Wykaz adresów placówek w ramach systemu EDU

Transkrypt

Wykaz adresów placówek w ramach systemu EDU
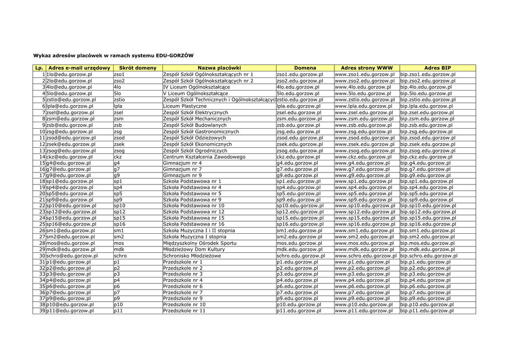
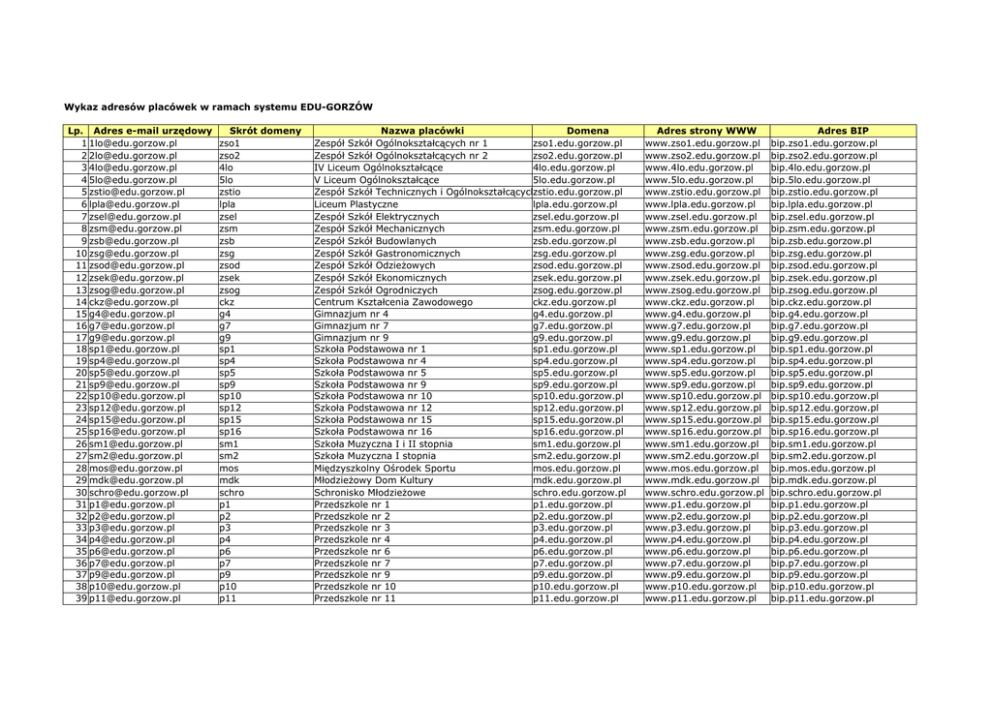
Wykaz adresów placówek w ramach systemu EDU-GORZÓW
Lp. Adres e-mail urzędowy
1 [email protected]
2 [email protected]
3 [email protected]
4 [email protected]
5 [email protected]
6 [email protected]
7 [email protected]
8 [email protected]
9 [email protected]
10 [email protected]
11 [email protected]
12 [email protected]
13 [email protected]
14 [email protected]
15 [email protected]
16 [email protected]
17 [email protected]
18 [email protected]
19 [email protected]
20 [email protected]
21 [email protected]
22 [email protected]
23 [email protected]
24 [email protected]
25 [email protected]
26 [email protected]
27 [email protected]
28 [email protected]
29 [email protected]
30 [email protected]
31 [email protected]
32 [email protected]
33 [email protected]
34 [email protected]
35 [email protected]
36 [email protected]
37 [email protected]
38 [email protected]
39 [email protected]
Skrót domeny
zso1
zso2
4lo
5lo
zstio
lpla
zsel
zsm
zsb
zsg
zsod
zsek
zsog
ckz
g4
g7
g9
sp1
sp4
sp5
sp9
sp10
sp12
sp15
sp16
sm1
sm2
mos
mdk
schro
p1
p2
p3
p4
p6
p7
p9
p10
p11
Nazwa placówki
Domena
Zespół Szkół Ogólnokształcących nr 1
zso1.edu.gorzow.pl
Zespół Szkół Ogólnokształcących nr 2
zso2.edu.gorzow.pl
IV Liceum Ogólnokształcące
4lo.edu.gorzow.pl
V Liceum Ogólnokształcące
5lo.edu.gorzow.pl
Zespół Szkół Technicznych i Ogólnokształcącychzstio.edu.gorzow.pl
Liceum Plastyczne
lpla.edu.gorzow.pl
Zespół Szkół Elektrycznych
zsel.edu.gorzow.pl
Zespół Szkół Mechanicznych
zsm.edu.gorzow.pl
Zespół Szkół Budowlanych
zsb.edu.gorzow.pl
Zespół Szkół Gastronomicznych
zsg.edu.gorzow.pl
Zespół Szkół Odzieżowych
zsod.edu.gorzow.pl
Zespół Szkół Ekonomicznych
zsek.edu.gorzow.pl
Zespół Szkół Ogrodniczych
zsog.edu.gorzow.pl
ckz.edu.gorzow.pl
Centrum Kształcenia Zawodowego
Gimnazjum nr 4
g4.edu.gorzow.pl
Gimnazjum nr 7
