolnośląskie
milicki
Milicz
Kolęda
Czarny Potok
5+400
Barycz
4,10
2
1,40
beton
zasuwy drewniane
64
dolnośląskie
milicki
Milicz
Czatkowice
Struga Czatkowicka
1+000
Barycz
1988
3,00
1
1,45
beton
zasuwy stalowe
65
dolnośląskie
milicki
Milicz
Ruda Sułowska
k. Młynówka SułowskoRadziądzka
19+380
Barycz
1984
7,10
2
1,60
żelbetowa
zasuwa stalowa
66
dolnośląskie
milicki
Milicz
Sułów
k. Młynówka SułowskoRadziądzka
25+320
Barycz
1980
3,00
1
1,60
żelbetowa
zasuwy stalowe
67
dolnośląskie
milicki
Milicz
Milicz
k.Młynówka Milicka
1+014
Barycz
przed
1945
7,30
4
1,10
beton
zasuwy drewniane
68
dolnośląskie
milicki
Milicz
Czatkowice
Struga Czatkowicka
3+050
Barycz
przed
1945
3,00
3
1,01
beton
zasuwy drewniane
69
dolnośląskie
milicki
Krośnice
Brzostawa
Prądnia
17+750
Barycz
przed
1945
2,70
3
1,76
beton
zasuwy drewniane
70
dolnośląskie
milicki
Krośnice
Brzostawa
Prądnia
19+460
Barycz
przed
1945
3,00
3
1,32
beton
zasuwy drewniane
71
dolnośląskie
milicki
Krośnice
Kuźnica Czeszycka
Rybnica
9+602
Barycz
1980
3,0
1
żelbetowa
zasuwy stalowe
72
dolnośląskie
milicki
Krośnice
Kuźnica Czeszycka
Rybnica
10+900
Barycz
1980
3,0
1
żelbetowa
zasuwy stalowe
Żeleźniki
k. Odprowadzalnik Stawu
Nowy
0+110
Barycz
1,8
1
żelbetowa
zasuwy stalowe
3,45
3
ceglana
zasuwy drewniane
6,00
2
1,50
beton
zasuwa
73
74
III
dolnośląskie
dolnośląskie
milicki
Krośnice
milicki
Milicz
Godnowo
Godnowski
1+055
Barycz
2003
przed
1945
1,60
1,02
POWIAT OLEŚNICKI
75
dolnośląskie
oleśnicki
Bierutów
Zbytowa
Widawa
45+875
Odra
1958-60
76
dolnośląskie
oleśnicki
Bierutów
Kruszewice
Widawa
51+425
Odra
przed
1945
8,40
6
1,00
beton
zasuwa
77
dolnośląskie
oleśnicki
Dziadowa Kłoda
Stradomia Dolna
Widawa
95+545
Odra
1968-70
3,00
2
1,00
beton
szandory
78
dolnośląskie
oleśnicki
Oleśnica
Nieciszów
Oleśnica
15+100
Widawa
1997
3,50
1
0,80
beton
szandory
79
dolnośląskie
oleśnicki
Oleśnica
Smardzów
Oleśnica
16+630
Widawa
przed
1945
80
dolnośląskie
oleśnicki
Oleśnica
Oleśnica
Oleśnica
23+220
Widawa
1966-68
81
dolnośląskie
oleśnicki
Oleśnica
Sokołowice
Oleśnica
26+850
Widawa
82
dolnośląskie
oleśnicki
Oleśnica
83
dolnośląskie
oleśnicki
Oleśnica
Brzezinka
Oleśnica
35+650
Widawa
Oleśnica
Kanał O-1
4+400
Widawa
przed
1945
przed
1945
6,00
2
0,50
beton
szandory
6,00
2
1,20
beton
zasuwy
3,00
2
1,50
beton
szandory
3,00
3
1,40
beton
szandory
2,50
1
0,70
beton
zasuwa
1996
3,50
1
0,50
beton
szandory
1984
2,70
1
1,00
beton
zasuwa
1998
2,40
1
1,00
beton
szandory
iglice
2000
1998
1968
przed
1945
przed
1945
przed
1945
84
dolnośląskie
oleśnicki
Oleśnica
Smardzów
Kanał O-2
0+410
Widawa
85
dolnośląskie
oleśnicki
Oleśnica
Sokołowice
Kanał O-3
1+920
Widawa
86
dolnośląskie
oleśnicki
Oleśnica
Brzezinka
Kanał O-6
0+880
Widawa
87
dolnośląskie
oleśnicki
Oleśnica
Krzeczyn
Świerzna
6+870
Widawa
1968-70
3,00
1
1,40
beton
88
dolnośląskie
oleśnicki
Oleśnica
Krzeczyn
Świerzna
5+670
Widawa
1968-70
3,00
1
1,40
beton
iglice
89
dolnośląskie
oleśnicki
Oleśnica
Ligota Mała
Smolna
4+425
Widawa
1972
4,00
1
1,40
beton
zasuwy
90
dolnośląskie
oleśnicki
Dobroszyce
Dobra
Dobra
20+830
Widawa
przed
1945
3,80
3
1.20
beton
szandory
91
dolnośląskie
oleśnicki
Dziadowa Kłoda
Gronowice
Czarna Widawa
3+416
Widawa
1968
92
dolnośląskie
oleśnicki
