knynx k N kR

Transkrypt

knynx k N kR
Tematy do zajęć nr 2 07.03.2011
I
Funkcja korelacji i autokorelacji (dla sygnałów o ograniczonej energii):
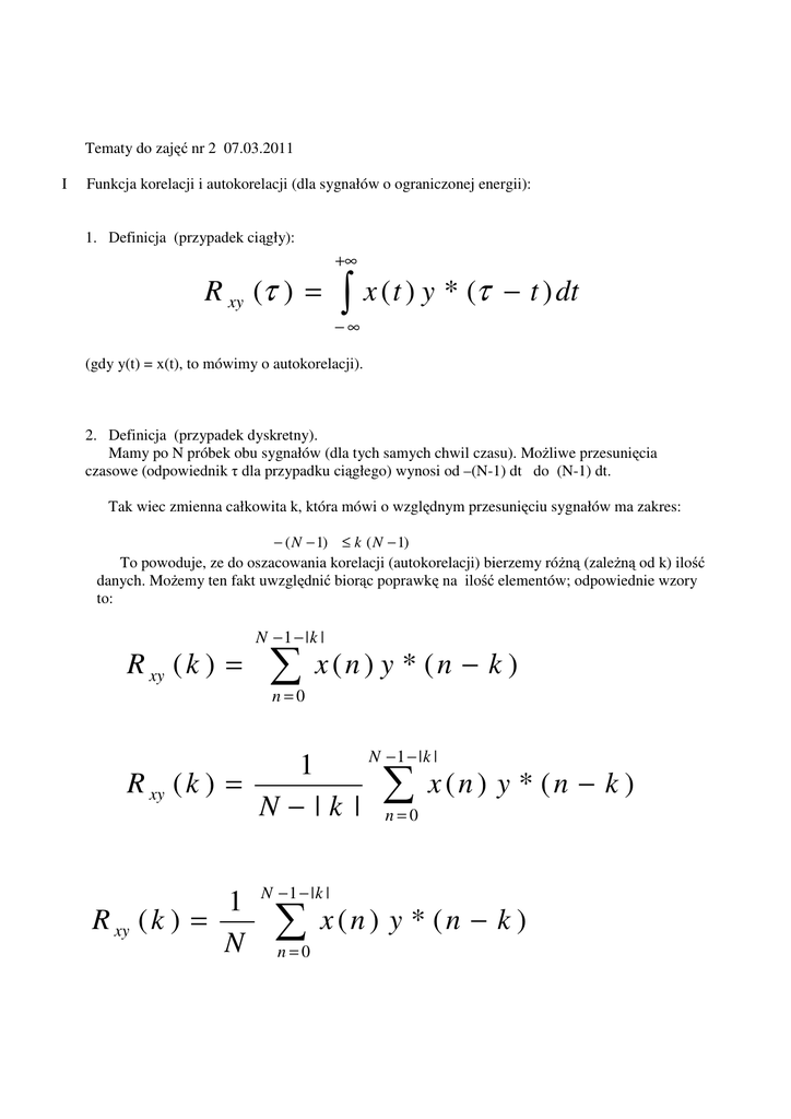
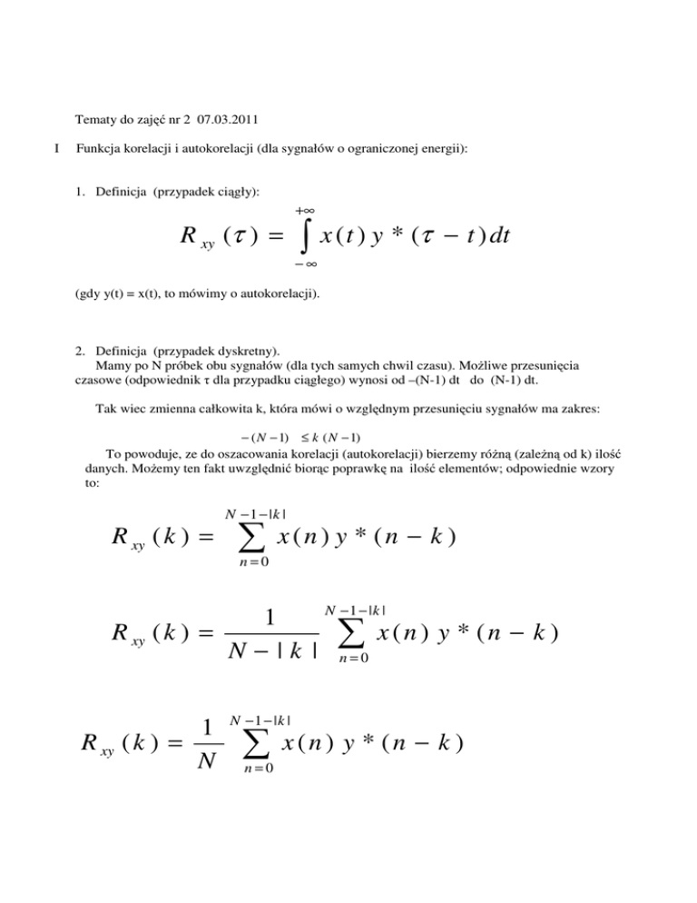
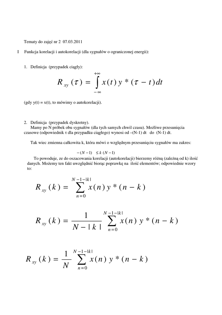
1. Definicja (przypadek ciągły):
+∞
R xy (τ ) =
∫ x ( t ) y * (τ
− t ) dt
−∞
(gdy y(t) = x(t), to mówimy o autokorelacji).
2. Definicja (przypadek dyskretny).
Mamy po N próbek obu sygnałów (dla tych samych chwil czasu). MoŜliwe przesunięcia
czasowe (odpowiednik τ dla przypadku ciągłego) wynosi od –(N-1) dt do (N-1) dt.
Tak wiec zmienna całkowita k, która mówi o względnym przesunięciu sygnałów ma zakres:
− ( N − 1) ≤ k ( N − 1)
To powoduje, ze do oszacowania korelacji (autokorelacji) bierzemy róŜną (zaleŜną od k) ilość
danych. MoŜemy ten fakt uwzględnić biorąc poprawkę na ilość elementów; odpowiednie wzory
to:
N −1 − |k |
R xy ( k ) =
∑
x(n) y * (n − k )
n=0
N −1 − |k |
1
R xy ( k ) =
x(n) y * (n − k )
∑
N − | k | n=0
1
R xy ( k ) =
N
N −1 − |k |
∑
n=0
x(n) y * (n − k )
