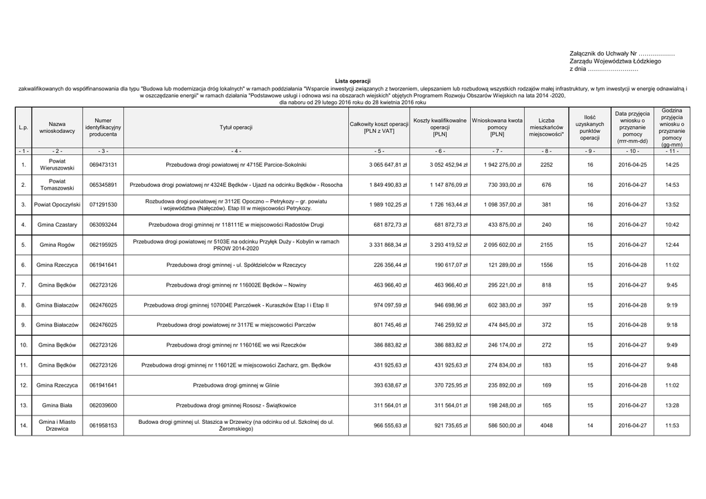
Załącznik do Uchwały Nr ……………… Zarządu

Transkrypt

Załącznik do Uchwały Nr ……………… Zarządu
Załącznik do Uchwały Nr ………………
Zarządu Województwa Łódzkiego
z dnia …………………….
Lista operacji
zakwalifikowanych do współfinansowania dla typu "Budowa lub modernizacja dróg lokalnych" w ramach poddziałania "Wsparcie inwestycji związanych z tworzeniem, ulepszaniem lub rozbudową wszystkich rodzajów małej infrastruktury, w tym inwestycji w energię odnawialną i
w oszczędzanie energii" w ramach działania "Podstawowe usługi i odnowa wsi na obszarach wiejskich" objętych Programem Rozwoju Obszarów Wiejskich na lata 2014 -2020,
dla naboru od 29 lutego 2016 roku do 28 kwietnia 2016 roku
Godzina
Data przyjęcia
Ilość
przyjęcia
Numer
Koszty kwalifikowalne Wnioskowana kwota
Liczba
wniosku o
Nazwa
Całkowity koszt operacji
uzyskanych
wniosku o
L.p.
identyfikacyjny
Tytuł operacji
operacji
pomocy
mieszkańców
przyznanie
wnioskodawcy
[PLN z VAT]
punktów
przyznanie
producenta
[PLN]
[PLN]
miejscowości*
pomocy
operacji
pomocy
(rrrr-mm-dd)
(gg-mm)
-1-2-3-4-5-6-7-8-9- 10 - 11 1.
Powiat
Wieruszowski
069473131
Przebudowa drogi powiatowej nr 4715E Parcice-Sokolniki
3 065 647,81 zł
3 052 452,94 zł
1 942 275,00 zł
2252
16
2016-04-25
14:25
2.
Powiat
Tomaszowski
065345891
Przebudowa drogi powiatowej nr 4324E Będków - Ujazd na odcinku Będków - Rosocha
1 849 490,83 zł
1 147 876,09 zł
730 393,00 zł
676
16
2016-04-27
14:53
3.
Powiat Opoczyński
071291530
Rozbudowa drogi powiatowej nr 3112E Opoczno – Petrykozy – gr. powiatu
i województwa (Nałęczów). Etap III w miejscowości Petrykozy.
1 989 102,25 zł
1 726 163,44 zł
1 098 357,00 zł
381
16
2016-04-27
13:52
4.
Gmina Czastary
063093244
Przebudowa drogi gminnej nr 118111E w miejscowości Radostów Drugi
681 872,73 zł
681 872,73 zł
433 875,00 zł
240
16
2016-04-27
10:42
5.
Gmina Rogów
062195925
Przebudowa drogi powiatowej nr 5103E na odcinku Przyłęk Duży - Kobylin w ramach
PROW 2014-2020
3 331 868,34 zł
3 293 419,52 zł
2 095 602,00 zł
2155
15
2016-04-27
12:44
6.
Gmina Rzeczyca
061941641
Przedubowa drogi gminnej - ul. Spółdzielców w Rzeczycy
226 356,44 zł
190 617,07 zł
121 289,00 zł
1556
15
2016-04-28
11:02
7.
Gmina Będków
062723126
Przebudowa drogi gminnej nr 116002E Będków – Nowiny
463 966,40 zł
463 966,40 zł
295 221,00 zł
818
15
2016-04-27
9:45
8.
Gmina Białaczów
062476025
Przebudowa drogi gminnej 107004E Parczówek - Kuraszków Etap I i Etap II
974 097,59 zł
946 698,96 zł
602 383,00 zł
397
15
2016-04-28
9:19
9.
Gmina Białaczów
062476025
Przebudowa drogi powiatowej nr 3117E w miejscowości Parczów
801 745,46 zł
746 259,92 zł
474 845,00 zł
372
15
2016-04-28
9:18
10.
Gmina Będków
062723126
Przebudowa drogi gminnej nr 116016E we wsi Rzeczków
386 883,82 zł
386 883,82 zł
246 174,00 zł
272
15
2016-04-27
9:49
11.
Gmina Będków
062723126
Przebudowa drogi gminnej nr 116012E w miejscowości Zacharz, gm. Będków
431 925,63 zł
431 925,63 zł
274 834,00 zł
183
15
2016-04-27
9:48
12.
Gmina Rzeczyca
061941641
Przebudowa drogi gminnej w Glinie
393 638,67 zł
370 725,95 zł
235 892,00 zł
169
15
2016-04-28
11:02
13.
Gmina Biała
062039600
Przebudowa drogi gminnej Rososz - Świątkowice
311 564,01 zł
311 564,01 zł
198 248,00 zł
165
15
2016-04-27
13:28
14.
Gmina i Miasto
Drzewica
061958153
Budowa drogi gminnej ul. Staszica w Drzewicy (na odcinku od ul. Szkolnej do ul.
Żeromskiego)
966 555,63 zł
921 735,65 zł
586 500,00 zł
4048
14
2016-04-27
11:53
15.
Powiat
Wieruszowski
069473131
Przebudowa drogi powiatowej nr 4710E Augustynów – Lututów
16.
Gmina Gomunice
062747162
17.
Powiat Wieluński
18.
1 806 565,15 zł
1 537 363,53 zł
978 224,00 zł
2203
14
2016-04-26
14:25
Przebudowa dróg gminnych w miejscowości Gomunice - ul. Wolności
366 124,44 zł
333 754,19 zł
212 367,00 zł
1882
14
2016-04-28
9:16
071547804
Przebudowa drogi powiatowej Nr 4520E w miejscowości Pątnów
913 257,37 zł
696 443,01 zł
443 146,00 zł
1484
14
2016-04-26
13:05
Gmina Żarnów
063257200
Przebudowa drogi na ulicy Wesołej w Żarnowie
181 282,95 zł
172 705,64 zł
109 892,00 zł
1169
14
2016-04-27
13:31
19.
Gmina Czastary
063093244
Przebudowa drogi gminnej nr 118123E w miejscowości Czastary
423 730,70 zł
423 730,70 zł
269 619,00 zł
977
14
2016-04-28
10:29
20.
Powiat Piotrkowski
067659532
Przebudowa drogi powiatowej Nr 1515E na odcinku Mierzyn-Cieszanowice
3 011 484,32 zł
2 899 196,98 zł
1 844 759,00 zł
910
14
2016-04-27
14:28
21.
Gmina Zapolice
063190541
Przebudowa dróg wewnętrznych dojazdowych na osiedlu w Zapolicach, ul. Słoneczna
501 829,29 zł
493 897,85 zł
314 267,00 zł
842
14
2016-04-27
15:28
22.
Powiat
Radomszczański
071028452
Przebudowa drogi powiatowej nr 3947E Radomsko - Sulmierzyce na odcinkach Kolonia
Lgota - Krzywanice oraz w miejscowości Krzywanice
4 031 885,81 zł
3 641 663,83 zł
2 317 190,00 zł
759
14
2016-04-28
9:23
23.
Gmina Daszyna
063121352
Przebudowa lokalnych dróg gminnych w obrębach Łubno, Mazew, Kolonia Mazew i
Zieleniew w Gminie Daszyna
2 134 695,68 zł
1 935 913,14 zł
1 231 821,00 zł
713
14
2016-04-28
10:33
24.
Gmina Świnice
Warckie
062734201
Przebudowa ul. Spółdzielców w ciągu drogi gminnej nr 104455E
827 217,88 zł
738 220,17 zł
469 729,00 zł
687
14
2016-04-27
12:09
25.
Gmina Pątnów
061964691
Budowa drogi gminnej Załęcze Małe-Zamłynie-Stara Wieś
1 939 040,78 zł
1 804 519,41 zł
1 148 215,00 zł
669
14
2016-04-28
8:39
26.
Gmina Świnice
Warckie
062734201
Przebudowa drogi gminnej nr 114481E
821 395,34 zł
771 135,96 zł
490 673,00 zł
619
14
2016-04-27
12:06
27.
Gmina Pątnów
061964691
Rozbudowa drogi gminnej Nr 117205E w miejscowości Kamionka
726 814,40 zł
686 752,24 zł
436 980,00 zł
603
14
2016-04-28
8:40
28.
Gmina Pątnów
061964691
Rozbudowa i przebudowa drogi gminnej Nr 117168E w miejscowości Kamionka
1 167 696,41 zł
1 082 632,91 zł
688 879,00 zł
603
14
2016-04-28
8:41
29.
Gmina Żarnów
063257200
Przebudowa drogi w miejscowości Topolice
243 956,50 zł
243 956,50 zł
155 229,00 zł
579
14
2016-04-27
13:32
30.
Powiat Łęczycki
064583276
Modernizacja drogi powiatowej Nr 2519E na odcinku Góra Św. Małgorzaty - Bryski
2 512 079,10 zł
2 188 848,74 zł
1 392 764,00 zł
502
14
2016-04-28
10:50
31.