g7.edu.gorzow.pl
Gimnazjum nr 9
g9.edu.gorzow.pl
Szkoła Podstawowa nr 1
sp1.edu.gorzow.pl
Szkoła Podstawowa nr 4
sp4.edu.gorzow.pl
Szkoła Podstawowa nr 5
sp5.edu.gorzow.pl
Szkoła Podstawowa nr 9
sp9.edu.gorzow.pl
Szkoła Podstawowa nr 10
sp10.edu.gorzow.pl
Szkoła Podstawowa nr 12
sp12.edu.gorzow.pl
Szkoła Podstawowa nr 15
sp15.edu.gorzow.pl
Szkoła Podstawowa nr 16
sp16.edu.gorzow.pl
Szkoła Muzyczna I i II stopnia
sm1.edu.gorzow.pl
Szkoła Muzyczna I stopnia
sm2.edu.gorzow.pl
Międzyszkolny Ośrodek Sportu
mos.edu.gorzow.pl
Młodzieżowy Dom Kultury
mdk.edu.gorzow.pl
Schronisko Młodzieżowe
schro.edu.gorzow.pl
Przedszkole nr 1
p1.edu.gorzow.pl
Przedszkole nr 2
p2.edu.gorzow.pl
Przedszkole nr 3
p3.edu.gorzow.pl
Przedszkole nr 4
p4.edu.gorzow.pl
Przedszkole nr 6
p6.edu.gorzow.pl
Przedszkole nr 7
p7.edu.gorzow.pl
Przedszkole nr 9
p9.edu.gorzow.pl
Przedszkole nr 10
p10.edu.gorzow.pl
Przedszkole nr 11
p11.edu.gorzow.pl
Adres strony WWW
www.zso1.edu.gorzow.pl
www.zso2.edu.gorzow.pl
www.4lo.edu.gorzow.pl
www.5lo.edu.gorzow.pl
www.zstio.edu.gorzow.pl
www.lpla.edu.gorzow.pl
www.zsel.edu.gorzow.pl
www.zsm.edu.gorzow.pl
www.zsb.edu.gorzow.pl
www.zsg.edu.gorzow.pl
www.zsod.edu.gorzow.pl
www.zsek.edu.gorzow.pl
www.zsog.edu.gorzow.pl
www.ckz.edu.gorzow.pl
www.g4.edu.gorzow.pl
www.g7.edu.gorzow.pl
www.g9.edu.gorzow.pl
www.sp1.edu.gorzow.pl
www.sp4.edu.gorzow.pl
www.sp5.edu.gorzow.pl
www.sp9.edu.gorzow.pl
www.sp10.edu.gorzow.pl
www.sp12.edu.gorzow.pl
www.sp15.edu.gorzow.pl
www.sp16.edu.gorzow.pl
www.sm1.edu.gorzow.pl
www.sm2.edu.gorzow.pl
www.mos.edu.gorzow.pl
www.mdk.edu.gorzow.pl
www.schro.edu.gorzow.pl
www.p1.edu.gorzow.pl
www.p2.edu.gorzow.pl
www.p3.edu.gorzow.pl
www.p4.edu.gorzow.pl
www.p6.edu.gorzow.pl
www.p7.edu.gorzow.pl
www.p9.edu.gorzow.pl
www.p10.edu.gorzow.pl
www.p11.edu.gorzow.pl
Adres BIP
bip.zso1.edu.gorzow.pl
bip.zso2.edu.gorzow.pl
bip.4lo.edu.gorzow.pl
bip.5lo.edu.gorzow.pl
bip.zstio.edu.gorzow.pl
bip.lpla.edu.gorzow.pl
bip.zsel.edu.gorzow.pl
bip.zsm.edu.gorzow.pl
