protokół zniszczenia inwentarza - Zespół Szkół Ekonomicznych w

Transkrypt

protokół zniszczenia inwentarza - Zespół Szkół Ekonomicznych w
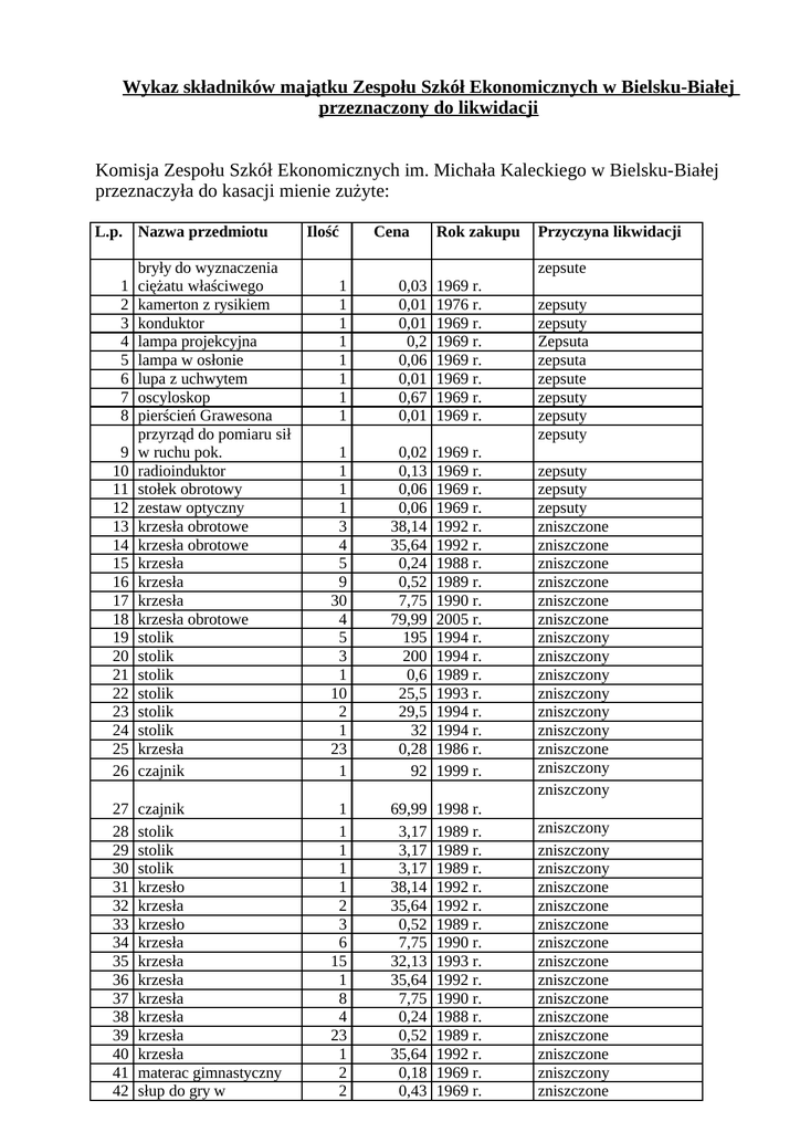
Wykaz składników majątku Zespołu Szkół Ekonomicznych w Bielsku-Białej
przeznaczony do likwidacji
Komisja Zespołu Szkół Ekonomicznych im. Michała Kaleckiego w Bielsku-Białej
przeznaczyła do kasacji mienie zużyte:
L.p. Nazwa przedmiotu
Ilość
Cena
Rok zakupu
1
1
1
1
1
1
1
1
0,03
0,01
0,01
0,2
0,06
0,01
0,67
0,01
1969 r.
1976 r.
1969 r.
1969 r.
1969 r.
1969 r.
1969 r.
1969 r.