Powiat Wieluński
071547804
Przebudowa drogi powiatowej Nr 4502E Platoń - Wiktorów - Naramice - Kąty
Walichnowskie - Czastary w miejscowości Naramice
556 424,50 zł
428 643,92 zł
272 746,00 zł
485
14
2016-04-26
13:06
32.
Gmina
Budziszewice
062502955
Przebudowa dróg na terenie Gminy Budziszewice - ul. Osiedlowa
373 059,27 zł
373 059,27 zł
237 377,00 zł
481
14
2016-04-27
14:20
33.
Gmina
Budziszewice
062502955
Przebudowa drogi gminnej nr 116053Ew miejscowości Budziszewice - ul. Kolejowa
82 364,40 zł
82 364,40 zł
52 408,00 zł
481
14
2016-04-28
11:06
34.
Gmina Łubnice
063142351
Przebudowa drogi gminnej ul. Poniatowskiego w Kolonii Dzietrzkowice
596 207,66 zł
548 445,61 zł
348 975,00 zł
472
14
2016-04-27
14:39
35.
Gmina Zapolice
063190541
Przebudowa drogi gminnej w m. Paprotnia, gm. Zapolice wraz z rozbudową sieci
wodociągowej i przebudową linii energetycznej
36.
Gmina Żarnów
063257200
Przebudowa drogi w miejscowości Paszkowice
37.
Gmina Żarnów
063257200
38.
Gmina Żarnów
39.
1 352 774,78 zł
1 016 856,12 zł
647 025,00 zł
466
14
2016-04-28
11:22
365 101,74 zł
364 865,48 zł
232 163,00 zł
421
14
2016-04-27
13:29
Przebudowa drogi powiatowej nr 3125E Marcinków - Chełsty - Grębenice
1 971 454,56 zł
1 964 933,00 zł
1 250 286,00 zł
421
14
2016-04-27
13:30
063257200
Przebudowa drogi Soczówki - Wierzchowisko
1 058 261,98 zł
1 057 885,21 zł
673 132,00 zł
410
14
2016-04-27
13:33
Powiat Opoczyński
071291530
Rozbudowa drogi powiatowej nr 3119E na odcinku Kozenin-Kłopotów. Etap I KłopotówKazimierzów
2 949 798,42 zł
2 744 550,99 zł
1 746 357,00 zł
341
14
2016-04-27
13:51
40.
Gmina Krośniewice
062363743
Przebudowa drogi gminnej nr G102106E relacji Nowe - Cygany w miejscowości Nowe,
Szubsk Duży i Szubsk Towarzystwo gm. Krośniewice
2 767 583,50 zł
2 531 903,67 zł
1 611 050,00 zł
341
14
2016-04-27
14:26
41.
Gmina Wróblew
063467824
Przebudowa drogi gminnej Wągłczew - Gaj
1 728 847,18 zł
1 684 802,88 zł
1 072 040,00 zł
327
14
2016-04-15
11:35
42.
Gmina i Miasto
Drzewica
061958153
Budowa drogi gminnej w m. Strzyżów
334 119,35 zł
334 119,35 zł
212 600,00 zł
293
14
2016-04-27
12:00
43.
Gmina
Budziszewice
062502955
Przebudowa dróg na terenie gminy Budziszewice: Węgrzynowice
305 141,51 zł
305 141,51 zł
194 161,00 zł
280
14
2016-04-27
14:21
44.
Gmina Sokolniki
061965363
Przebudowa drogi gminnej nr 118211E
w miejscowości Pichlice (Jasienie)
1 562 744,43 zł
1 238 421,25 zł
788 007,00 zł
247
14
2016-04-25
10:55
45.
Gmina Złoczew
063070523
Przebudowa drogi gminnej w miejscowości Czarna, Gmina Złoczew, na odcinku 1,452 km
1 292 020,66 zł
1 130 634,72 zł
719 422,00 zł
242
14
2016-04-28
11:13
46.
Gmina Brąszewice
065109412
Przebudowa drogi gminnej 114126E w m. Bukowiec
220 420,10 zł
216 029,12 zł
137 459,00 zł
241
14
2016-04-26
14:14
47.
Gmina Świnice
Warckie
062734201
Przebudowa dróg gminnych nr 104459E i 104467E - Etap I przebudowa drogi nr 104467E
1 139 333,27 zł
1 084 642,14 zł
690 157,00 zł
192
14
2016-04-27
12:11
48.
Gmina Brąszewice
065109412
Przebudowa drogi gminnej 114121E (na dz. 243) oraz drogi wewnętrznej (na dz. 189) w m.
Chajew
263 311,67 zł
236 278,66 zł
150 344,00 zł
176
14
2016-04-26
14:12
49.
Gmina
Budziszewice
062502955
Przebudowa drogi w miejscowości Zalesie
558 498,88 zł
496 801,19 zł
316 114,00 zł
95
14
2016-04-27
14:22
50.
Gmina Uniejów
062479844
Przebudowa drogi gminnej w miejscowości Zaborów, gm. Uniejów
562 788,65 zł
543 946,52 zł
346 113,00 zł
81
14
2016-04-28
10:41
51.
Gmina Uniejów
062479844
Przebudowa drogi gminnej nr 111160E w miejscowości Kozanki Wielkie, gm Uniejów
885 882,60 zł
867 612,43 zł
552 060,00 zł
74
14
2016-04-28
10:42
52.
Gmina
Budziszewice
062502955
Przebudowa drogi w miejscowości Teodorów
371 085,56 zł
371 085,56 zł
236 121,00 zł
54
14
2016-04-27
14:23
53.
Gmina Brąszewice
065109412
Przebudowa drogi gminnej 114140E w m. Pokrzywniaki
296 190,63 zł
296 190,63 zł
188 466,00 zł
42
14
2016-04-26
14:13
54.
Gmina i Miasto
Warta
062408075
Przebudowa ulicy Tarnowskiego w Warcie
3 816 351,75 zł
3 677 317,93 zł
2 339 877,00 zł
3264
13
2016-04-27
13:55
55.
Gmina i Miasto
Warta
062408075
Przebudowa drogi gminnej nr 114532E w miejscowości Warta ul. Terenowa
56.
Gmina Czarnocin
062532891
57.
Gmina Tomaszów
Mazowiecki
58.
894 347,51 zł
801 803,63 zł
510 187,00 zł
3264
13
2016-04-27
13:56
Przebudowa drogi powiatowej nr 2923E Bukowiec-Brójce-Dalków-Czarnocin -Biskupia
Wola na terenie Gminy Czarnocin
4 738 793,15 zł
3 706 151,78 zł
2 358 224,00 zł
1849
13
2016-04-28
11:59
062097826
Przebudowa dróg gminnych: nr 116404E przez wieś Niebrów, nr 116405E przez wieś
Chorzęcin oraz nr 116429E - ul. Cegielniana w miejscowości Wąwał
4 054 304,68 zł
3 595 299,83 zł
2 287 688,00 zł
1820
13
2016-04-27
10:59
Gmina Wierzchlas
062370421
Przebudowa drogi gminnej nr 117262E Łaszew Rządowy - Przywóz
1 372 379,81 zł
1 361 173,16 zł
866 114,00 zł
1740
13
2016-04-06
9:50
59.
Gmina Burzenin
063819014
Przebudowa drogi gminnej
Strumiany – Antonin wraz z elementami szerokopasmowej infrastruktury teleinformatycznej
1 059 503,54 zł
782 232,48 zł
497 734,00 zł
1410
13
2016-04-28
8:35
60.
Powiat Pajęczański
071603205
Rozbudowa drogi powiatowej Nr 4536 E Rychłocice - Osjaków - Siemkowice - Pajęczno na
odcinku Lipnik (skrzyżowanie z drogą powiatową nr 3504E) - Siemkowice
2 219 816,30 zł
1 878 475,00 zł
1 195 273,00 zł
1182
13
2016-04-26
13:27
61.
Gmina Pabianice
063247092
Przebudowa drogi gminnej nr 108258E - ul. Stadionowa w Piątkowisku, gm. Pabianice
2 303 470,98 zł
2 170 848,11 zł
1 381 310,00 zł
951
13
2016-04-27
14:24
62.
Gmina Pabianice
063247092
Przebudowa drogi gminnej nr 108283E - ul. Złota w Piątkowisku, gm. Pabianice
1 887 255,48 zł
1 681 900,79 zł
1 070 193,00 zł
951
13
2016-04-27
14:25
63.
Gmina Witonia
063931765
Przebudowa drogi gminnej Nr 104314E relacji Witonia - Węglewice Kolonia
2 237 237,83 zł
2 049 851,85 zł
1 304 320,00 zł
933
13
2016-04-20
11:35
64.
Powiat Rawski
071304573
Przebudowa drogi powiatowej nr 4306E (Wiechnowice)-Lesiew na odcinku SierzchowySanogoszcz
1 490 632,44 zł
1 481 800,66 zł
942 869,00 zł
870
13
2016-04-28
8:31
65.
Powiat Poddębicki
065280494
Przebudowa dróg powiatowych na terenie powiatu Poddębickiego nr 3705E Poddębice Brudnów
1 877 278,61 zł
1 877 278,61 zł
1 194 512,00 zł
863
13
2016-04-28
11:14
66.
Powiat Pabianicki
071028402
Przebudowa drogi powiatowej nr 4912E Dobroń-Ldzań, Gmina Dobroń
2 863 260,87 zł
2 692 431,35 zł
1 713 194,00 zł
849
13
2016-04-21
14:40
67.
Gmina Kobiele
Wielkie
062959165
Przebudowa drogi gminnej Kobiele Małe - Łowicz gm. Kobiele Wielkie
2 236 646,54 zł
2 173 357,05 zł
1 382 907,00 zł
790
13
2016-04-11
11:40
68.
Gmina Buczek
062586105
Przebudowa drogi gminnej nr 103110E Malenia-Sowińce-Grzeszyn
2 534 955,96 zł
2 534 955,96 zł
1 612 992,00 zł
696
13
2016-04-28
10:20
69.
