GEO Zestaw nr 13820 Pula: ......... p.

Transkrypt

GEO Zestaw nr 13820 Pula: ......... p.
GEO
Zestaw nr 13820
Pula: ......... p.
Informacje wst¦pne.
a) Przygotowa¢ 5 kartek papieru kserogracznego (A4). Ka»d¡ kartk¦ podpisa¢ zgodnie z instrukcj¡ ze strony
tytuªowej.
UWAGA 1: niniejszy zestaw jest wªasno±ci¡ zdaj¡cego (nie trzeba doª¡cza¢ go do kartek z
rozwi¡zaniami).
UWAGA 2: za niewªa±ciwy wygl¡d pracy (nieczytelne pismo, niewªa±ciwie rozmieszczone zadania na stronach, brak podpisów na oddanych kartkach, itp.) | jak równie» za nieregulaminowe zachowanie si¦ na sprawdzianie | od wyniku procentowego sprawdzianu odejmuje
si¦ 5% za ka»de uchybienie.
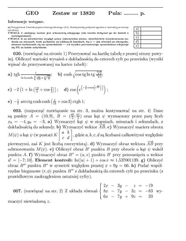
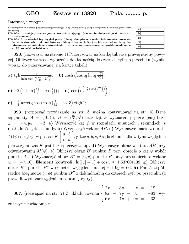
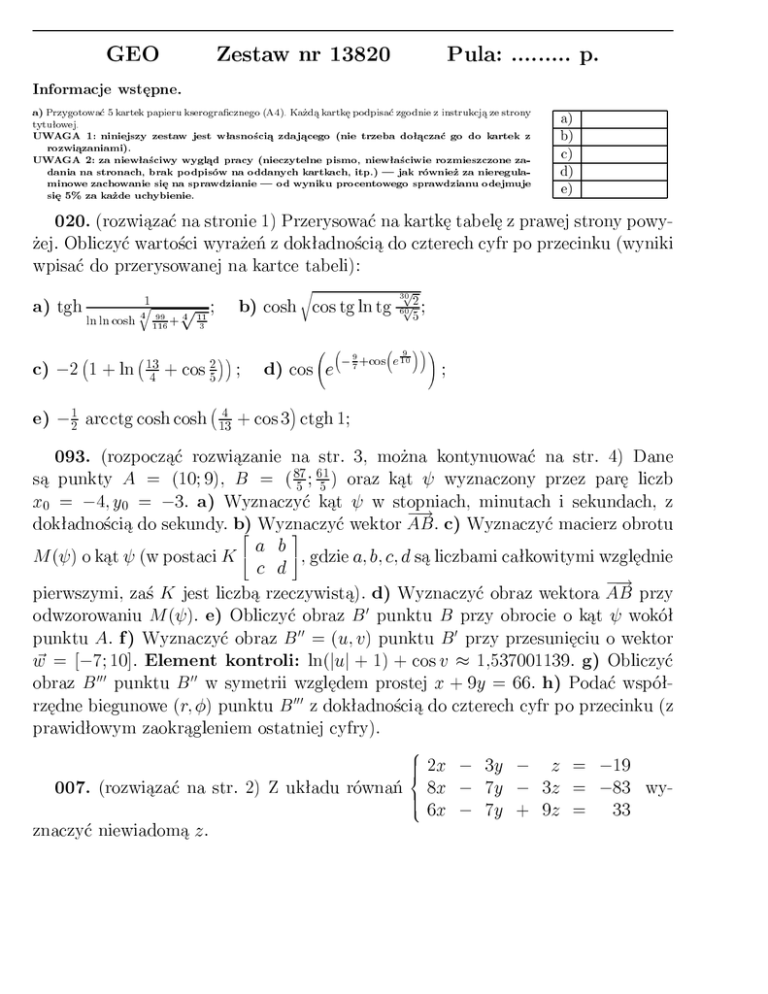
a)
b)
c)
d)
e)
020. (rozwi¡za¢ na stronie 1) Przerysowa¢ na kartk¦ tabel¦ z prawej strony powy-
»ej. Obliczy¢ warto±ci wyra»e« z dokªadno±ci¡ do czterech cyfr po przecinku (wyniki
wpisa¢ do przerysowanej na kartce tabeli):
a) tgh
ln ln cosh
c) 2 1 + ln
e)
1
2
1
q
p
4 99 + 4 11
116
3
13
4
r
b) cosh cos tg ln tg
;
+ cos 25 ;
arcctg cosh cosh
4
13
d) cos e
9 +cos
7
p
30
p2
60
5
;
9 !
