Warunki i Cennik Dostaw

Transkrypt

Warunki i Cennik Dostaw
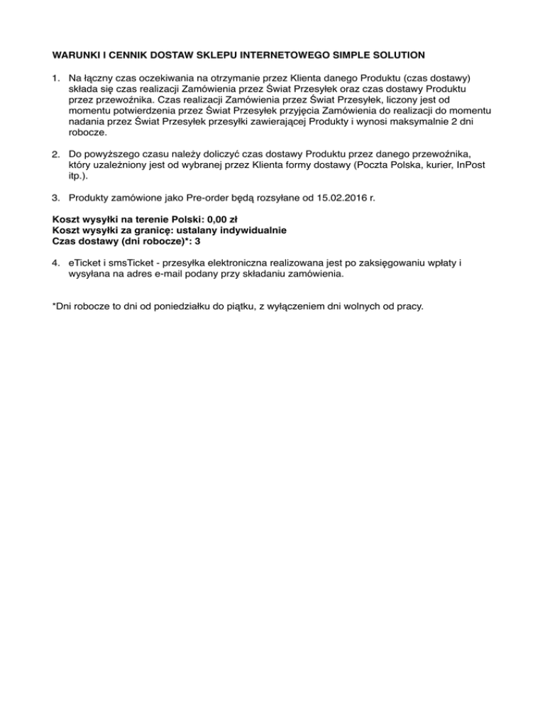
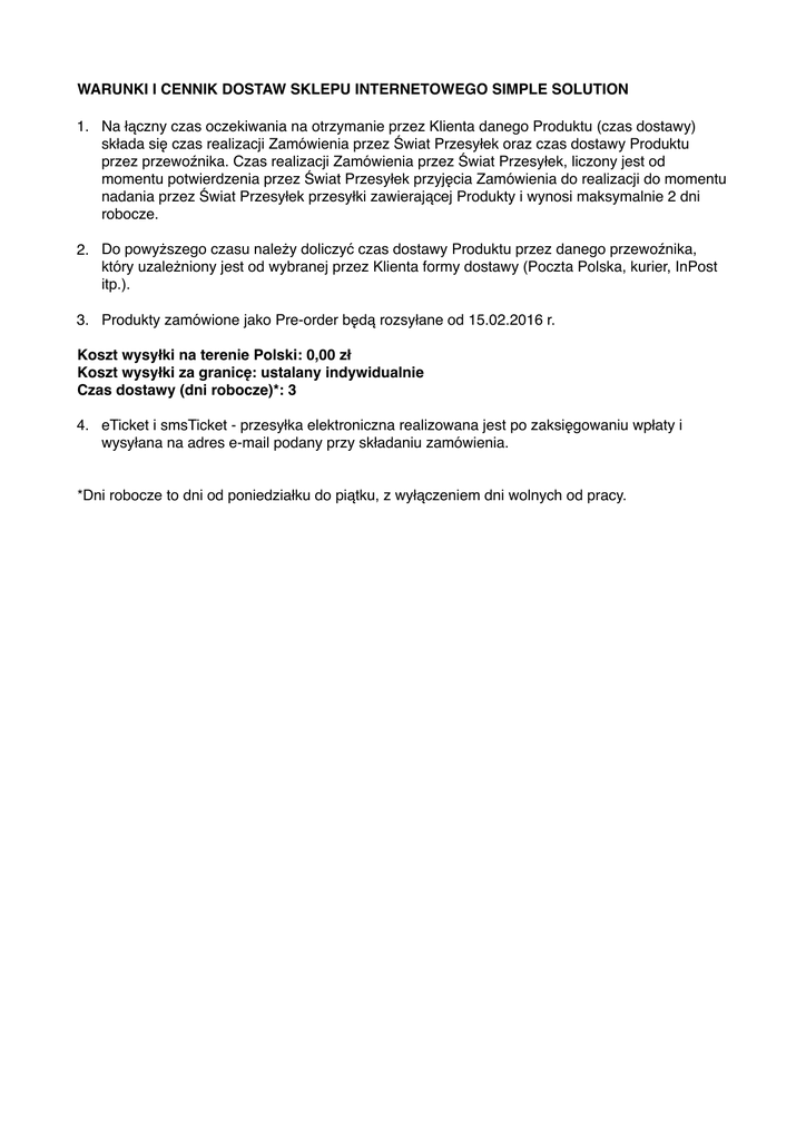
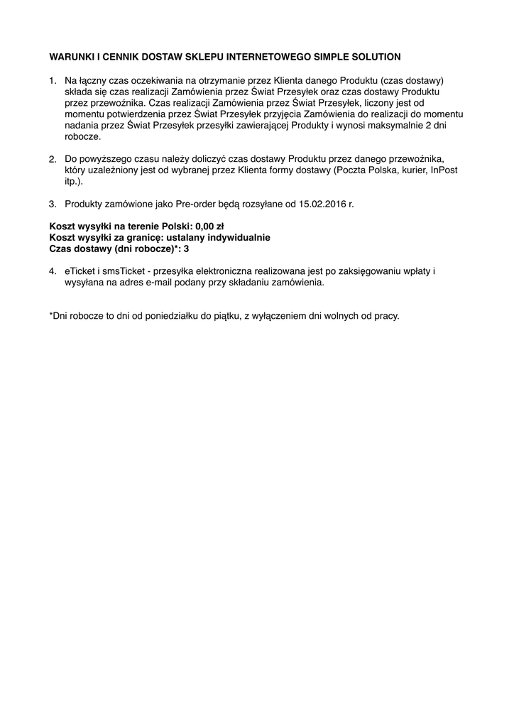
WARUNKI I CENNIK DOSTAW SKLEPU INTERNETOWEGO SIMPLE SOLUTION
1. Na łączny czas oczekiwania na otrzymanie przez Klienta danego Produktu (czas dostawy)
składa się czas realizacji Zamówienia przez Świat Przesyłek oraz czas dostawy Produktu
przez przewoźnika. Czas realizacji Zamówienia przez Świat Przesyłek, liczony jest od
momentu potwierdzenia przez Świat Przesyłek przyjęcia Zamówienia do realizacji do momentu
nadania przez Świat Przesyłek przesyłki zawierającej Produkty i wynosi maksymalnie 2 dni
robocze.
2. Do powyższego czasu należy doliczyć czas dostawy Produktu przez danego przewoźnika,
który uzależniony jest od wybranej przez Klienta formy dostawy (Poczta Polska, kurier, InPost
itp.).
3. Produkty zamówione jako Pre-order będą rozsyłane od 15.02.2016 r.
Koszt wysyłki na terenie Polski: 0,00 zł
Koszt wysyłki za granicę: ustalany indywidualnie
Czas dostawy (dni robocze)*: 3
4. eTicket i smsTicket - przesyłka elektroniczna realizowana jest po zaksięgowaniu wpłaty i
wysyłana na adres e-mail podany przy składaniu zamówienia.
*Dni robocze to dni od poniedziałku do piątku, z wyłączeniem dni wolnych od pracy.