Gmina
Sędziejowice
062683971
Przebudowa drogi gminnej Nr 103055 E Kamostek - Kolonia Kamostek - Sędziejowice (ul.
Dolna w m. Sędziejowice)
1 643 277,26 zł
1 297 155,59 zł
825 380,00 zł
677
13
2016-04-27
12:38
70.
Gmina Rozprza
062381853
Budowa dróg gminnych ul. Słoneczna i Lipowa w miejscowości Milejów
1 704 376,23 zł
1 591 587,13 zł
1 012 726,00 zł
647
13
2016-04-27
10:34
71.
Gmina Rozprza
062381853
Przebudowa drogi gminnej w m. Janówka oraz ulicy Lazurowej w Milejowie
1 553 235,74 zł
1 302 930,68 zł
829 054,00 zł
647
13
2016-04-27
10:35
72.
Gmina Mokrsko
062061241
Rozbudowa drogi gminnej nr P117064E w miejscowości Komorniki oraz przebudowa drogi
wewnętrznej
782 955,31 zł
776 748,32 zł
494 244,00 zł
595
13
2016-04-27
13:22
73.
Gmina Żelechlinek
061929501
Budowa drogi dojazdowej w miejscowości Żelechlinek
370 140,05 zł
348 345,57 zł
221 652,00 zł
556
13
2016-04-28
11:05
74.
Gmina Żelechlinek
061929501
Budowa drogi gminnej Nr 116521E od ul. Wojska Polskiego do ul. Rawskiej
1 613 206,27 zł
1 311 902,36 zł
834 763,00 zł
556
13
2016-04-28
11:05
75.
Gmina Góra
Świętej Małgorzaty
062681311
Przebudowa drogi gminnej nr 311517E relacji Bryski – Żabokrzeki Gmina Góra Św.
Małgorzaty
1 398 166,67 zł
1 272 521,16 zł
809 705,00 zł
514
13
2016-04-27
14:16
76.
Gmina Góra
Świętej Małgorzaty
062681311
Przebudowa drogi gminnej Nr 311515 relacji Gaj Stary - Gaj Nowy Gmina Góra św.
Małgorzaty
959 052,26 zł
810 594,23 zł
515 781,00 zł
478
13
2016-04-27
14:14
77.
Powiat Poddębicki
065280494
Przebudowa dróg powiatowych na terenie powiatu Poddębickiego 3727E odc. Biernacice Felicjanów dł. 2,3 km
1 259 411,18 zł
1 259 411,18 zł
801 363,00 zł
477
13
2016-04-28
11:14
78.
Gmina Góra
Świętej Małgorzaty
062681311
Przebudowa drogi gminnej Nr 311513 relacji Marynki - Tum Gmina Góra św. Małgorzaty
1 426 929,22 zł
1 304 977,83 zł
830 357,00 zł
443
13
2016-04-27
14:13
79.
Gmina Godzianów
063209294
Przebudowa drogi wewnętrznej, działka ew. 105 w miejscowości Byczki na dł. 990m
518 161,94 zł
518 161,94 zł
329 706,00 zł
420
13
2016-04-26
13:10
80.
Gmina Godzianów
063209294
Przebudowa drogi gminnej nr 115105E relacji Byczki - Lnisno na dł. 990,0 m
1 001 751,09 zł
1 001 751,09 zł
637 414,00 zł
420
13
2016-04-26
13:11
81.
Powiat Sieradzki
071650740
Przebudowa drogi powiatowej nr 1700E Glinno - Włyń
3 784 186,50 zł
3 710 431,83 zł
2 360 947,00 zł
412
13
2016-04-27
10:48
82.
Gmina Cielądz
063085060
Przebudowa drogi gminnej nr 116352E Stolniki-Kuczyzna
594 176,52 zł
577 210,86 zł
367 279,00 zł
385
13
2016-04-28
11:59
83.
Gmina Uniejów
062479844
Przebudowa drogi gminnej nr 111172E w miejscowości Wilamów
173 018,57 zł
166 428,07 zł
105 897,00 zł
352
13
2016-04-28
10:40
84.
Gmina Będków
062723126
Przebudowa dróg gminnych nr 116014E we wsi Gutków oraz nr 116016E we wsi Rzeczków
- "Rzeczków Wieś"
514 076,98 zł
514 076,98 zł
327 106,00 zł
339
13
2016-04-27
9:47
85.
Gmina Będków
062723126
Przebudowa drogi gminnej nr 116015E we wsi Prażki
286 958,97 zł
286 958,97 zł
182 591,00 zł
335
13
2016-04-27
9:46
86.
Powiat Łęczycki
064583276
Modernizacja drogi powiatowej Nr 2500E na odcinku Walew - Mazew
1 312 553,74 zł
1 251 802,53 zł
796 521,00 zł
333
13
2016-04-28
10:51
87.
Gmina Uniejów
062479844
Przebudowa drogi gminnej w miejscowości Spycimierz,gm. Uniejów
851 395,03 zł
835 465,12 zł
531 605,00 zł
326
13
2016-04-28
10:43
88.
Gmina Kobiele
Wielkie
062959165
Budowa drogi gminnej Biestrzyków Wielki - Biestrzyków Mały gm. Kobiele Wielkie
1 994 292,32 zł
1 981 315,62 zł
1 260 711,00 zł
282
13
2016-04-11
11:41
89.
Gmina Lututów
063208495
Przebudowa drogi gminnej nr 117102E w miejscowości Świątkowice gmina Lututów
146 667,76 zł
146 667,76 zł
93 324,00 zł
272
13
2016-04-28
11:59
90.
Gmina Rokiciny
062107671
Przebudowa drogi gminnej nr 106270E w miejscowości Stare Chrusty
2 962 592,22 zł
2 375 928,73 zł
1 511 803,00 zł
249
13
2016-04-28
10:25
91.
Gmina i Miasto
Drzewica
061958153
Przebudowa drogi powiatowej nr 3111E w Radzicach Dużych
778 508,79 zł
576 535,52 zł
366 849,00 zł
243
13
2016-04-27
12:08
92.
Gmina Słupia
063059895
Poprawa dostępności komunikacyjnej gminy Słupia poprzez przebudowę drogi dminnej na
115401E i dwóch dróg wewnetrznych w miejscowosci Słupia
2 856 183,31 zł
2 846 908,68 zł
1 811 487,00 zł
216
13
2016-04-28
11:00
93.
Gmina Koluszki
062476834
Przebudowa drogi gminnej nr 106261E we wsi Zygmuntów, gmina Koluszki
1 362 680,44 zł
1 160 126,61 zł
738 188,00 zł
178
13
2016-04-28
10:21
94.
Gmina Dalików
061941060
Przebudowa drogi w miejscowości Sarnów
1 007 770,50 zł
896 763,88 zł
570 610,00 zł
177
13
2016-04-28
9:44
95.
Gmina Brzeziny
063081436
Przebudowa drogi gminnej Nr 121003E w miejscowości Poćwiardówka
1 061 526,11 zł
944 183,68 zł
600 784,00 zł
160
13
2016-04-27
12:01
96.
Gmina
Aleksandrów
062954695
Przebudowa drogi powiatowej nr 3118 Prymusowa Wola -Paradyż -Skórkowice -Reczków
w miejscowości Siucice - Kolonia
882 210,14 zł
869 910,14 zł
553 523,00 zł
136
13
2016-04-26
13:22
97.
Gmina Wróblew
063467824
Przebudowa drogi dojazdowej w miejscowości Józefów
624 965,47 zł
589 707,59 zł
375 230,00 zł
129
13
2016-04-22
10:25
98.
Gmina Dalików
061941060
Przebudowa drogi gminnej Kuciny - Dąbrówka Górna
583 592,21 zł
469 499,05 zł
298 742,00 zł
109
13
2016-04-28
9:46
569 894,81 zł
481 266,79 zł
306 230,00 zł
108
13
2016-04-28
8:36
242 911,61 zł
210 100,02 zł
133 686,00 zł
14
13
2016-04-28
9:45
99.
Gmina Burzenin
063819014
Przebudowa drogi gminnej
Waszkowskie – Jarocice wraz z elementami szerokopasmowej infrastruktury
teleinformatycznej
100.
Gmina Dalików
061941060
Przebudowa drogi w miejscowości Huta Bardzyńska
101. Gmina Gorzkowice
062416123
Przebudowa Rynku w Gorzkowicach wraz z przebudową infrastruktury technicznej wodnokanalizacyjnej
4 465 278,25 zł
3 631 055,49 zł
2 310 439,00 zł
3483
12
2016-04-27
9:19
102.
Gmina Maków
061898454
Przebudowa kluczowych dla rozwoju gminy dróg lokalnych - przebudowa drogi gminnej nr
105301E w miejscowościach Maków, Maków-Kolonia, Wola Makowska
2 204 114,61 zł
2 086 367,17 zł
1 327 555,00 zł
2466
12
2016-04-27
13:21
103.
Gmina i Miasto
Szadek
065201735
Przebudowa drogi gminnej publicznej nr 119107E w Szadku, ul. Glinianki, gmina Szadek
1 178 626,09 zł
1 156 173,71 zł
735 673,00 zł
2027
12
2016-04-26
12:54
104.
Gmina Radomsko
062541793
Przebudowa ulicy Kolumba w miejscowości Strzałków
242 550,14 zł
242 550,14 zł
154 334,00 zł
1824
12
2016-04-07
9:15
105.
Gmina Galewice
063471264
Przebudowa drogi gminnej nr 118273E Galewice - Kaski - Dąbrówka
1 803 821,26 zł
1 651 971,17 zł
1 051 149,00 zł
1684
12
2016-04-27
14:40
106.
Gmina Ujazd
062581655
Przebudowa drogi gminnej w miejscowości Ujazd, ul. Antolin
904 767,00 zł
799 735,59 zł
508 871,00 zł
1651
12
2016-04-27
12:31
107.