Syców
Stradomia Wierzchnia
Widawa
97+485
Widawa
2000
14,00
6
3,70
1992/199
3
2x3m
2
1,90
0,8
1996
18,00
1
0,95
1994
2002
2002
6,72
3,00
3,00
2
1
1
1,12
1,10
1,64
1992
20,00
2
2,35
1995
10,00
4
2008
6,82
3
IV
zniszczony, istnieją fragmenty przyczółków
żelbetowa
zasuwowo-przelewowy
stalowy
zasuwy dwudzielne
stalowe z niezależnym
napędem każda
0,95
beton
jaz stały
0
0
0
stalowo-betonowa
żelbetowa
żelbetowa
zasuwy
zasuwa
zasuwa
0
stalowo-betonowa
zasuwy
1,75
beton
zasuwy stalowe
0,70
żelbetowa
zasuwy stalowe
POWIAT OŁAWSKI
93
dolnośląskie
oławski
Oława
obręb Bystrzyca
Smortawa
5+050
Odra
94
dolnośląskie
oławski
Oława
obręb Bystrzyca
Smortawa
9+676
Odra
95
96
97
dolnośląskie
dolnośląskie
dolnośląskie
oławski
oławski
oławski
Jelcz-Laskowice
Jelcz-Laskowice
Jelcz-Laskowice
obręb Jelcz-Laskowice
obręb Jelcz-Laskowice
obręb Jelcz-Laskowice
Młynówka Jelecka
Gnojna
Młynówka Jelecka
4+766
5+232
9+660
Odra
Odra
Odra
oławski
Jelcz-Laskowice
obręb Jelcz-Laskowice
polder Oława- Lipki
- Odra
207+700
Odra
25.11.199
6
1982
2002
2002
ŚLUZA POLDEROWA
98
V
dolnośląskie
przed
1945r.
POWIAT STRZELIŃSKI
przed
1945
przed
1945
99
dolnośląskie
strzeliński
Strzelin
Strzelin
Oława
60+918
Odra
100
dolnośląskie
strzeliński
Wiązów
Witowice
Oława
43+740
Odra
101
dolnośląskie
strzeliński
Wiązów
Wiązów
Oława
46+904
Odra
1985
8,00
2
1,28
0,1
żelbetowa
102
dolnośląskie
strzeliński
Wiązów
Zborowice
Oława
49+852
Odra
1989
8,00
2
2,66
1,06
żelbetowa
103
dolnośląskie
strzeliński
Strzelin
Krzepice
Oława
55+482
Odra
1997
8,00
1
0,80
104
dolnośląskie
strzeliński
Strzelin
Strzelin
Oława
61+514
Odra
1976
8,00
2
1,60
105
dolnośląskie
strzeliński
Strzelin
Gębice
Młynówka Gębicka
2+420
Oława
106
dolnośląskie
strzeliński
Strzelin
Głęboka Śl.
Krynka
2+830
Oława
107
dolnośląskie
strzeliński
Strzelin
Żeleźnik
Krynka
8+420
Oława
108
dolnośląskie
strzeliński
Przeworno
Przeworno
Krynka
12+400
Oława
109
dolnośląskie
strzeliński
Przeworno
Przeworno
Krynka
16+158
Oława
1993
przed
1945
przed
1945
przed
1945
przed
1945
zasuwy stalowe
dwudzielne
zasuwy stalowe
dwudzielne
betonowa
jaz stały
0,3
żelbetowa
zasuwy stalowe
2,00
1
2,00
0,3
żelbetowa
zasuwy stalowe
1993
2,20
3
1,57
0,6
żelbetowa
zasuwy stalowe
1994
4,50
1
0,60
0,6
żelbetowa
szandorowy
3,00
1
0,95
0,3
kamienno, betonowa
szandorowy
3,00
1
1,45
0,8
kamienno, betonowa
szandorowy
110
VI
dolnośląskie
strzeliński
Strzelin
Ludów Śl.
Ślęza Mała
10+680
Ślęza
2000
6,50
1
1,60
żelbetowa
iglicowy
POWIAT ŚREDZKI
zasuwy dwudzielne o
wys. piętrzenia
h-1,60 m, typ IZD 3.1.6
zasuwowe
typ J.4-1.2
111
dolnośląskie
średzki
Środa Śląska
Zakrzów
Jeziorka
3+809
Odra
1995
3,0 m
1
1,60
żelbetowa
112
dolnośląskie
średzki
Malczyce
Chomiąża
Średzka Woda
2+900
Odra
1983
2 x 4,0 m
2
0,80
żelbetowa
dolnośląskie
średzki
Środa Śląska
Szczepanów
Nowy Rów
3+486
Odra
1994
3,0m
1
1,60
żelbetowa
zamknięcia szndorowe
113
VII
POWIAT TRZEBNICKI
114
dolnośląskie
trzebnicki
Żmigród
Kędzie
Barycz
49+980
Odra
1970
2014/2015
7
1
1,45
betonowa
zasuwa metalowa
115
dolnośląskie
trzebnicki
Żmigród
Bychowo
Barycz
53+710
Odra
1969
2014/2015
8,0
7
1,30
betonowa
zasuwa metalowa
2014/2015
7,0
1
1,20
betonowa
zasuwa metalowa
8,0
2
1,20
betonowa
zasuwy drewn.