Pierwszy wzór to tzw. estymator nienormowany (odpowiada w Matlabie funkcji xcorr(x,y), drugi –
tzw. estymator obciąŜony – w Matlabie xcorr(x,y,’biased’), zaś trzeci – nieobciąŜony – w Matlabie
xcorr(x,y,’unbiased’
Ćwiczenie:
1. Wygeneruj w Matlabie sygnał x0 : 1000 próbek, częstość próbkowania 1000 Hz, profil
sygnału to suma trzech sinusoid o częstościach odpowiednio 7Hz, 13 Hz, 23 Hz, amplitudy
takie same.
2. Narysuj ten sygnał
3. Oblicz funkcję autokorelacji
4. Narysuj funkcję autokorelacji
(uwaga – jeŜeli robisz rysunek przez plot(t,Ac), gdzie Ac to obliczona autokorelacja,
zaś t – czas, to weź pod uwagę, ze zmienna t (czas) musi mieć taką samą długość (2*N
-1) i zmieniać się od -(N-1)*dt do (N-1)*dt..
5. Wygeneruj sygnał n : 1000 próbek zmiennej losowej o rozkładzie normalnym z wartością
srednią =0 i wariancją =1.
6. stopniowo zaszumiaj sygnał x0 tworząc sygnały xnk= x0 + ak*n. (gdzie ak- amplituda). Za
kaŜdym razem:
a. obejrzyj zaszumiany sygnał
b. oblicz funkcję wyświetl funkcję autokorelacji
Wyciągnij wnioski.