9
10
11
12
13
14
15
16
17
18
19
20
21
22
23
24
25
26
bryły do wyznaczenia
ciężatu właściwego
kamerton z rysikiem
konduktor
lampa projekcyjna
lampa w osłonie
lupa z uchwytem
oscyloskop
pierścień Grawesona
przyrząd do pomiaru sił
w ruchu pok.
radioinduktor
stołek obrotowy
zestaw optyczny
krzesła obrotowe
krzesła obrotowe
krzesła
krzesła
krzesła
krzesła obrotowe
stolik
stolik
stolik
stolik
stolik
stolik
krzesła
czajnik
1
1
1
1
3
4
5
9
30
4
5
3
1
10
2
1
23
1
0,02
0,13
0,06
0,06
38,14
35,64
0,24
0,52
7,75
79,99
195
200
0,6
25,5
29,5
32
0,28
92
1969 r.
1969 r.
1969 r.
1969 r.
1992 r.
1992 r.
1988 r.
1989 r.
1990 r.
2005 r.
1994 r.
1994 r.
1989 r.
1993 r.
1994 r.
1994 r.
1986 r.
1999 r.
27
28
29
30
31
32
33
34
35
36
37
38
39
40
41
42
czajnik
stolik
stolik
stolik
krzesło
krzesła
krzesło
krzesła
krzesła
krzesła
krzesła
krzesła
krzesła
krzesła
materac gimnastyczny
słup do gry w
1
1
1
1
1
2
3
6
15
1
8
4
23
1
2
2
69,99
3,17
3,17
3,17
38,14
35,64
0,52
7,75
32,13
35,64
7,75
0,24
0,52
35,64
0,18
0,43
1998 r.
1989 r.
1989 r.
1989 r.
1992 r.
1992 r.
1989 r.
1990 r.
1993 r.
1992 r.
1990 r.
1988 r.
1989 r.
1992 r.
1969 r.
1969 r.
1
2
3
4
5
6
7
8
Przyczyna likwidacji
zepsute
zepsuty
zepsuty
Zepsuta
zepsuta
zepsute
zepsuty
zepsuty
zepsuty
zepsuty
zepsuty
zepsuty
zniszczone
zniszczone
zniszczone
zniszczone
zniszczone
zniszczone
zniszczony
zniszczony
zniszczony
zniszczony
zniszczony
zniszczony
zniszczone
zniszczony
zniszczony
zniszczony
zniszczony
zniszczony
zniszczone
zniszczone
zniszczone
zniszczone
zniszczone
zniszczone
zniszczone
zniszczone
zniszczone
zniszczone
zniszczony
zniszczone
43
44
45
46
47
48
49
50
51
52
53
54
55
56
57
58
59
60
61
62
koszykówkę
stół do tenisa stołowego
desymetr
mikrometr
magazynek do rzutnika
mikroskop obiektywy
odmiany węgla
kamiennego
zestaw do elektrolizy
Licencja na program
arkusz org.
Licencja na program
plan lekcji
Licencja na program
sekretariat
Licencja na program
świadectwa
program antywir
12.05.514844
program antywir
12.066154
program dotacje unijne i
atlas polski
program płace
program płace-księg.
program sekretariat
uczniowski
program sekretariat
uczniowski
program sekretariat
uczniowski
program kadry 2000
1
1
1
1
1
0,41
0,01
0,02
3,8
0,1
1986 r.
1969 r.
1969 r.
1994 r.
1969 r.
1
1
0,02 1969 r.
0,03 1969 r.
1
597,8 2003 r.
zniszczony
zniszczony
zniszczony
zniszczony
zepsuty
zepsute
zepsuty
nieaktualny
nieaktualny
1
847,9 2003 r.
1
300 2003 r.
1
610 2003 r.
1
439,2 2000 r.
nieaktualny
nieaktualny
nieaktualny
nieaktualny
1
259,86 2001 r.
1
1
1
255 2005 r.
2000 1998 r.
1330 1994 r.
1
1000 1997 r.
1
150 1998 r.
nieaktualny
nieaktualny
nieaktualny
nieaktualny
nieaktualny
nieaktualny
1
1
380 1998 r.
800 1997 r.
nieaktualny
Dyrektor
Zespołu Szkół Ekonomicznych
mgr Maria Marczyk