16,9
3
2,10
drewniana
zasuwy drewn.
4,8
3
1,6
betonowa
zasuwa metalowa
4,0
3
1,20
betonowa
zasuwa metalowa
116
dolnośląskie
trzebnicki
Żmigród
Żmigródek
Barycz
57+360
Odra
117
dolnośląskie
trzebnicki
Żmigród
Osiek
Barycz
63+085
Odra
przed
1945
przed
1945
Barycz
70+395
Odra
przed
1945
Chodlewo
k. Stawnik
0+012
Barycz
1985
Korzeńsko
k. Młynówka Sułowsko
-Radziądzka
0+020
Barycz
1945
Borek
k. Młynówka Sułowsko
-Radziądzka
5+112
Barycz
1945
4,0
3
1,20
betonowa
zasuwy drewn.
Żmigród
Radziądz
k. Młynówka Sułowsko
-Radziądzka
8+524
Barycz
1964
2,0
2
1,20
betonowa
zasuwy drewn.
trzebnicki
Żmigród
Radziądz
k. Młynówka Sułowsko
-Radziądzka
11+140
Barycz
1964
3,0
3
1,20
betonowa
zasuwy drewn.
dolnośląskie
trzebnicki
Żmigród
Niezgoda
k. Młynówka Sułowsko
-Radziądzka
12+239
Barycz
1964
4,0
2
1,20
betonowa
zasuwy drewn.
125
dolnośląskie
trzebnicki
Żmigród
Niezgoda
k. Młynówka Sułowsko
-Radziądzka
14+036
Barycz
1964
4,0
2
1,20
betonowa
zasuwy drewn.
126
dolnośląskie
trzebnicki
Żmigród
Niezgoda
k. Młynówka Sułowsko
-Radziądzka
15+916
Barycz
1967
4,0
4
1,10
betonowa
zasuwy drewn.
127
dolnośląskie
trzebnicki
Żmigród
Gatka,Żmigród
Wilczyna
3+225
Barycz
1971
3,0
3
1,20
betonowa
zasuwy drewn.
128
dolnośląskie
trzebnicki
Żmigród
Sanie
Poręba
3+544
Barycz
1972
2,3
2
1,40
betonowa
zasuwy drewn.
129
dolnośląskie
trzebnicki
Żmigród
Osiek
k. Sowina
9+200
Barycz
1973
2,0
2
2,00
betonowa
zasuwa metalowa
130
dolnośląskie
trzebnicki
Żmigród
Ruda Żmigrodzka
k. Ługa
2+264
Barycz
1996
2
2
1,40
betonowa
zasuwa metalowa
131
dolnośląskie
trzebnicki
Żmigród
Niezgoda
k. Ługa
4+760
Barycz
1945
6,2
5
1,40
betonowa
zasuwy drewn.
132
dolnośląskie
trzebnicki
Żmigród
Żmigród
Sąsiecznica
2+548
Barycz
1945
6,0
1
1,20
betonowa
zasuwa metalowa
133
dolnośląskie
trzebnicki
Żmigród
Kaszyce Mil
Sąsiecznica
12+317
Barycz
1955
6
3
1,45
betonowa
zasuwy drewn.
134
dolnośląskie
trzebnicki
Trzebnica
Domanowice
Sąsiecznica
13+715
Barycz
1985
5,55
4
1,00
betonowa
szandory
118
dolnośląskie
trzebnicki
Żmigród
119
dolnośląskie
trzebnicki
Żmigród
120
dolnośląskie
trzebnicki
Żmigród
121
dolnośląskie
trzebnicki
Żmigród
122
dolnośląskie
trzebnicki
123
dolnośląskie
124
Książęca Wieś
2014/2015
2014/2015
135
dolnośląskie
trzebnicki
Trzebnica
Domanowice
Sąsiecznica
15+602
Barycz
1968
7,5
3
2,00
betonowa
zasuwy drewn.
136
dolnośląskie
trzebnicki
Trzebnica
Domanowice
Sąsiecznica
16+401
Barycz
1982
7,5
3
1,60
betonowa
zasuwy drewn.
137
dolnośląskie
trzebnicki
Trzebnica
Masłowiec
Sąsiecznica
23+076
Barycz
1985
4,0
1
2,00
betonowa
klapa met.
2,75
2
1,00
betonowa
zasuwy drewn.