Powiat Wieluński
071547804
Przebudowa drogi powiatowej NR 4510E Wieluń - Mokrsko - Bolesławiec w miejscowości
Mokrsko
2 395 763,80 zł
2 043 617,65 zł
1 300 353,00 zł
1500
12
2016-04-21
10:55
108.
Gmina Widawa
063598531
Przebudowa drogi gminnej Nr 114208E w miejscowościach Widawa i Dębina
2 435 865,34 zł
2 150 916,96 zł
1 368 628,00 zł
1383
12
2016-04-27
14:02
109.
Gmina Maków
061898454
Przebudowa kluczowych dla rozwoju gminy dróg lokalnych - przebudowa drogi gminnej nr
115258E w miejscowości Słomków
1 529 641,17 zł
1 529 641,17 zł
973 310,00 zł
1268
12
2016-04-27
13:23
110.
Powiat Kutnowski
071407060
Przebudowa drogi powiatowej Nr 2145E Łanięta-Imielno-Ostrowy-Dąbrowice - etap II od
km 10+964 do km 15+918
4 558 697,28 zł
4 356 121,65 zł
2 771 800,00 zł
1193
12
2016-04-27
13:26
111.
Gmina Lubochnia
062056956
Rozbudowa skrzyżowania ul. Tomaszowskiej, ul. Łódzkiej oraz Placu W. Jagiełły (ul. W.
Bogusławskiego) w miejscowości Lubochnia i Lubochnia Dworska
1 900 760,00 zł
1 697 772,63 zł
1 080 292,00 zł
1034
12
2016-04-28
8:49
112.
Powiat Łódzki
Wschodni
070709744
Modernizacja drogi powiatowej nr 2926E w miejscowości Pałczew i Wola Rakowa
893 612,32 zł
831 359,09 zł
528 993,00 zł
903
12
2016-04-27
14:41
113.
Gmina Grabów
063069632
Przebudowa drogi gminej w miejscowości Brudzeń - Grabów
801 554,74 zł
801 554,74 zł
510 029,00 zł
897
12
2016-04-28
9:37
114.
Gmina Opoczno
063146134
Rozbudowa grogi gminnej nr 107157E Wola Załężna - Szkoła Podstawowa wraz z
rozbudową mostu w Woli Załężnej
2 778 522,72 zł
2 284 203,14 zł
1 453 438,00 zł
822
12
2016-04-28
11:19
115.
Gmina Maków
061898454
Przebudowa kluczowych dla rozwoju gminy dróg lokalnych - przebudowa drogi gminnej nr
115264 E w miejscowości Wola Makowska
429 372,74 zł
347 151,60 zł
220 892,00 zł
693
12
2016-04-27
13:24
116.
Gmina Żytno
062051284
Przebudowa drogi lokalnej, ul. Kopernika i ul. Armii Krajowej w Żytnie
160 297,38 zł
151 067,45 zł
96 124,00 zł
685
12
2016-04-25
9:26
117.
Gmina
Wielgomłyny
062063090
Przebudowa drogi gminnej Nr 112552E Kruszyna - Rudka - Krzętów - Wola Życińska Ciężkowiczki, gm. Żytno na odcinku w miejscowości Krzętów
1 167 262,70 zł
1 064 752,60 zł
677 502,00 zł
680
12
2016-04-28
8:37
118.
Gmina Czarnożyły
063254536
Chodnik jednostronny z przebudową drogi gminnej nr 117457E na odcinku Czarnożyły Wydrzyn
521 417,28 zł
460 851,72 zł
293 239,00 zł
670
12
2016-04-14
12:20
119.
Powiat Łęczycki
064583276
Modernizacja (przebudowa) drogi powiatowej Nr 2521E na odcinku Topola Królewska Błonie
992 943,48 zł
942 258,07 zł
599 558,00 zł
668
12
2016-04-28
10:52
120.
Gmina Zduńska
Wola
063583591
Przebudowa drogi gminnej w miejscowości Tymienice w Gminie Zduńska Wola
910 063,73 zł
527 646,99 zł
335 741,00 zł
660
12
2016-04-27
12:14
121.
Gmina Łęki
Szlacheckie
062730515
Przebudowa drogi powiatowej nr 3926E Kobiele Wielkie - Lubień na odcinku od km 18+959
do km 27+427
2 364 892,16 zł
2 363 139,97 zł
1 503 665,00 zł
621
12
2016-04-26
13:00
122.
Gmina Pątnów
061964691
Rozbudowa i przebudowa drogi gminnej Nr 117151E w miejscowości Kamionka
1 440 253,24 zł
1 319 176,41 zł
839 391,00 zł
603
12
2016-04-28
8:42
123.
Gmina Czarnożyły
063254536
Rozbudowa drogi gminnej Nr 117456E Wydrzyn-Gromadzice w miejscowości Wydrzyn
2 304 783,51 zł
2 027 292,97 zł
1 289 966,00 zł
578
12
2016-04-14
12:42
124.
Gmina Lubochnia
062056956
Budowa drogi w miejscowości Marianka, w gminie Lubochnia
1 098 697,03 zł
1 020 428,37 zł
649 298,00 zł
569
12
2016-04-28
8:48
125.
Gmina Lipce
Reymontowskie
062398346
Przebudowa drogi gminnej nr 115202E Drzewce - do granicy gminy Słupia
1 563 768,39 zł
1 146 213,25 zł
729 335,00 zł
566
12
2016-04-28
9:41
126.
Gmina Strzelce
063472811
Przebudowa nawierzchni drogi gminnej w miejscowości Dębina Gmina Strzelce
941 586,45 zł
941 586,45 zł
599 131,00 zł
554
12
2016-04-28
9:33
127.
Gmina Nowosolna
062730651
Budowa drogi osiedlowej w Lipinach
1 038 213,70 zł
951 931,67 zł
605 714,00 zł
467
12
2016-04-27
14:10
128.
Gmina
Aleksandrów
Łódzki
062173080
Budowa nawierzchni utwardzonej grogi gminnej Nowy Adamów - Sanie w Gminie
Aleksandrów Łódzki
1 687 969,98 zł
1 369 503,66 zł
871 415,00 zł
448
12
2016-04-28
9:57
129.
Powiat
Zduńskowolski
070872644
Przebudowa drogi powiatowej Nr 4909E na odcinku Choszczewo - Krokocice - Lichawa
4 188 148,00 zł
3 616 163,33 zł
2 300 964,00 zł
409
12
2016-04-28
8:34
130.
Gmina Koluszki
062476834
Przebudowa drogi gminnej nr 106263E ul. Strażackiej we wsi Będzelin, gmina Koluszki
1 709 825,35 zł
1 703 957,68 zł
1 084 228,00 zł
407
12
2016-04-28
10:23
131.
Gmina Czarnożyły
063254536
Przebudowa drogi gminnej Nr 117103E Biała Parcela grunty Gminy Biała - Łagiewniki w
miejscowości Łagiewniki
1 114 951,67 zł
844 023,70 zł
537 052,00 zł
404
12
2016-04-26
13:07
132.
Powiat Poddębicki
065280494
Przebudowa dróg powiatowych na terenie powiatu Poddębickiego 2526E odc. Wielenin Miniszew dł. 2,49 km
1 427 051,38 zł
1 427 051,38 zł
908 032,00 zł
382
12
2016-04-28
11:14
133.
Gmina Nowe
Ostrowy
063029783
Rozbudowa drogi gminnej nr 102318E w miejscowości Grochów, Nowe Grodno i Grodno,
gmina Nowe Ostrowy
1 962 036,42 zł
1 876 096,07 zł
1 193 759,00 zł
376
12
2016-04-27
13:46
134.
Gmina Świnice
Warckie
062734201
Przebudowa drogi gminnej nr 104464E
624 448,82 zł
600 411,65 zł
382 041,00 zł
375
12
2016-04-27
12:10
135.
Gmina Żytno
062051284
Przebudowa drogi lokalnej Silniczka - Barycz, gm. Żytno
289 579,63 zł
287 079,18 zł
182 668,00 zł
373
12
2016-04-25
9:27
136.
Gmina Ręczno
062482061
Budowa drogi gminnej k/remizy OSP w miejscowości Bąkowa Góra Gmina Ręczno.
Zadanie inwestycyjne: Budowa drogi gminnej nr 110317 Bąkowa Góra - cmentarz
448 289,90 zł
380 356,83 zł
242 021,00 zł
349
12
2016-04-26
11:30
137.
Powiat Wieluński
071547804
Przebudowa drogi powiatowej Nr 4545E Sieniec - Masłowice - Lututów w m. Staw wraz z
budową kanalizacji deszczowej dla potrzeb odwodnienia drogi
1 317 285,21 zł
1 232 001,10 zł
783 922,00 zł
339
12
2016-04-21
10:56
138.
Gmina Łask
063206264
Przebudowa drogi gminnej nr 103212E we wsi Rokitnica
2 418 799,34 zł
2 256 816,38 zł
1 436 012,00 zł
313
12
2016-04-28
11:56
139.
Gmina Żytno
062051284
Przebudowa drogi wewnętrznej w miejscowości Maluszyn
464 573,87 zł
464 573,87 zł
295 608,00 zł
300
12
2016-04-07
11:05
140.
Gmina Zduńska
Wola
063583591
Przebudowa drogi gminnej w miejscowości Wymysłów o długości 743,00 mb
278 067,22 zł
278 067,22 zł
176 934,00 zł
281
12
2016-04-27
12:17
141.
Gmina Kodrąb
063046506
Przebudowa drogi gminnej nr 112258E Zapolice-Kol. Rzejowice - I etap
405 617,26 zł
329 770,13 zł
209 832,00 zł
280
12
2016-04-27
11:29
142.
Gmina Strzelce
063472811
Przebudowa nawierzchni drogi gminnej w miejscowości Muchnów- Marianów Gmina
Strzelce
782 263,92 zł
782 263,92 zł
497 754,00 zł
280
12
2016-04-28
9:31
143.