bip.zsb.edu.gorzow.pl
bip.zsg.edu.gorzow.pl
bip.zsod.edu.gorzow.pl
bip.zsek.edu.gorzow.pl
bip.zsog.edu.gorzow.pl
bip.ckz.edu.gorzow.pl
bip.g4.edu.gorzow.pl
bip.g7.edu.gorzow.pl
bip.g9.edu.gorzow.pl
bip.sp1.edu.gorzow.pl
bip.sp4.edu.gorzow.pl
bip.sp5.edu.gorzow.pl
bip.sp9.edu.gorzow.pl
bip.sp10.edu.gorzow.pl
bip.sp12.edu.gorzow.pl
bip.sp15.edu.gorzow.pl
bip.sp16.edu.gorzow.pl
bip.sm1.edu.gorzow.pl
bip.sm2.edu.gorzow.pl
bip.mos.edu.gorzow.pl
bip.mdk.edu.gorzow.pl
bip.schro.edu.gorzow.pl
bip.p1.edu.gorzow.pl
bip.p2.edu.gorzow.pl
bip.p3.edu.gorzow.pl
bip.p4.edu.gorzow.pl
bip.p6.edu.gorzow.pl
bip.p7.edu.gorzow.pl
bip.p9.edu.gorzow.pl
bip.p10.edu.gorzow.pl
bip.p11.edu.gorzow.pl
40 [email protected]
41 [email protected]
42 [email protected]
43 [email protected]
44 [email protected]
45 [email protected]
46 [email protected]
47 [email protected]
48 [email protected]
49 [email protected]
50 [email protected]
51 [email protected]
52 [email protected]
53 [email protected]
54 [email protected]
55 [email protected]
56 [email protected]
57 [email protected]
58 [email protected]
59 [email protected]
60 [email protected]
61 [email protected]
62 [email protected]
63 [email protected]
64 [email protected]
65 [email protected]
66 [email protected]
67 [email protected]
68 [email protected]
69 [email protected]
p12
p13
p14
p15
p16
p18
p19
p20
p21
p22
p23
p25
p27
p29
p30
p31
p32
p33
zpp
po
zks
zs12
zs13
zs20
zs21
zs6
zso16
zso3
zss14
zsspo
Przedszkole nr 12
p12.edu.gorzow.pl
Przedszkole nr 13
p13.edu.gorzow.pl
Przedszkole nr 14
p14.edu.gorzow.pl
Przedszkole nr 15
p15.edu.gorzow.pl
Przedszkole nr 16
p16.edu.gorzow.pl
Przedszkole nr 18
p18.edu.gorzow.pl
Przedszkole nr 19
p19.edu.gorzow.pl
Przedszkole nr 20
p20.edu.gorzow.pl
Przedszkole nr 21
p21.edu.gorzow.pl
Przedszkole nr 22
p22.edu.gorzow.pl
Przedszkole nr 23
p23.edu.gorzow.pl
Przedszkole nr 25
p25.edu.gorzow.pl
Przedszkole nr 27
p27.edu.gorzow.pl
Przedszkole nr 29
p29.edu.gorzow.pl
Przedszkole nr 30
p30.edu.gorzow.pl