2,5
1
0,8+próg 0,7
betonowa
szandory
przed
1945
przed
1945
138
dolnośląskie
trzebnicki
Trzebnica
Kuźniczysko
Sąsiecznica
25+940
Barycz
139
dolnośląskie
trzebnicki
Trzebnica
Kuźniczysko
Sąsiecznica
28+272
Barycz
140
dolnośląskie
trzebnicki
Zawonia
Czeszów
Sąsiecznica
31+163
Barycz
1984
2,4
2
2,00
betonowa
zasuwa metalowa
141
dolnośląskie
trzebnicki
Zawonia
Czeszów
Sąsiecznica
33+120
Barycz
1987
3
2
1,20
betonowa
zasuwa metalowa
142
dolnośląskie
trzebnicki
Trzebnica
Domanowice
Głęboki Rów
2+025
Barycz
1982
8,4
2
1,30
betonowa
zasuwy drewn.
143
dolnośląskie
trzebnicki
Trzebnica
Domanowice
Głęboki Rów
2+791
Barycz
1982
12,5
5
1,20
betonowa
zasuwy drewn.
144
dolnośląskie
trzebnicki
Trzebnica
Domanowice
Głęboki Rów
3+260
Barycz
1984
4,6
3
1,20
betonowa
zasuwa metalowa
145
dolnośląskie
trzebnicki
Trzebnica
Koczurki
Głęboki Rów
8+078
Barycz
1982
3,4
2
1,50
betonowa
szandory
betonowa
zasuwy drewn.
betonowa
brusy drew.
brusy drew.
przed
1945
przed
1945
przed
1945
przed
1945
146
dolnośląskie
trzebnicki
Trzebnica
Koczurki
Głęboki Rów
9+845
Barycz
147
dolnośląskie
trzebnicki
Trzebnica
Budczyce
Głęboki Rów
14+854
Barycz
148
dolnośląskie
trzebnicki
Trzebnica
Budczyce
Głęboki Rów
15+294
Barycz
149
dolnośląskie
trzebnicki
Trzebnica
Budczyce
Głęboki Rów
16+186
Barycz
150
dolnośląskie
trzebnicki
Oborniki Śl.
Lubnów
Młynówka
5+080
Odry
1984
151
dolnośląskie
trzebnicki
Oborniki Śl.
Zajączków
Ława
4+520
Odry
152
dolnośląskie
trzebnicki
Wisznia Mała
Wisznia Mała
Ława
12+620
153
dolnośląskie
trzebnicki
Wisznia Mała
Pierwoszów
Ława
15+100
154
dolnośląskie
trzebnicki
Wisznia Mała
Pierwoszów
Ława
155
dolnośląskie
trzebnicki
Prusice
Pększyn
156
dolnośląskie
trzebnicki
Trzebnica
Ujeździec Mały
157
dolnośląskie
trzebnicki
Trzebnica
Skoroszów
158
dolnośląskie
trzebnicki
Trzebnica
159
dolnośląskie
trzebnicki
Trzebnica
1998
2,3
2
1,80
1997
3,3
1
2,5próg +0,9
1997
2,4
1
1,40
betonowa
2,2
1
0,80
betonowa
szandory
2,2
1
2,00
betonowa
próg jaz stały
1984
2,5
1
1,4
betonowa
brusy drew.
Odry
1945
2,7
3
1,6
betonowa
zasuwa drewn.
Odry
1984
3
1
2
betonowa
brusy drew.
15+850
Odry
1984
1,2
1
0,9
betonowa
szandory
Krępa
11+850
Barycz
1984
1,25
1
1,50
betonowa
zasuwa metalowa
Brzeźnica
9+243
Barycz
1984
2,8
2
1,40
betonowa
szandory
Brzeźnica
18+100
Barycz
1972
1,5
1
1,00
betonowa
szandory
Ujeździec Wlk.
Jesionka
1+400
Barycz
1971
1,5
1
1,50
betonowa
szandory
Ujeździec Wlk.