Gmina Rokiciny
062107671
Przebudowa drogi gminnej nr 116303E Rokiciny Kolonia - Kolonia Łaznów Etap I
2 409 816,32 zł
2 334 720,28 zł
1 485 582,00 zł
232
12
2016-04-28
10:26
144.
Gmina Żytno
062051284
Przebudowa drogi lokalnej Grodzisko - Jarzębina, gm. Żytno
294 017,06 zł
294 017,06 zł
187 083,00 zł
222
12
2016-04-07
11:00
145.
Gmina Głowno
063190102
Przebudowa drogi gminnej nr 10506E w Woli Zbrożkowej
230 751,44 zł
230 751,44 zł
146 827,00 zł
222
12
2016-04-28
9:49
146.
Gmina Góra
Świętej Małgorzaty
062681311
Przebudowa drogi gminnej nr 311516 relacji Gaj Nowy - Żabokrzeki Gmina Góra św.
Małgorzaty
426 978,48 zł
396 850,36 zł
252 515,00 zł
209
12
2016-04-27
14:15
147.
Gmina Mniszków
062565681
Przebudowa drogi gminnej nr 107108E przez miejscowości Konstantynów-Marianka, gmina
Mniszków
626 041,17 zł
604 016,79 zł
384 335,00 zł
203
12
2016-04-28
9:13
148.
Gmina Nowe
Ostrowy
063029783
Poprawa standardu korzystania z drogi gminnej nr 102859E w msc. Bzówki poprzez jej
przebudowę na dł. 917,4 mb
280 334,22 zł
279 685,79 zł
177 964,00 zł
201
12
2016-04-27
13:45
149.
Gmina Nowe
Ostrowy
063029783
Przebudowa drogi wewnętrznej w msc. Imielno gmina Nowe Ostrowy
180 928,36 zł
170 091,58 zł
108 229,00 zł
186
12
2016-04-27
13:47
150.
Gmina Lipce
Reymontowskie
062398346
Przebudowa drogi gminnej nr 121054E w miejscowości Wólka Krosnowska i Wólka
Podlesie
2 588 683,28 zł
2 552 931,26 zł
1 624 430,00 zł
167
12
2016-04-28
9:42
151.
Gmina
Wielgomłyny
062063090
Przebudowa drogi gminnej Nr 112203E Babczów gm. Kobiele Wielkie-KarczówNiedośpielin gm. Wielgomłyny na odcinku w miejscowości Karczów
921 348,97 zł
839 045,61 zł
533 884,00 zł
161
12
2016-04-28
8:50
152.
Gmina i Miasto
Szadek
065201735
Przebudowa drogi gminnej publicznej nr 119056E w sołectwie Dziadkowice, gmina Szadek
592 892,98 zł
592 892,98 zł
377 257,00 zł
152
12
2016-04-26
12:55
153.
Gmina Czarnożyły
063254536
Przebudowa dróg gminnych Nr 117451E, Nr 117454 oraz drogi wewnętrznej w
miejscowości Kąty
687 179,26 zł
596 465,43 zł
379 530,00 zł
150
12
2016-04-21
10:57
154.
Gmina Rzeczyca
061941641
Przebudowa drogi gminnej relacji Wiechnowice - Sierzchowy (gm.Cielądz)
680 762,69 zł
674 169,30 zł
428 973,00 zł
132
12
2016-04-28
11:02
155.
Gmina i Miasto
Szadek
065201735
Przebudowa drogi gminnej w sołectwie Rzepiszew łączącej miejscowości Rzepiszew i
Antonin, gmina Szadek
156.
Gmina Kodrąb
063046506
Przebudowa drogi gminnej nr 112256E Przydatki Dmenińskie - Teodorów Duży
157.
Gmina Paradyż
062081451
Przebudowa drogi gminnej w Alfonsowie
158.
Gmina Łask
063206264
Przebudowa drogi gminnej nr 103209E Mauryca-Teodory
159.
Gmina Grabów
063069632
160.
Gmina Grabów
161.
300 670,32 zł
300 670,32 zł
191 316,00 zł
131
12
2016-04-15
12:40
1 435 236,20 zł
1 166 858,70 zł
742 472,00 zł
108
12
2016-04-27
11:30
166 907,64 zł
165 289,97 zł
105 174,00 zł
105
12
2016-04-28
11:59
1 516 575,31 zł
1 385 699,55 zł
881 720,00 zł
102
12
2016-04-28
11:56
Przebudowa drogi gminnej w miejscowości Kurzjama na odcinku 2,430 km.
650 663,63 zł
650 663,63 zł
414 017,00 zł
92
12
2016-04-28
9:38
063069632
Poprawa infrastruktury drogowej w Gminie Grabów poprzez przebudowę drogi gminnej o
numerze 104123E.
995 753,86 zł
979 311,69 zł
623 136,00 zł
76
12
2016-04-28
9:36
Gmina Głowno
063190102
Przebudowa drogi gminnej nr 120086E w Dąbrowie
146 104,65 zł
146 104,65 zł
92 966,00 zł
49
12
2016-04-28
9:48
162.
Gmina Przedbórz
062065940
Budowa drogi ul. Majowa Góra w Przedborzu
748 519,80 zł
699 148,97 zł
444 868,00 zł
3676
11
2016-04-26
14:37
163.
Gmina Przedbórz
062065940
Przebudowa i rozbudowa drogi ul. Korycińskiej w Przedborzu
1 029 577,86 zł
910 424,09 zł
579 302,00 zł
3676
11
2016-04-26
14:40
164.
Gmina Kamieńsk
063423030
Przebudowa ul. Ludowej w Kamieńsku
493 842,10 zł
493 842,10 zł
314 231,00 zł
2823
11
2016-04-26
12:05
165.
Gmina Gomunice
062747162
Przebudowa dróg gminnych w miejscowości Gomunice - ul. Orzeszkowej, Konopnickiej,
Sienkiewicza, Reja, Kochanowskiego, Leśnej.
1 016 620,91 zł
909 126,29 zł
578 477,00 zł
2403
11
2016-04-28
9:17
166.
Gmina i Miasto
Szadek
065201735
Przebudowa drogi gminnej nr 119176E, ul. Wilamowskiej i drogi gminnej nr 119173E ul.
Parkowej w Szadku, gmina Szadek
588 616,89 zł
545 816,68 zł
347 303,00 zł
2027
11
2016-04-15
12:50
167.
Powiat
Wieruszowski
069473131
Przebudowa drogi powiatowej nr 4726E Dzietrzkowice - Kolonia Dzietrzkowice - Wójcin
1 382 997,72 zł
1 313 157,42 zł
835 562,00 zł
1493
11
2016-04-27
14:38
168.
Gmina Ozorków
062305086
Przebudowa dróg gminnych w Gminie Ozorków
2 971 246,01 zł
2 958 416,52 zł
1 882 439,00 zł
1198
11
2016-04-25
14:20
169.
Powiat
Zduńskowolski
070872644
Przebudowa drogi powiatowej Nr 1765E we wsi Strońsko i 4916E na odcinku Strońsko Zapolice
4 431 601,31 zł
3 833 995,94 zł
2 439 571,00 zł
1098
11
2016-04-28
8:33
170.
Gmina Sadkowice
062152135
Przebudowa drogi gminnej nr 113210E Lubania-Kłopczyn
1 717 598,71 zł
1 717 598,71 zł
1 092 908,00 zł
1055
11
2016-04-27
12:55
171.
Gmina Pęczniew
065063141
Przebudowa ul. Sportowej w miejscowości Pęczniew
647 598,92 zł
613 678,92 zł
390 483,00 zł
828
11
2016-04-28
11:43
172.
Gmina Pęczniew
065063141
Zagospodarowanie terenu na Osiedlu 40-lecia PRL w miejscowośći Pęczniew
942 509,99 zł
942 509,99 zł
599 718,00 zł
828
11
2016-04-28
11:44
173.
Gmina Zgierz
061836294
Przebudowa drogi gminnej nr 120373E Dąbrówka Strumiany - Dąbrówka Marianka
2 025 705,71 zł
1 602 212,40 zł
1 019 487,00 zł
760
11
2016-04-28
10:37
174.
Gmina Paradyż
062081451
Przebudowa drogi gminnej w Paradyżu - ul. Lipowa
723 397,19 zł
648 654,92 zł
412 739,00 zł
757
11
2016-04-28
11:59
175.
Gmina Lubochnia
062056956
Przebudowa drogi gminnej nr 116257E przez miejscowości Nowy Olszowiec, Kochanów i
Nowy Jasień
176.
Gmina Łęczyca
062353284
Przebudowa drogi gminnej nr 312337 Leźnica Mała - Zduny, gmina Łęczyca
177.
Gmina i Miasto
Szadek
065201735
Przebudowa drogi gminnej Nr 119103E w sołectwach: Borki Prusinowskie; Góry
Prusinowskie; Karczówek; Kotliny, Kotlinki, Jamno; Prusinowice przecinającej się z drogą
gminną publiczną nr 119102E, gmina Szadek
178.
Gmina Mniszków
062565681
Przebudowa dróg w miejscowości Mniszków
179.
Gmina Nieborów
062308341
Przebudowa drogi gminnej nr 105351E Kompina-Patoki
180.
Gmina Nowosolna
062730651
181. Gmina Żelechlinek
182.
1 870 186,35 zł
1 851 103,67 zł
1 177 857,00 zł
656
11
2016-04-28
8:47
732 476,18 zł
620 348,78 zł
394 727,00 zł
610
11
2016-04-26
13:09
1 517 292,23 zł
1 517 292,23 zł
965 453,00 zł
568
11
2016-04-26
12:53
918 005,59 zł
906 782,81 zł
576 985,00 zł
564
11
2016-04-28
9:14
1 953 768,80 zł
1 946 410,77 zł
1 238 501,00 zł
537
11
2016-04-27
12:57
Przebudowa drogi gminnej nr 106312E Moskwa - Byszewy
790 955,74 zł
790 955,74 zł
503 285,00 zł
526
11
2016-04-27
14:06
061929501
Przebudowa drogi gminnej Świniokierz Dworski - Żelechlin
979 744,66 zł
976 669,66 zł
621 454,00 zł
495
11
2016-04-28
11:05
Gmina Lutomiersk
062356135
Przebudowa odcinka drogi gminnej w miejscowości Zalew
622 652,06 zł
578 825,98 zł
368 306,00 zł
472
11
2016-04-27
14:18
183.
