Porządek dzienny_2008_01_18 - BIP

Transkrypt

Porządek dzienny_2008_01_18 - BIP
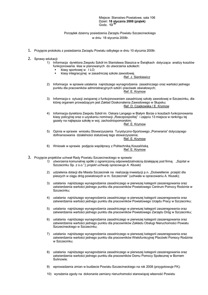
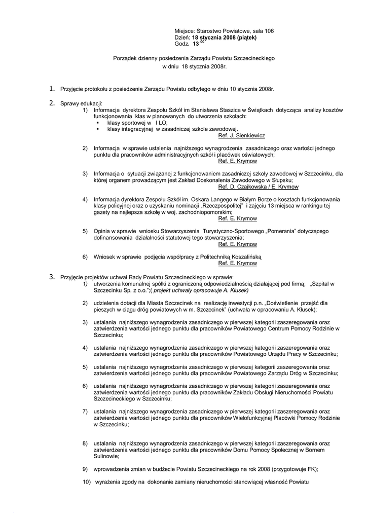
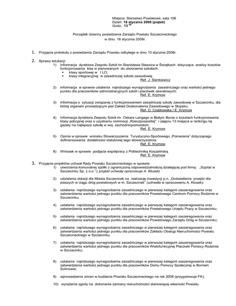
Miejsce: Starostwo Powiatowe, sala 106
Dzień: 18 stycznia 2008 (piątek)
Godz. 13 00
Porządek dzienny posiedzenia Zarządu Powiatu Szczecineckiego
w dniu 18 stycznia 2008r.
1. Przyjęcie protokołu z posiedzenia Zarządu Powiatu odbytego w dniu 10 stycznia 2008r.
2. Sprawy edukacji:
1)
Informacja dyrektora Zespołu Szkół im Stanisława Staszica w Świątkach dotycząca analizy kosztów
funkcjonowania klas w planowanych do utworzenia szkołach:
§
klasy sportowej w I LO;
§
klasy integracyjnej w zasadniczej szkole zawodowej.
Ref. J. Sienkiewicz
2)
Informacja w sprawie ustalenia najniższego wynagrodzenia zasadniczego oraz wartości jednego
punktu dla pracowników administracyjnych szkół i placówek oświatowych;
Ref. E. Krymow
3)
Informacja o sytuacji związanej z funkcjonowaniem zasadniczej szkoły zawodowej w Szczecinku, dla
której organem prowadzącym jest Zakład Doskonalenia Zawodowego w Słupsku;
Ref. D. Czajkowska / E. Krymow
4)
Informacja dyrektora Zespołu Szkół im. Oskara Langego w Białym Borze o kosztach funkcjonowania
klasy policyjnej oraz o uzyskaniu nominacji „Rzeczpospolitej” i zajęciu 13 miejsca w rankingu tej
gazety na najlepsza szkołę w woj. zachodniopomorskim;
Ref. E. Krymow
5)
Opinia w sprawie wniosku Stowarzyszenia Turystyczno-Sportowego „Pomerania” dotyczącego
dofinansowania działalności statutowej tego stowarzyszenia;
Ref. E. Krymow
6)
Wniosek w sprawie podjęcia współpracy z Politechniką Koszalińską
Ref. E. Krymow
3. Przyjęcie projektów uchwał Rady Powiatu Szczecineckiego w sprawie:
1)
utworzenia komunalnej spółki z ograniczoną odpowiedzialnością działającej pod firmą: „Szpital w
Szczecinku Sp. z o.o.”;( projekt uchwały opracowuje A. Kłusek)
2)
udzielenia dotacji dla Miasta Szczecinek na realizację inwestycji p.n. „Doświetlenie przejść dla
pieszych w ciągu dróg powiatowych w m. Szczecinek” (uchwała w opracowaniu A. Kłusek);
3)
ustalania najniższego wynagrodzenia zasadniczego w pierwszej kategorii zaszeregowania oraz
zatwierdzenia wartości jednego punktu dla pracowników Powiatowego Centrum Pomocy Rodzinie w
Szczecinku;
4)
ustalania najniższego wynagrodzenia zasadniczego w pierwszej kategorii zaszeregowania oraz
zatwierdzenia wartości jednego punktu dla pracowników Powiatowego Urzędu Pracy w Szczecinku;
5)
ustalania najniższego wynagrodzenia zasadniczego w pierwszej kategorii zaszeregowania oraz
zatwierdzenia wartości jednego punktu dla pracowników Powiatowego Zarządu Dróg w Szczecinku;
6)
ustalania najniższego wynagrodzenia zasadniczego w pierwszej kategorii zaszeregowania oraz
zatwierdzenia wartości jednego punktu dla pracowników Zakładu Obsługi Nieruchomości Powiatu
Szczecineckiego w Szczecinku;
7)
ustalania najniższego wynagrodzenia zasadniczego w pierwszej kategorii zaszeregowania oraz
zatwierdzenia wartości jednego punktu dla pracowników Wielofunkcyjnej Placówki Pomocy Rodzinie
w Szczecinku;
8)
ustalania najniższego wynagrodzenia zasadniczego w pierwszej kategorii zaszeregowania oraz
zatwierdzenia wartości jednego punktu dla pracowników Domu Pomocy Społecznej w Bornem
Sulinowie;
9)
wprowadzenia zmian w budżecie Powiatu Szczecineckiego na rok 2008 (przygotowuje FK);
10) wyrażenia zgody na dokonanie zamiany nieruchomości stanowiącej własność Powiatu
2
Szczecineckiego na nieruchomość stanowiącą własność Stacji Hodowli i Unasienniania Zwierząt Sp.