Jesionka
5+492
Barycz
1971
1,5
1
1,20
betonowa
szandory
1,1
1
0,50
betonowa
zasuwa metalowa
zastawka, przy
zaporze
1,4próg
+0,4
próg1,6
+0,8
2,0próg
+0,6
próg0,9
+0,7
2,5
160
dolnośląskie
trzebnicki
Trzebnica
Brzezie
Jesionka
7+170
Barycz
przed
1945
161
dolnośląskie
trzebnicki
Trzebnica
Masłów
Mleczna
4+416
Barycz
1985
1,45
1
0,80
betonowa
162
dolnośląskie
trzebnicki
Trzebnica
Masłów
Mleczna
4+980
Barycz
1984
1,4
1
0,80
betonowa
163
dolnośląskie
trzebnicki
Trzebnica
Sędzice
Mleczna
8+643
Barycz
164
dolnośląskie
trzebnicki
Trzebnica
Sędzice
Mleczna
8+904
165
dolnośląskie
trzebnicki
Trzebnica
Sędzice
Mleczna
9+200
VIII
166
1995
1984
1,5
1
0,80
betonowa
Barycz
1984
2,5
1
1,00
betonowa
Barycz
lata 70te
1,5
1
0,80
betonowa
zast. typu ZZ4
zast. typu Z-4-4,
zasuwa metalowa
jaz przy
moście,drewniane
zast. typu Z-4-4,
zasuwa metalowa
POWIAT WOŁOWSKI
dolnośląskie
wołowski
Wołów
Bożeń
Jezierzyca
22+180
Odra
1971
1990
3,0
1
1,80
1,1
dokowa, żelbetowa
stalowe zasuwy
dwudzielne z
mechanizmem, prawy i
lewy zawieszone na
łańcuchach typ GALA
167
168
dolnośląskie
dolnośląskie
wołowski
wołowski
Wołów
Wołów
Wołów
Orzeszków
Juszka
Rów Stawowy
12+700
0+066
Odra
Odra
1967
1970
169
dolnośląskie
wołowski
Wołów
Orzeszków
Rów Stawowy
1+870
Odra
170
dolnośląskie
wołowski
Wołów
Orzeszków
Rów Stawowy
2+750
171
dolnośląskie
wołowski
Wołów
Orzeszków
Rów Stawowy
172
dolnośląskie
wołowski
Wołów
Orzeszków
173
dolnośląskie
wołowski
Wołów
IX
1,6
2,2
1
1
1,20
1,20
0,8
1,0
żelbetowa
żelbetowa
szandorowe
szandorowe
1991
2,0
1
1,60
1,4
żelbetowa
zasuwowe dwudzielne
z mechanizmem
wyciągowym
Odra
1991
2x1,5
2
1,60
1,4
żelbetowa
zasuwowe dwudzielne
z mechanizmem
wyciągowym
3+260
Odra
1987
2,0
1
1,60
1,4
most o konstrukcji żelbetowej z piętrzeniem
zasuwowe dwudzielne
z mechanizmem
wyciągowym
Rów Stawowy
4+130
Odra
1991
2x1,5
2
1,60
1,4
żelbetowa
zasuwowe dwudzielne
z mechanizmem
wyciągowym
Orzeszków
Rów Stawowy
4+510
Odra
1987
2,0
1
1,80
1,4
most o konstrukcji żelbetowej z piętrzeniem
zasuwowe dwudzielne
z mechanizmem
wyciągowym
Krobielowice
Czarna Woda
0+456
Bystrzyca
1986
POWIAT WROCŁAWSKI
174
dolnośląskie
wrocławski
Kąty Wrocławskie
9,1
175
dolnośląskie
wrocławski
Kąty Wrocławskie
Krobielowice
Czarna Woda
3+160
Bystrzyca
176
dolnośląskie
wrocławski
Sobótka
Siedlakowice
Czarna Woda
8+110
Bystrzyca
3 x 2,5
177
dolnośląskie
wrocławski
Sobótka
Garncarsko
Czarna Woda
26+723
Bystrzyca
-
178
dolnośląskie
wrocławski
Sobótka
Księginice Małe
Potok Sulistrowicki
8+340
Bystrzyca
179
dolnośląskie
wrocławski
Czernica
Dobrzykowice
Przerowa
0+010
Widawa
180
dolnośląskie
wrocławski
Czernica
Dobrzykowice
Przerowa
2+470
Widawa
181
dolnośląskie
wrocławski
Kąty Wrocławskie
Czereńczyce
Młynówka Proszkowicka
1+475
182
dolnośląskie
wrocławski
Kąty Wrocławskie
Skałka
Bystrzyca
19+982
183
dolnośląskie
wrocławski
Wrocław
os. Pilczyce
Ślęza
184
185
dolnośląskie
dolnośląskie
wrocławski
wrocławski
Wrocław
Wrocław
os. Kuźniki
os. Nowy Dwór
Ślęza
Ślęza
186
dolnośląskie
wrocławski
Wrocław
os. Muchobór Wielki
187
dolnośląskie
wrocławski
Wrocław
os. Grabiszyn
188
dolnośląskie
wrocławski
Wrocław
189
dolnośląskie
wrocławski
190
dolnośląskie
wrocławski
191
dolnośląskie
wrocławski
Żórawina
192
dolnośląskie
wrocławski
193
dolnośląskie
wrocławski
194
dolnośląskie
195
196
197
2014/2015
2004
beton
7,7
1,40
3
2,00
beton
zasuwa
beton
8
1
3,95
1
3
1
Bystrzyca
3x1,7
3
Odra
15,47
3
2,16
3+014
Odra
8
1
1,70
4+790
7+103
Odra
Odra
1
2
Ślęza
9+180
Odra
Ślęza
9+960
Odra
os. Oporów
Ślęza
12+040
Odra
Wrocław
os. Partynice
Ślęza
15+150
Odra
Żórawina
obr. Karwiany Komorowice
Ślęza
19+220
Odra
10,5
obr. Rzeplin
Ślęza
22+210
Odra
Żórawina
obr. Galowice
Ślęza
25+770
Żórawina
obr. Pasterzyce
Ślęza
30+420
wrocławski
Żórawina
obr. Marcinkowice
Ślęza
33+900
Odra
dolnośląskie
wrocławski
Jordanów Śląski
Jordanów Śląski
Ślęza
48+028
Ślęza
dolnośląskie
wrocławski
Wrocław
Wrocław Zachodni
Kasina
3+620
Ślęza
dolnośląskie
wrocławski
Kąty Wrocławskie
Mokronos Dolny
Kasina
5+200
Ślęza
2014/2015
kamienny
0,4
1,00
2,00
beton
szandory
beton
szandory
beton
szandory
beton
szandory
beton
zasuwy drewniane
żelbetowa
klapy
żelbetowa
żelbetowa
iglica
zasuwa
3
żelbetowa
szandory
1
żelbetowa
szandory
4
żelbetowa
zasuwa
1
żelbetowa
szandory
1
żelbetowa
szandory
11
1
żelbetowa
szandory
Odra
11
1
żelbetowa
szandory
Odra
11
1
żelbetowa
4
żelbetowa
szandory
26,5
2x4,0
2
1,60
1
3
1
1,60
1,1
beton
zasuwa
żelbetowa
zasuwa
beton
zasuwa
198
dolnośląskie
wrocławski
Wrocław
obręb Świniary
Widawa
6+664
Odra
199
dolnośląskie
wrocławski
Wrocław
obręb Sołtysowice
Widawa
15+830
Odra
200
dolnośląskie
wrocławski
Długołęka
obręb Śliwice
25+635
Odra
Widawa
1991 r.