Gmina Łęczyca
062353284
Przebudowa drogi gminnej wewnętrznej w miejscowości Borki (Celika), gmina Łęczyca
320 405,01 zł
284 902,00 zł
181 283,00 zł
458
11
2016-04-26
13:08
184.
Gmina Oporów
062353961
Przebudowa części drogi gminnej Nr 1020356E
1 095 567,69 zł
890 968,13 zł
566 923,00 zł
429
11
2016-04-28
9:20
185.
Gmina Uniejów
062479844
Przebudowa drogi gminnej w miejscowości Czepów, gm. Uniejów
424 596,96 zł
419 660,05 zł
267 028,00 zł
395
11
2016-04-28
10:44
186.
Gmina Kamieńsk
063423030
Przebudowa drogi wewnętrznej w miejscowości Ochocice
531 491,52 zł
531 491,52 zł
338 188,00 zł
345
11
2016-04-26
12:00
187.
Gmina Łowicz
062178710
Przebudowa drogi w miejscowości Strzelcew na terenie gminy Łowicz
1 406 464,50 zł
1 406 464,50 zł
894 933,00 zł
335
11
2016-04-28
10:07
188.
Gmina
Moszczenica
062136840
Budowa drogiw ulicy Zacisze w miejscowości Michałów
525 117,89 zł
481 346,76 zł
306 280,00 zł
325
11
2016-04-28
9:04
189.
Gmina Gidle
062475061
Przebudowa drogi gminnej 112051E Pławno-Zberezka na odcinku 1350 m, gmina Gidle
1 127 456,13 zł
1 047 846,21 zł
666 744,00 zł
323
11
2016-04-27
11:55
190.
Gmina Nowosolna
062730651
Budowa drogi przy cmentarzu w Starych Skoszewach
62 075,71 zł
62 075,71 zł
39 498,00 zł
319
11
2016-04-27
14:09
191.
Gmina Pęczniew
065063141
Przebudowa polegająca na modernizacji drogi Zbiornik Jeziorsko - Popów - Siedlątków (na
odcinku od drogi powiatowej Nr 3712 E do drogi powiatowej Nr 3713 E)
514 885,72 zł
514 885,72 zł
327 621,00 zł
299
11
2016-04-28
11:39
192.
Gmina Sadkowice
062152135
Przebudowa drogi gminnej nr 113014E Nowe Szwejki - Rzymiec
2 123 445,65 zł
2 123 445,65 zł
1 351 147,00 zł
249
11
2016-04-27
12:53
193.
Gmina Sadkowice
062152135
Przebudowa drogi wewnętrznej w miejscowości Jajkowice
666 079,82 zł
666 079,82 zł
423 826,00 zł
242
11
2016-04-27
12:56
194.
Gmina Sławno
062174536
Rozbudowa drogi gminnej nr 107302E na odcinku Unewel-Olszewice
4 625 263,10 zł
4 341 585,89 zł
2 762 551,00 zł
232
11
2016-04-28
10:02
195.
Gmina
Moszczenica
062136840
Przebudowa ul. Głównej w miejscowości Raków Duży
1 824 145,74 zł
1 380 981,46 zł
878 717,00 zł
215
11
2016-04-28
9:05
196.
Gmina Chąśno
062062704
Przebudowa drogi gminnejw miejscowości Chąśno
1 623 298,15 zł
1 615 958,18 zł
1 028 234,00 zł
211
11
2016-04-28
10:01
197. Gmina Żelechlinek
061929501
Przebudowa drogi w miejscowości Czerwonka
333 555,96 zł
330 480,96 zł
210 285,00 zł
207
11
2016-04-28
11:05
198.
Gmina Lutomiersk
062356135
Przebudowa drogi w Prusinowicach
281 880,22 zł
264 493,34 zł
168 297,00 zł
198
11
2016-04-27
14:17
199.
Gmina
Wielgomłyny
062063090
PRZEBUDOWA DROGI GMINNEJ NR 112556E ROGI - WOLA ŻYCIŃSKA, GM.
WIELGOMŁYNY
1 481 914,78 zł
1 460 414,78 zł
929 261,00 zł
177
11
2016-04-28
8:46
200.
Gmina Nowosolna
062730651
Przebudowa drogi gminnej nr 106301E w miejscowości Wiączyń Dolny
446 472,51 zł
446 472,51 zł
284 090,00 zł
169
11
2016-04-27
14:11
201.
Gmina Pęczniew
065063141
Przebudowa drogi gminnej nr 111103E Suchorzyn-Dybów
397 507,24 zł
397 507,24 zł
252 933,00 zł
144
11
2016-04-28
11:41
202.
Gmina Żychlin
063214143
Przebudowa drogi w miejscowości Czesławów - Drzewoszki Wielkie, Gmina Żychlin
1 269 523,15 zł
1 197 643,09 zł
762 060,00 zł
142
11
2016-04-27
9:08
203.
Gmina Pęczniew
065063141
Przebudowa polegająca na modernizacji drogi gminnej nr 111006E (na odcinku od drogi
powiatowej nr 3717E do granicy gminy Zadzim (Charchów Pański))
207 367,66 zł
207 367,66 zł
131 947,00 zł
140
11
2016-04-28
11:47
204.
Gmina Mniszków
062565681
Przebudowa drogi gminnej nr 107107E w miejscowości Prucheńsko Małe, gmina Mniszków
487 748,16 zł
474 533,53 zł
301 945,00 zł
129
11
2016-04-28
9:12
205.
Gmina Poddębice
062971590
Budowa drogi oznaczonej nr geodezyjnym 6/2, 65 i 81 obręb PGR Góra Bałdrzychowska i
Kolonia Góra Bałdrzychowska - od drogi powiatowej 3707E dł 950,0 m
527 231,71 zł
517 655,01 zł
329 383,00 zł
129
11
2016-04-28
9:38
206.
Gmina
Moszczenica
062136840
Budowa drogi w miejscowości Raciborowice
928 473,55 zł
813 292,55 zł
517 497,00 zł
113
11
2016-04-28
9:06
207. Gmina Krośniewice
062363743
Przebudowa drogi gminnej Krośniewice - Głaznów - Bardzinek w miejscowości Głaznów
odc. I od km 0+000 do km 1+329 - etap II
1 366 087,76 zł
1 322 426,69 zł
841 460,00 zł
97
11
2016-04-01
10:50
208.
Gmina Paradyż
062081451
Przebudowa drogi gminnej nr 107201E
660 311,94 zł
404 937,37 zł
257 661,00 zł
91
11
2016-04-28
11:59
209.
Gmina Poddębice
062971590
Przebudowa drogi gminnej nr 111015E Małe - Brzezinki - Tarnowa - Józefka - Adamów G. Bałdrzychowska - Zagórzyce - Bałdrzychów na odcinku od drogi krajowej nr 72 do drogi
powiatowej nr 3708E
1 090 141,10 zł
1 081 122,49 zł
687 918,00 zł
86
11
2016-04-28
9:39
210. Gmina Żelechlinek
061929501
Przebudowa drogi w miejscowości Julianów
214 316,41 zł
211 241,41 zł
134 412,00 zł
79
11
2016-04-28
11:05
211.
Gmina Oporów
062353961
Przebudowa drogi gminnej Nr 102152E
525 791,62 zł
427 645,91 zł
272 110,00 zł
61
11
2016-04-28
9:21
212.
Gmina Lutomiersk
062356135
Przebudowa odcinka drogi gminnej w Mikołajewicach
560 971,39 zł
529 399,65 zł
336 856,00 zł
57
11
2016-04-27
14:19
213.
Gmina Ksawerów
063156496
Przebudowa dróg gminnych w miejscowości Ksawerów
2 099 261,25 zł
1 706 716,46 zł
1 085 983,00 zł
6940
10
2016-04-28
11:00
214.
Powiat Rawski
071304573
Przebudowa drogi powiatowej nr 1334E (Zawady) - Biała Rawska
1 664 259,37 zł
1 664 259,37 zł
1 058 968,00 zł
3404
10
2016-04-28
8:32
215.
Gmina Osjaków
063098160
Przebudowa drogi gminnej - części ul. Wieluńskiej i ul. Spacerowej w Osjakowie
390 716,04 zł
387 746,54 zł
246 723,00 zł
1332
10
2016-04-28
10:00
216. Gmina Czerniewice
062343151
Przebudowa drogi gminnej nr 116110E Czerniewice-Zagóry-Lipie
3 903 192,40 zł
3 831 551,63 zł
2 438 016,00 zł
1188
10
2016-04-28
10:30
217.
Gmina Koluszki
062476834
Przebudowa ul. Szkolnej w Żakowicach, gmina Koluszki
760 315,51 zł
691 680,19 zł
440 116,00 zł
1063
10
2016-04-28
10:22
218.
Gmina Mokrsko
062061241
Przebudowa drogi gminnej nr P 117060E, w miejscowości Krzyworzeka na odcinku 715,75
metrów
1 243 123,18 zł
975 995,20 zł
621 025,00 zł
991
10
2016-04-27
13:25
219.
Gmina Łask
063206264
Budowa dróg we wsi Kolonia i Okup Wielki w ramach zadania "Budowa drogi w Kolonia
Bilew"
2 312 959,96 zł
2 162 055,22 zł
1 375 715,00 zł
956
10
2016-04-28
11:56
220.
Gmina Nowosolna
062730651
Przebudowa dróg osiedlowych w sołectwie Grabina
1 030 873,98 zł
1 030 873,98 zł
655 945,00 zł
797
10
2016-04-28
10:58
221.