Przedszkole nr 31
p31.edu.gorzow.pl
Przedszkole nr 32
p32.edu.gorzow.pl
Przedszkole nr 33
p33.edu.gorzow.pl
Zespół Poradni Psychologiczno-Pedagogicznych zpp.edu.gorzow.pl
Pogotowie opiekuncze
po.edu.gorzow.pl
zks.edu.gorzow.pl
Zespól Kształcenia Specjalnego
Zespół Szkół nr 12
zs12.edu.gorzow.pl
Zespół Szkół nr 13
zs13.edu.gorzow.pl
Zespół Szkół nr 20
zs20.edu.gorzow.pl
Zespół Szkół nr 21
zs21.edu.gorzow.pl
Zespół Szkół nr 6
zs6.edu.gorzow.pl
Zespół Szkół Ogólnokształcących nr 16
zso16.edu.gorzow.pl
Zespół Szkół Ogólnokształcących nr 3
zso3.edu.gorzow.pl
Zespół Szkół Specjalnych nr 14
zss14.edu.gorzow.pl
Zespół Szkół Sportowych
zsspo.edu.gorzow.pl
www.p12.edu.gorzow.pl
www.p13.edu.gorzow.pl
www.p14.edu.gorzow.pl
www.p15.edu.gorzow.pl
www.p16.edu.gorzow.pl
www.p18.edu.gorzow.pl
www.p19.edu.gorzow.pl
www.p20.edu.gorzow.pl
www.p21.edu.gorzow.pl
www.p22.edu.gorzow.pl
www.p23.edu.gorzow.pl
www.p25.edu.gorzow.pl
www.p27.edu.gorzow.pl
www.p29.edu.gorzow.pl
www.p30.edu.gorzow.pl
www.p31.edu.gorzow.pl
www.p32.edu.gorzow.pl
www.p33.edu.gorzow.pl
www.zpp.edu.gorzow.pl
www.po.edu.gorzow.pl
www.zks.edu.gorzow.pl
www.zs12.edu.gorzow.pl
www.zs13.edu.gorzow.pl
www.zs20.edu.gorzow.pl
www.zs21.edu.gorzow.pl
www.zs6.edu.gorzow.pl
www.zso16.edu.gorzow.pl
www.zso3.edu.gorzow.pl
www.zss14.edu.gorzow.pl
www.zsspo.edu.gorzow.pl
bip.p12.edu.gorzow.pl
bip.p13.edu.gorzow.pl
bip.p14.edu.gorzow.pl
bip.p15.edu.gorzow.pl
bip.p16.edu.gorzow.pl
bip.p18.edu.gorzow.pl
bip.p19.edu.gorzow.pl
bip.p20.edu.gorzow.pl
bip.p21.edu.gorzow.pl
bip.p22.edu.gorzow.pl
bip.p23.edu.gorzow.pl
bip.p25.edu.gorzow.pl
bip.p27.edu.gorzow.pl
bip.p29.edu.gorzow.pl
bip.p30.edu.gorzow.pl
bip.p31.edu.gorzow.pl
bip.p32.edu.gorzow.pl
bip.p33.edu.gorzow.pl
bip.zpp.edu.gorzow.pl
bip.po.edu.gorzow.pl
bip.zks.edu.gorzow.pl
bip.zs12.edu.gorzow.pl
bip.zs13.edu.gorzow.pl
bip.zs20.edu.gorzow.pl
bip.zs21.edu.gorzow.pl
bip.zs6.edu.gorzow.pl
bip.zso16.edu.gorzow.pl
bip.zso3.edu.gorzow.pl
bip.zss14.edu.gorzow.pl
bip.zsspo.edu.gorzow.pl