przed
1945 r.
14
3
2,50
2,2
11,85
lata
60-te
beton
zasuwa
beton
brak
beton
zasuwa
11,5
4
1,50
8,35
4
1,50
żelbetowa
szandory
4
1
1,50
0,5
beton
szandory
201
dolnośląskie
wrocławski
Długołęka
obręb Brzezia Łąka
Widawa
31+235
Odra
202
dolnośląskie
wrocławski
Długołęka
Domaszczyn
Dobra
7+100
Widawa
203
dolnośląskie
wrocławski
Długołęka
Szczodre
Dobra
9+750
Widawa
4
2
1,80
0,85
beton
zasuwa
204
dolnośląskie
wrocławski
Długołęka
Szczodre
Dobra
11+700
Widawa
3,2
1
2,50
1,00
beton
szandory
3
1
1,20
beton
zasuwa
2,5
2
1,50
beton
szandory
3x10
3
beton
4x13,75
4
żelbetowa
205
dolnośląskie
wrocławski
Długołęka
Kątna
Oleśnica
7+265
Widawa
206
dolnośląskie
wrocławski
Długołęka
Raków
Oleśnica
13+131
Widawa
237+700
Odra
237+500
Odra
2014/2015
0,55
ŚLUZY POLDEROWE
polder BlizanowiceTrestno (śluza nr 2)
polder Oławka
(śluza nr 1)
przed
1945
przed
1945
207
dolnośląskie
wrocławski
Św. Katarzyna
Siechnice
208
dolnośląskie
wrocławski
Św. Katarzyna
Siechnice
Ząbkowice
Śląskie
Ziębice
Ziębice
Oława
82+640
Oława
1973
6,0
1,0
1,9
25
5
1,2
beton
14
3
1,5
kamienno -betonowy
4,2
2
1,5
beton
1,5
beton
2000
zamknięcia
segmentowe stalowe
zamknięcia
segmentowe stalowe
ODDZIAŁ ŚWIDNICA-POWIAT ZĄBKOWICKI
209
dolnośląskie
0,7
przyczółki żelbetowe
klapa stalowa
ODDZIAŁ LEGNICA
210
dolnośląskie
legnicki
Prochowice
Lisowice
K. Bobrek
5+655
Odra
1997
211
dolnośląskie
legnicki
Prochowice
Lisowice
K. Bobrek
8+148
Odra
p.1945
212
dolnośląskie
legnicki
Prochowice
Rogów
Cicha Woda
5+500
Odra
1966
1997
213
dolnośląskie
legnicki
Legnica
Legnica
Czarna Woda
2+230
Kaczawa
1996
6
2
214
dolnośląskie
legnicki
Miłkowice
Grzymalin
Czarna Woda
14+678
Kaczawa
1970
5,1
3
215
dolnośląskie
legnicki
Chojnów
Rokitki
Czarna Woda
31+745
Kaczawa
bd
216
dolnośląskie
legnicki
Chojnów
Rokitki
Czarna Woda
33+745
Kaczawa
bd
Czarna Woda
35+125
Kaczawa
1970
6
2
1+850
Czarna Woda
p1945
3
1
217
218
dolnośląskie
219
220
beton
beton
2,16
legnicki
Miłkowice
Jakuszów
Lubiatówka
dolnośląskie
legnicki
Miłkowice
Gniewomierowice
Lubiatówka
5+795
Czarna Woda
p1945
3
1
dolnośląskie
złotoryjski
Złotoryja
Gierałtowiec
Lubiatówka
15+050
Czarna Woda
1996
6
1
221
dolnośląskie
legnicki
Chojnów
Rokitki
Brenna
3+600
Czarna Woda
1980
4
1
222
dolnośląskie
legnicki
Chojnów
Nidźwiedzice
Skora
4+130
Czarna Woda
p.1945
8
1
1,2
223
dolnośląskie
legnicki
Chojnów
Nidźwiedzice
Skora
5+750
Czarna Woda
p1945
31
1
1,2
224
dolnośląskie
legnicki
Chojnów
Goliszów
Skora
7+200
Czarna Woda
1993
41
1
225
dolnośląskie
legnicki
Chojnów
Goliszów
Skora
8+000
Czarna Woda
1962
22
1
226
dolnośląskie
legnicki
Chojnów
Chojnów
Skora
10+100
Czarna Woda
1966
30
227
dolnośląskie
legnicki
Chojnów
Kondratówka
Skora
12+800
Czarna Woda
p.1945
228
dolnośląskie
legnicki
Chojnów
Kondratówka
Skora
15+900
Czarna Woda