Gmina Zduńska
Wola
063583591
Przebudowa drogi gminnej w miejscowości Wojsławice o długości 417,00 m
166 551,16 zł
166 551,16 zł
105 976,00 zł
790
10
2016-04-27
12:18
222. Gmina Wartkowice
060136235
Rozbudowa drogi gminnej nr 111219EWartkowice ul. Nasienna - Ner - Kolonia
1 335 337,04 zł
1 181 712,03 zł
751 923,00 zł
767
10
2016-04-28
10:56
223.
Gmina Brzeźnio
062979131
Przebudowa ulicy Spacerowej w miejscowości Brzeźnio - etap 2
179 802,56 zł
179 802,56 zł
114 408,00 zł
761
10
14-03-2016
13:46
224.
Gmina Brzeźnio
062979131
Przebudowa ul. Leśnej w m. Brzeźnio
669 215,89 zł
593 163,49 zł
377 429,00 zł
761
10
2016-04-28
11:59
225.
Gmina Opoczno
063146134
Przebudowa drogi wewnetrznej Bukowiec Opoczyński - Komorniki
885 855,10 zł
714 225,45 zł
454 461,00 zł
704
10
2016-04-28
11:19
226.
Powiat Rawski
071304573
Przebudowa drogi powiatowej nr 4108E Wałowice-Wilkowice wraz z przebudową
skrzyżowania z droga powiatową nr 1316E (Pod Borem) - (Raducz) w m. Wilkowice
901 676,67 zł
901 676,67 zł
573 736,00 zł
684
10
2016-04-28
8:30
227.
Gmina Konopnica
063257386
Remont drogi gminnej w miejscowości Rychłocice - Kolonia Piekło
368 179,46 zł
368 179,46 zł
234 272,00 zł
683
10
2016-04-28
9:54
228.
Gmina Zduńska
Wola
063583591
Przebudowa dróg gminnych w miejscowości Tymienice o długości
545,00 mb oraz 480,00 mb
389 873,47 zł
389 873,47 zł
248 076,00 zł
660
10
2016-04-27
12:16
229.
Gmina Zduńska
Wola
063583591
Przebudowa drogi gminnej w miejscowości Tymienice
88 641,29 zł
88 641,29 zł
56 402,00 zł
660
10
2016-04-27
12:19
230. Gmina Bolesławiec
063594722
Przebudowa drogi gminnej w miejscowości Mieleszyn
512 441,03 zł
494 433,95 zł
314 608,00 zł
656
10
2016-04-27
10:00
231.
Gmina Drużbice
062959341
Przebudowa drogi gminnej w miejscowści Nowa Wieś - Rasy - Bukowie Górne - Suchcice,
gm. Drużbice
2 191 463,43 zł
2 191 463,43 zł
1 394 427,00 zł
636
10
2016-04-28
10:36
232.
Gmina Nowosolna
062730651
Przebudowa ul. Akacjowej w Gminie Nowosolna
429 225,85 zł
429 225,85 zł
273 116,00 zł
617
10
2016-04-28
10:59
233.
Gmina Drużbice
062959341
Przebudowa drogi gminnej wraz z infrastrukturą techniczną w miejscowości Drużbice i
Drużbice-Kolonia, gmina Drużbice
1 265 580,97 zł
979 598,95 zł
623 318,00 zł
581
10
2016-04-28
10:35
234.
Gmina Zelów
063034584
Modernizacja drogi gminnej nr 101811E w miejscowości Łobudzice - dz. 224
506 716,16 zł
473 634,65 zł
301 373,00 zł
563
10
2016-04-28
10:27
235.
Gmina Brzeźnio
062979131
Przebudowa drogi w m. Dębołęka na działkach nr 271, 272 Gmina Brzeźnio
65 239,62 zł
65 239,62 zł
41 511,00 zł
511
10
2016-04-28
11:59
236.
Gmina Konopnica
063257386
Remont drogi gminnej w obrębie Strobin - Anielin
369 118,72 zł
369 118,72 zł
234 870,00 zł
482
10
2016-04-28
9:55
237.
Gmina Brzeźnio
062979131
Przebudowa drogi gminnej w miejscowości Ostrów (dz nr 567)
45 122,67 zł
45 122,67 zł
28 711,00 zł
450
10
2016-04-28
11:59
238.
Gmina Brzeźnio
062979131
Przebudowa drogi gminnej w miejscowości Ostrów (dz. nr 309)
54 504,85 zł
54 504,85 zł
34 681,00 zł
450
10
2016-04-28
11:59
239.
Gmina Nowosolna
062730651
Przebudowa ul. Narcyzowej w Kalonce
146 725,33 zł
146 725,33 zł
93 361,00 zł
436
10
2016-04-27
14:07
240.
Gmina Zelów
063034584
Przebudowa drogi gminnej nr 101201E Bocianicha - Karczmy
2 043 789,99 zł
2 043 789,99 zł
1 300 463,00 zł
397
10
2016-04-28
10:32
241.
Gmina Sulejów
062954783
ul. Kolska w miejscowości Koło
2 741 971,85 zł
2 459 629,83 zł
1 565 062,00 zł
372
10
2016-04-28
11:34
242.
Gmina Nowosolna
062730651
Przebudowa ul. Malinowej w Starych Skoszewach
141 476,44 zł
141 476,44 zł
90 021,00 zł
319
10
2016-04-27
14:08
243.
Gmina Brzeźnio
062979131
Przebudowa drogi w m. Pyszków na dz. Nr 214/2, 258
260 556,73 zł
260 556,73 zł
165 792,00 zł
298
10
2016-04-28
11:59
244.
Gmina Brzeźnio
062979131
Przebudowa drogi w m. Pyszków
604 366,51 zł
598 727,78 zł
380 970,00 zł
298
10
2016-04-28
11:59
245.
Gmina Osjaków
063098160
Przebudowa dróg w miejscowości Czernice
429 243,42 zł
410 024,63 zł
260 898,00 zł
292
10
2016-04-28
9:58
246. Gmina Dobryszyce
063194872
Przebudowa drogi gminnej w miejscowości Wiewiórów
446 702,01 zł
352 470,26 zł
224 276,00 zł
287
10
2016-04-27
12:23
247.
Gmina Strzelce
063472811
Przebudowa nawierzchni drogi gminnej w miejscowści Sójki gmina Strzelce
688 045,53 zł
688 045,53 zł
437 803,00 zł
261
10
2016-04-28
9:32
248.
Gmina Brzeźnio
062979131
Przebudowa drogi dojazdowej do gruntów rolnych w miejscowości Krzaki na działkach nr
140, 123, 60
102 111,04 zł
102 111,04 zł
64 973,00 zł
220
10
2016-04-28
11:59
249.
Gmina Brzeźnio
062979131
Przebudowa drogi w miejscowości Krzaki na działkach nr 140, 168, 45
129 796,60 zł
129 796,60 zł
82 589,00 zł
220
10
2016-04-28
11:59
250. Gmina Wodzierady
063156843
Przebudowa drogi gminnej nr 103406E Adolfów-Elodia-Pelagia-Stanisławów na odcinku od
0+000 km do km 1+680
663 358,83 zł
657 089,39 zł
418 105,00 zł
188
10
2016-04-28
9:27
251. Gmina Wartkowice
060136235
Rozbudowa drogi gminnej nr 111227E w miejscowości Dzierżawy
2 218 317,72 zł
2 087 770,81 zł
1 328 448,00 zł
166
10
2016-04-28
10:55
252.
Gmina Poddębice
062971590
Przebudowa drogi gminnej nr 111014E Nowa Wieś - Podgórcze
1 831 269,00 zł
1 793 945,16 zł
1 141 487,00 zł
155
10
2016-04-28
9:43
253.
Gmina Brzeźnio
062979131
Przebudowa drogi dojazdowej do gruntów rolnych w miejscowości Pustelnik
97 522,04 zł
97 522,04 zł
62 053,00 zł
128
10
2016-04-28
11:59
254.
Gmina Łanięta
062305062
Przebudowa drogi gminnej nr 102251E na działkach nr 61,62; obręb Zgoda oraz na
działkach nr 18/1, 18/3, 17/5; obręb Anielin - Pomarzany gmina Łanięta
530 968,17 zł
522 455,05 zł
332 438,00 zł
115
10
2016-04-14
8:40
255.
Gmina Konopnica
063257386
Zmiana nawierzchni drogi gminnej Będnów - Walków
126 695,41 zł
126 695,41 zł
80 616,00 zł
113
10
2016-04-28
9:56
256.
Gmina Parzęczew
061859360
Przebudowa drogi gminnej Nr 120274E - Florentynów, gmina Parzęczew
1 982 116,55 zł
1 875 622,67 zł
1 193 458,00 zł
84
10
2016-04-28
11:07
257.
Gmina Poświętne
062706974
Rozbudowa fragmentu drogi gminnej nr 107251E Łęg-Mysiakowiec
637 388,82 zł
575 136,08 zł
365 959,00 zł
81
10
2016-04-27
13:43
258.
Gmina Łanięta
062305062
Przebudowa (modernizacja) drogi gminnej nr 102268E w miejscowości Franciszków gmina
Łanięta
176 391,33 zł
176 391,33 zł
112 237,00 zł
70
10
2016-04-14
8:42
259.
Gmina Brzeźnio
062979131
Remont drogi dojazdowej do gruntów rolnych w miejscowości Rydzew odcinek II (DG
114159 E)
151 729,53 zł
151 729,53 zł
96 545,00 zł
40
10
2016-04-28
11:59
260.
Gmina Kocierzew
Południowy
062450830
Przebudowa drogi gminnej w miejscowości - Jeziorko - Biedaków
208 427,01 zł
208 427,01 zł
132 622,00 zł
12
10
2016-04-27
12:07
261.
Gmina
Moszczenica
062136840
Budowa dróg-ulic: Dębowej i Klonowej w miejscowości Wola Moszczenicka
451 678,04 zł
401 669,11 zł
255 581,00 zł
2017
9
2016-04-28
9:00
262.