II rozkład sygnału na składowe – sygnał dyskretny
Jako sygnał traktujemy wektory o ustalonej ilości składowych N (w rozwaŜanych przykładach
bierzemy N=4). W przestrzeni takich sygnałów jest naturalna baza postaci:
e0 = (1, 0, 0, 0), e1=(0, 1, 0, 0), e2= (0, 0, 1, 0) , e3=(0, 0, 0, 1)
To oznacza, ze sygnał (100, 90, 60. 30) = 100 e0 + 90 e1 + 60 e2 + 30 e3
Ale w tej przestrzeni moŜemy wprowadzić inne bazy, np.:
kosinusowa DCT - określone jako (numer wektora w bazie k=0, 1, 2, 3, numer składowej
wektora n = 0, 1, 2, 3):
bk (n) = c(k ) cos[
(2n + 1)kπ
],
2N
c(0) =
sinusowa DST- określona wzorem:
bk (n) =
2
 (k + 1)(n + 1)π 
sin 

N +1 
N +1
1
,
N,
dla k > 0 c(k ) =
2
N
baza „bylejaka’’ f0=(1, 1, 1, 0), f(1)=(1, 1, 0, 1), f2=(1, 0, 1, 1), f3=(0,1, 1, 1,)
Wtedy za reprezentację wektora w wybranej bazie bierzemy współczynniki jego rozwinięcia w tej
bazie.
Ćwiczenie:
1. Wygeneruj wektory bazowe dla DCT i DST dla N=2, N=4, N=8. Narysuj ich wykresy
2. Dla N=4 rozwaŜ wektor (w bazie e) o składowych (100, 101, 99, 102). Oblicz jego składowe
w bazie DCT, DST oraz bylejakiej.
a. jak wygląda rozkład współczynników rozkładu? W której bazie rozkład energii jest najbardziej
skupiony?
b. oblicz energie (jako sumę kwadratów energii składowych w danej bazie) sygnału w róŜnych
bazach. Co moŜesz na ten temat powiedzieć?
Powtórz rachunek dla wektora (100, 1, 75, 20)
III rozkład sygnału na składowe – periodyczny sygnał ciągły
JeŜeli g(t) – periodyczna funkcja czasu, czyli g(t+T) = g(t),
to moŜemy rozłoŜyć go w bazie funkcji ortogonalnych okresowych o okresie T, na przykład
zespolonej bazie Fouriera
f k (t ) = exp( jkω o t ) = cos(kω o t ) + j sin(kω 0 t ),
gdzie
j = − 1,
ω 0T = 1
Rozwinięcie ma postać:
∞
∑
g (t ) =
c k f k (t )
k = −∞
gdzie:
t0 +T
ck =
∫
f k* ( t ) g ( t )dt
t0
Znajdz współczynniki rozwinięcia dla dla czterech poniŜej określonych funkcji :
1) Fala bipolarna, okres T, t0 =0, funkcja g1 w obszarze (0,T) określona:
g1(t)= A dla t< T/2, g1(t)=-A dla T> t > T/2
2) Fala unipolarna, okres T, t0 =-T/2, funkcja g2 w obszarze (-T/2,T/2) określona jako
g2(t)= A dla –T/4 < t < T/4 i równa zero dla pozostałych wartości z przedziału
(-T/2, T/2)
3. Fala trójkątna z nieciągłością, t0 = -T/2, funkcja g3(t) = t A/T dla całego zakresu
(czyli przedziału ) -T/2, T/2).
4. Fala trójkątna bez nieciągłości, t0=0, funkcja g4(t) określona jako = 2 t A/T dla
0<T/2 oraz = 2 A (1-t/T) dla T/2< t < T
Zbadaj jak powyŜsze aproksymacje działają – porównaj jak przybliŜane są wyjściowe funkcje
poprzez wzięcie coraz większej ilości harmicznych.
Kiedy w rozwinięciu są tylko sinusy (cosinusy).
Jak wygląda aproksymacja funkcji przez szereg Fouriera w okolicy nieciągłości funkcji?