p.1945
229
dolnośląskie
złotoryjski
Zagrodno
Wojcieszów
Skora
17+800
Czarna Woda
p.1945
1978
zasuwy,wyciąg
drabinkowy
zasuwy,wyciąg
drabinkowy
zasuwy,wyciąg
drabinkowy
zasuwy,wyciąg
drabinkowy
zasuwy,wyciąg
drabinkowy
brak
beton
brak
beton
zasuwy,wyciąg
drabinkowy
beton
brak
beton
brak
beton
Jaz stały
beton
zasuwy,wyciąg
drabinkowy
1,2
beton
Jaz stały
1,2
beton
Jaz stały
2
2
beton
Jaz stały
2
2
beton
Jaz stały
1
2,5
2,5
beton
Jaz stały
28
1
2,5
2,5
beton
Jaz stały
8
1
1,2
1,2
beton
Jaz stały
8
1
1,2
1,2
beton
Jaz stały
1,85
230
dolnośląskie
złotoryjski
Zagrodno
Modlikowice
Skora
23+040
Czarna Woda
1991
231
dolnośląskie
złotoryjski
Zagrodno
Zagrodno
Skora
26+100
Czarna Woda
1960
232
dolnośląskie
złotoryjski
Zagrodno
Zagrodno
Skora
28+500
Czarna Woda
p.1945
1996
1994
21,5
1
1,2
1,2
beton
Jaz stały
21,5
1
1,2
1,2
beton
Jaz stały
21
1
1,2
1,2
beton
Jaz stały
20
1
1,2
1,2
beton
Jaz stały
20
1
1,2
1,2
beton
Jaz stały
0,8
0,8
beton
Jaz stały
Jaz stały
233
dolnośląskie
złotoryjski
Zagrodno
Uniejowice
Skora
32+200
Czarna Woda
p1945
234
dolnośląskie
złotoryjski
Pielgrzymka
Pielgrzymka
Skora
34+400
Czarna Woda
p1945
235
dolnośląskie
złotoryjski
Pielgrzymka
Pielgrzymka
Skora
43+110
Czarna Woda
p1945
10
1
236
dolnośląskie
złotoryjski
Pielgrzymka
Pielgrzymka
Skora
45+250
Czarna Woda
p1945
10
1
1
1
beton
237
dolnośląskie
złotoryjski
Pielgrzymka
Pielgrzymka
Skora
47+050
Czarna Woda
p1945
7
1
1,2
1,2
beton
Jaz stały
1,5
beton
zasuwy,wyciąg
drabinkowy
238
dolnośląskie
złotoryjski
Zagrodno
Modlikowice
Zimnik
3+295
Skora
239
dolnośląskie
złotoryjski
240
dolnośląskie
złotoryjski
241
dolnośląskie
złotoryjski
1987
Świerzawa
Dobków
Bukownica
3+800
Kaczawa
Świerzawa
Sokołowiec
Czermnica
9+150
Skora
Świerzawa
Świerzawa
Świerzawka
0+350
Kaczawa
1972
1979
4
2
p1945
6
1
1
1
Kamienny
Jaz stały
p.1945
12,2
1
1,8
1,8
Kamienny
Jaz stały
3,5
1
1,2
1,2
Kamienny
242
dolnośląskie
polkowicki
Chocianów
Chocianów
Chocianowska Woda
3+180
Szprotawa
1975
2,9
1
243
dolnośląskie
polkowicki
Chocianów
Chocianów
Chocianowska Woda
4+905
Szprotawa
1975
2,9
1
244
dolnośląskie
polkowicki
Chocianów
Parchów
Szprotawa
39+77
Bóbr
1979
1,5
Jaz stały
Zasuwy,wyciąg
drabinkowy
Zasuwy,wyciąg
drabinkowy
beton
brak
245
dolnośląskie
polkowicki
Chocianów
Jabłonów
Szprotawa
38+07
Bóbr
1979
9
3
beton
brak
246
dolnośląskie
polkowicki
Przemków
Łężyce
Szprotawa
22+272
Bóbr
p.1945
7,9
1
2,78
beton
Zasuwy,wyciąg
drabinkowy
247
dolnośląskie
polkowicki
Radwanice
Strogoborzyce
Szprotawa
32+727
Bóbr
1965
6
3
1
beton
brak
248
dolnośląskie
polkowicki
Radwanice
Nowa Kuźnia
Szprotawa
34+197
Bóbr
1964
6
3
1,7
beton
brak
249
dolnośląskie
polkowicki
Polkowice
Żuków
Moskorzynka
7+600
Rudna
1968
2,6
2
beton
szandory-brak
250
dolnośląskie
polkowicki
Polkowice
Guzice
Moskorzynka