Gmina
Moszczenica
062136840
Budowa dróg ulic :Dworskiej i Brzozowej w miejscowości Wola Moszczenicka
564 910,69 zł
509 036,72 zł
323 899,00 zł
2017
9
2016-04-28
9:01
263.
Gmina Ładzice
062705206
Przebudowa drogi gminnej Radziechowice Drugie - Ładzice oraz przebudowa zjazdu
publicznego z drogi powiatowej nr 1921E
401 050,29 zł
401 050,29 zł
255 188,00 zł
1039
9
2016-04-28
11:01
264.
Gmina Ładzice
062705206
Przebudowa drogi gminnej Ładzice - Wierzbica oraz przebudowa zjazdu publicznego z
drogi powiatowej nr 3927E
859 426,11 zł
859 426,11 zł
546 852,00 zł
1024
9
2016-04-28
11:01
265.
Gmina Bolimów
063186420
Przebudowa drogi gminnej w Bolimowie (ul. Szkolna) oraz przebudowa placu
manewrowego wraz z dojazdem
788 391,46 zł
546 287,39 zł
347 602,00 zł
963
9
2016-04-27
12:28
266.
Gmina Lipce
Reymontowskie
062398346
Przebudowa drogi wewnętrznej Wola Drzewicka - Płyćwia
562 217,37 zł
497 457,70 zł
316 532,00 zł
851
9
2016-04-28
9:40
267.
Powiat Zgierski
071032852
Przebudowa drogi powiatowej Nr 5115 E, drogi powiatowej Nr 5116 E oraz drogi
powiatowej Nr 5110 E, na terenie gm. Głowno
3 270 023,90 zł
3 233 376,72 zł
2 057 397,00 zł
730
9
2016-04-27
13:18
268.
Gmina Bełchatów
063245055
Przebudowa drogi wewnętrznej Kałduny - Dobrzelów
811 881,02 zł
784 778,35 zł
499 354,00 zł
678
9
2016-04-26
13:26
269.
Gmina Zgierz
061836294
Rozbudowa drogi gminnej nr 120372 klasy L Lućmierz Las - Rosanów - Dąbrówka Wielka
(ul. Łanowa i ul. Kasztanowa) na terenie gminy Zgierz
4 328 223,43 zł
3 857 914,00 zł
2 454 790,00 zł
657
9
2016-04-28
10:38
270.
Powiat Łódzki
Wschodni
070709744
Modernizacja odcinka drogi powiatowej nr 2906E, ul. Słowiańska w Bedoniu Wsi, gm.
Andrespol- Etap II
721 566,41 zł
713 846,11 zł
454 220,00 zł
548
9
2016-04-28
11:55
271.
Gmina Bełchatów
063245055
Przebudowa drogi wewnętrznej w m-ci Łękawa
849 909,74 zł
831 118,59 zł
528 840,00 zł
539
9
2016-04-26
13:25
272.
Gmina Bełchatów
063245055
Przebudowa drogi gminnej Nr 101251 E Józefów - Wola Mikorska
355 931,16 zł
338 248,58 zł
215 227,00 zł
485
9
2016-04-26
13:20
273.
Gmina Bełchatów
063245055
Przebudowa drogi gminnej Nr 101256E w m-ci Postękalice
1 166 048,62 zł
1 082 658,00 zł
688 894,00 zł
474
9
2016-04-26
13:24
274.
Gmina Bielawy
063191560
Przebudowa ul. Warszawskiej i Szkolnej we wsi Sobota
116 863,11 zł
95 010,66 zł
60 455,00 zł
460
9
2016-04-28
8:43
275.
Gmina Bełchatów
063245055
Przebudowa drogi wewnetrznej Dobiecin - Korczew (k. szkoły)
629 318,21 zł
609 276,14 zł
387 682,00 zł
455
9
2016-04-27
10:47
276.
Gmina Wola
Krzysztoporska
062979721
Przebudowa drogi gminnej nr 110464E w miejscowości Rokszyce
1 469 842,45 zł
1 417 362,74 zł
901 867,00 zł
424
9
2016-04-27
11:21
277.
Gmina Bełchatów
063245055
Przebudowa drogi gminnej nr 101260E w m-ci Oleśnik
303 770,22 zł
294 617,27 zł
187 464,00 zł
413
9
2016-04-26
13:21
278.
Gmina Nowosolna
062730651
Przebudowa drogi gminnej nr 106331E w Gminie Nowosolna
700 787,22 zł
700 787,22 zł
445 910,00 zł
409
9
2016-04-27
14:05
279.
Powiat
Bełchatowski
071290380
Rozbudowa drogi powiatowej Nr 2311E
1 899 797,94 zł
1 851 314,83 zł
1 177 991,00 zł
407
9
2016-04-28
10:54
280.
Gmina Łęczyca
062353284
Rozbudowa drogi gminnej nr 312330 w miejscowości Leźnica Mała, Gmina Łęczyca
546 251,03 zł
546 251,03 zł
347 579,00 zł
367
9
2016-04-06
14:45
281.
Gmina Wola
Krzysztoporska
062979721
Przebudowa drogi w miejscowości Mąkolice
1 354 670,98 zł
1 328 612,59 zł
845 396,00 zł
316
9
2016-04-27
11:20
282.
Gmina Bełchatów
063245055
Przebudowa drogi gminnej nr 101257E w Zdzieszulicach Dolnych
478 150,45 zł
461 121,35 zł
293 411,00 zł
278
9
2016-04-26
13:23
283. Gmina Czerniewice
062343151
Przebudowa drogi gminnej nr 116116E Podkonice Duże - Chociwek
2 394 305,89 zł
2 324 338,47 zł
1 478 976,00 zł
221
9
2016-04-28
10:31
284.
Gmina Tuszyn
064645412
Rozbudowa drogi gminnej - ulicy Zielonka w Górkach Dużych, gmina Tuszyn
1 262 449,60 zł
1 223 903,55 zł
778 769,00 zł
205
9
2016-04-26
12:25
285.
Powiat
Tomaszowski
065345891
Przebudowa drogi powiatowej nr 4324E Będków - Ujazd na odcinku Helenów-Olszowa
2 298 194,44 zł
1 865 414,30 zł
1 186 963,00 zł
202
9
2016-04-27
14:54
286.
Gmina Klonowa
062501536
Przebudowa drogi dojazdowej wewnętrznej w miejscowości Lipicze, gmina Klonowa na
odcinku od km 0+000 do km 0+890
311 418,02 zł
308 514,39 zł
196 307,00 zł
199
9
2016-04-18
10:20
287.
Gmina Szczerców
063437210
Przebudowa drogi wewnętrznej w miejscowości Grudna
265 549,65 zł
237 131,95 zł
150 887,00 zł
185
9
2016-04-26
8:30
288.
Gmina Brzeźnio
062979131
Remont drogi dojazdowej w miejscowości Stefanów Ruszkowski (odcinek II i III)
98 654,84 zł
98 654,84 zł
62 774,00 zł
173
9
2016-04-28
11:59
289.
Gmina Bełchatów
063245055
Przebudowa drogi wewnętrznej w m-ci Podwody Kolonia
235 170,61 zł
235 170,61 zł
149 639,00 zł
162
9
2016-04-21
11:36
290.
Gmina Bełchatów
063245055
Przebudowa drogi wewnętrznej w m-ci Wielopole
741 250,16 zł
710 939,56 zł
452 370,00 zł
162
9
2016-04-27
10:46
291.
Gmina Żychlin
063214143
Przebudowa drogi w miejscowości Oleszcze - Grabie, Gmina Żychlin
1 205 474,79 zł
1 130 118,77 zł
719 094,00 zł
111
9
2016-04-27
9:07
063156843
Przebudowa drogi gminnej nr 103409E Przyrownica - gr. Gminy Lutomiersk (Puczniew) na
odcinku od km 0+000 do km 1+994
848 201,02 zł
833 704,20 zł
530 485,00 zł
109
9
2016-04-22
11:16
062515063
Przebudowa drogi gminnej nr 113107E relacji Kurzeszyn-Helenów-Jakubów-Zagórze-Kaleń
w miejscowości Zagórze
585 966,87 zł
585 966,87 zł
372 850,00 zł
108
9
2016-04-28
11:01
292. Gmina Wodzierady
293.
Gmina Rawa
Mazowiecka
062501536
Przebudowa drogi gminnej nr 114004E Huta Klonowska - Górka Klonowska na odcinku od
km 0+000 do km 0+415
171 180,49 zł
166 485,26 zł
105 934,00 zł
88
9
2016-04-18
10:21
295. Gmina Wodzierady
063156843
Przebudowa drogi gminnej nr 103407E Ludowinka - Jesionna na odcinku od km 0+000 do
km 3+978
1 322 629,99 zł
1 316 965,94 zł
837 985,00 zł
83
9
2016-04-22
11:17
296.
Gmina Dmosin
062026865
Przebudowa nawierzchni drogi lokalnej w Zawadach
447 590,42 zł
447 590,42 zł
284 801,00 zł
82
9
2016-04-27
12:25
297.
Gmina Żytno
062051284
Przebudowa drogi lokalnej Sudzinek - Ciężkowiczki, gm. Żytno
139 940,93 zł
113 216,27 zł
72 039,00 zł
59
9
2016-04-25
9:25
298.
Gmina Bełchatów
063245055
Przebudowa drogi wewnętrznej w m-ci Kolonia Dobiecin
513 790,40 zł
513 790,40 zł
326 924,00 zł
52
9
2016-04-21
11:35
299.
Gmina Brzeźnio
062979131
Przebudowa drogi gminnej w miejscowości Rybnik (Dz. nr ewid. 265)
290 366,77 zł
290 366,77 zł
184 760,00 zł
46
9
14-03-2016
13:45
340 467 493,73 zł
314 467 252,52 zł
200 095 346,00 zł
294.
Gmina Klonowa
RAZEM
* Liczba mieszkańców miejscowości, w których jest realizowana operacja, określona na podstawie danych dostępnych w urzedzie gminy według stanu na dzień 31 grudnia roku poprzedzającego ogłoszenie naboru wniosków o przyznanie pomocy.