z o.o. w Bydgoszczy (przygotowuje GG);
11)
12)
13)
14)
15)
wysokości opłat za usunięcie pojazdu z drogi i parkowanie usuniętego pojazdu;
zasad korzystania ze stołówki szkolnej oraz określanie wysokości opłat za posiłek (przygotowuje EK);
założenia I Liceum Ogólnokształcącego w Świątkach;
rozpatrzenia skargi na dyrektora Poradni Psychologiczno-Pedagogicznej;
przyjęcia planu pracy Rady Powiatu na rok 2008;
16) likwidacji Technikum Budowlanego na podbudowie zasadniczej szkoły zawodowej, której działalność
wygasła w roku szkolnym 2004/2005 i funkcjonowała w ramach dawnego zespołu Szkół
Budowlanych, a obecnie Zespołu Szkół Nr 3 (przygotowuje EK);
Ref. Ewa Grunt
4. Zaopiniowanie miesięcznego kosztu utrzymania :
1)
2)
mieszkańca w Domu Pomocy Społecznej w Bornem Sulinowie
dziecka w Wielofunkcyjnej Placówce Pomocy Rodzinie Placówce Socjalizacyjnej „Szansa” w
Szczecinku.
Ref. K. Lis
5. Podjęcie uchwal Zarządu Powiatu w sprawie:
1)
przeniesienia wydatków z rezerw budżetowych (na rzecz Policji);
2)
ogłoszenia konkursu ofert na realizację zadań publicznych w roku 2008 przez organizacje
prowadzące działalność pożytku publicznego;
powołania Komisji Konkursowej w celu przeprowadzenia otwartego konkursu ofert na realizacjeę
zadań publicznych w 2008 r.
3)
6. Rozpatrzenie podań oraz zajęcie stanowiska w sprawach:
1)
2)
przyjęcie założeń do konkursu „Mocarz Gospodarczy Powiatu Szczecineckiego”
ustalenia opłaty za korzystanie z obiektów użyteczności publicznej stanowiących własność Powiatu
Szczecineckiego, a będących w
użytkowaniu
Zakładu Obsługi Nieruchomości
Powiatu
Szczecineckiego w Szczecinku.
Bazą wyjściową do ustalenia cen za wynajem pomieszczeń użyteczności publicznej będą:
§
regulacje zawarte w uchwale Nr XLI/367/2006 Rady Powiatu z dnia 3 lipca 2006 r. w sprawie
zasad i trybu korzystania z powiatowych obiektów i urządzeń użyteczności publicznej oraz
§
komplet dokumentów składających się z: kalkulacji kosztów utrzymania sali gimnastycznej w
rozbiciu na okres letni (bez ogrzewania) i zimowy (łącznie z kosztami ogrzewania).
§
dla ustalenia ceny wynajmu sali gimnastycznej dla Stowarzyszenia Sportów Walki konieczne
jest ustalenie ile godzin tygodniowo pomieszczenia będą użytkowane przez sportowców.
7.
8.
3) dofinansowania X Przeglądu Kolęd i Pastorałek;
4) dofinansowania turnieju w badmintonie o Mistrzostwo Miasta szczecinek
Zapytania i wolne wnioski.
Zamknięcie posiedzenia Zarządu.