8+960
Rudna
1968
2,6
2
beton
szandory-brak
251
dolnośląskie
polkowicki
Polkowice
Komorniki
Żdżerowita
0+620
Moskorzynka
1968
2,6
2
ceglano-betonowy
szandory-brak
252
dolnośląskie
lubiński
Lubin
Niemstów
Niemstowski Potok
3+470
Zimnica
1963
2,2
2
beton
szandory-brak
253
dolnośląskie
legnicki
Legnickie Pole
Mikołajowice
Wierzbiak
21+930
Kaczawa
p.1945
3,6
1
1
1
beton
254
dolnośląskie
jaworski
Wądroże Wielkie
Mierczyce
Wierzbiak
26+210
Kaczawa
1970
4,5
3
2,1
2,1
beton
255
dolnośląskie
jaworski
Wądroże Wielkie
Skała
Wierzbiak
29+600
Kaczawa
p.1945
5,6
1
1,2
256
dolnośląskie
jaworski
Mściwojów
Luboradz
Wierzbiak
32+900
Kaczawa
p.1945
7,8
1
1,7
257
dolnośląskie
głogowski
Kotla
Kotla
Krzycki -Rów
26+196
Odra
1968
6
3
1,64
1,64
beton
brak
258
dolnośląskie
głogowski
Kotla
Głogówko
Krzycki -Rów
29+970
Odra
1969
5,12
2
1,75
1,75
beton
brak
259
dolnośląskie
polkowicki
Grębocice
Proszówek
Rudna
14+261
Odra
1974
3,5
1
1,4
1,4
beton
kamień beton
kamień-beton
260
dolnośląskie
głogowski
Głogów
Przedmość
Rudna
6+303
Odra
1972
6,7
3
1,4
1,4
beton
261
dolnośląskie
głogowski
Głogów
Przedmość
Rudna
8+458
Odra
1973
6,1
3
1,52
1,42
beton
262
dolnośląskie
głogowski
Głogów
Przedmość
Południowy
0+175
Rudna
1969
6
3
1,7
1,7
beton
263
dolnośląskie
głogowski
Pęcław
Białołęka
Południowy
2+380
Rudna
1969
4,5
1
1,5
1,5
beton
Jaz stały
zasuwy,wyciąg
drabinkowy
jaz pólstały,szandorów
brak
jaz pólstały,szandorów
brak
brak
zasuwy,wyciąg
drabinkowy
zasuwy,wyciąg
drabinkowy
zasuwy,wyciąg
drabinkowy
brak
264
dolnośląskie
głogowski
Pęcław
Turów
Południowy
5+094
Rudna
1970
4
1
2,1
2,1
beton
brak
265
dolnośląskie
głogowski
Pęcław
Wierzchownia
Południowy
7+294
Rudna
1970
4
1
2,11
2,11
beton
brak
266
dolnośląskie
głogowski
Pęcław
Piersna
Południowy
9+215
Rudna
1971
4
1
2,47
2,47
beton
brak
267
dolnośląskie
głogowski
Pęcław
Leszkowice
Południowy
13+165
Rudna
p.1945
3
2
1,4
1,4
beton
brak
268
dolnośląskie
polkowicki
Gaworzyce
Kozielice
Północny
9+930
Szprotawa
1968
6
2
1,65
1,65
beton
brak
269
kamiennogórski
Kamienna Góra
Ogorzelec
Świdnik
10+355
270
lwówecki
Mirsk
Giebułtów
Czerniawa
0+108
5,4
2
0,7
beton
ODDZIAŁ LWÓWEK ŚL.
kamienno-betonowy
szandory drewniane
271
lubański
Siekierczyn
Zaręba
Siekierka
4+630
12
2
1,6
beton - cegła
272
bolesławiecki
Bolesławiec
Dąbrowa
Bobrzyca
1+775
6
1
1.5
betonowy
273
bolesławiecki
Warta Bolesławiecka
Lubków
Bobrzyca
16+680
6.1
2
2
żel-betonowy
brak zamknięć
brak zamknięć
(wyciągowych)
274
bolesławiecki
Nowogrodziec
Nowogrodziec
Iwnica
0+555
zniszczony
żel-betonowy
brak - do odbudowy
275
bolesławiecki
Gromadka
Gromadka
Siekierna
1+415
3
1
1.5
kamienno-betonowy
klapa mat.-wyciąg.
276
bolesławiecki
Gromadka
Gromadka
Siekierna
2+645
3
1
1.2
kamienno-betonowy
klapa mat.-wyciąg.
Wrocław, 12.08.2015 r.