e 10
;
+ cos 3 ctgh 1;
093. (rozpocz¡¢ rozwi¡zanie na str. 3, mo»na kontynuowa¢ na str. 4) Dane
s¡ punkty A = (10; 9), B = ( 875 ; 615 ) oraz k¡t wyznaczony przez par¦ liczb
x0 = 4; y0 = 3. a) Wyznaczy¢ k¡t w stopniach, minutach i sekundach, z
!. c) Wyznaczy¢ macierz obrotu
dokªadno±ci¡ do sekundy. b)
Wyznaczy¢
wektor AB
2
3
a b5
M ( ) o k¡t (w postaci K 4
, gdzie a; b; c; d s¡ liczbami caªkowitymi wzgl¦dnie
c d
! przy
pierwszymi, za± K jest liczb¡ rzeczywist¡). d) Wyznaczy¢ obraz wektora AB
odwzorowaniu M ( ). e) Obliczy¢ obraz B 0 punktu B przy obrocie o k¡t wokóª
punktu A. f) Wyznaczy¢ obraz B 00 = (u; v) punktu B 0 przy przesuni¦ciu o wektor
w~ = [ 7; 10]. Element kontroli: ln(juj + 1) + cos v 1;537001139. g) Obliczy¢
obraz B 000 punktu B 00 w symetrii wzgl¦dem prostej x + 9y = 66. h) Poda¢ wspóªrz¦dne biegunowe (r; ) punktu B 000 z dokªadno±ci¡ do czterech cyfr po przecinku (z
prawidªowym zaokr¡gleniem ostatniej cyfry).
8
>
>
>
<
2x
007. (rozwi¡za¢ na str. 2) Z ukªadu równa« >> 8x
>
: 6x
znaczy¢ niewiadom¡ z .
3y
z =
7y
3z =
7y + 9z =
19
83 wy33
013. (rozpocz¡¢ rozwi¡zanie na str. 5, mo»na kontynuowa¢ na str. 6) Dla podanych ni»ej macierzy obliczy¢: a) iloczyn A B; b) wyznacznik det (C), c) wspóªczynnik l macierzy C 1: d)2Wykorzystuj¡c
macierz C rozwi¡za¢ równanie2 C 31 X = D:
3
Dane macierze: A =
2
6
6
6
C = 6666 24
4
6
9 2
9 8
2 10
5 7
6
6
6
6
6
6
4
3
57
1 777
;
5 775
6
3
6
1
0
07
9 777
;
3 775
10
2
3
B = 4 04
2
a
6
6
1 66 e
C 1=
det(C) 664 i
m
5 15
;
6 8
b
f
j
n
c
g
k
o
3
d7
h 777
;
l 775
p
57
7 777
D = 8 77 ;
5
9
2
3
x
6
7
6
7
6 y 7
6
X = 66 z 777 :
4
5
v
6
6
6
6
6
6
4
025. (rozpocz¡¢ rozwi¡zanie na str. 7, mo»na kontynuowa¢ na str. 8) Dane s¡
wektory ~a = [7; 10; 5], ~b = [8; 8; 7], ~c = [3; 9; 4] oraz punkt A = (1; 3; 9).
a) Obliczy¢ ~a ~b (iloczyn wektorowy). b) Napisa¢ równanie pªaszczyzny rozpi¦tej
na wektorach ~a i ~b i przechodz¡cej przez punkt A. c) Obliczy¢ wspóªrz¦dne punktu
C b¦d¡cego rzutem prostopadªym punktu B = (101; 308; 386) na pªaszczyzn¦ .
Punkt kontrolny: wspóªrz¦dne punktu C s¡ liczbami caªkowitymi. d) Obliczy¢ obj¦to±¢ równolegªo±cianu rozpi¦tego na wektorach ~a, ~b, ~c. e) Obliczy¢ (z
dokªadno±ci¡ do trzech cyfr po przecinku) pole równolegªoboku rozpi¦tego na wektorach ~a i ~b. f) Obliczy¢ k¡t (w stopniach, minutach i sekundach, z dokªadno±ci¡
do jednej sekundy), jaki tworzy wektor ~c z pªaszczyzn¡ . Punkt kontrolny: sin przystaje do wzorca ;??3920.
016. (p. - rozpocz¡¢ rozwi¡zanie
na str. 9, mo»na kontynuowa¢ na str. 10)
8
>
>
>
>
>
>
<
Dla jakiego ukªad równa« >
>
>
>
>
>
:
8x + 7y
z
9v =
8x + 6y + 8z
5v =
2x + 7y
9 z + 3v =
28x
25y
7z
=
zanie?
W celu wyznaczenia mo»na wykorzysta¢ poni»szy scenariusz:
8
2
posiada rozwi¡3
a) Utworzy¢ odpowiedni¡ macierz. b) Wyzerowa¢ wiersz (1) przy pomocy kolumny roboczej (3); zredukowa¢ macierz. c) Podzieli¢ kolumny
macierzy przez ich najwi¦ksze wspólne dzielniki dodatnie. d) Do kolumny (3) doda¢ kolumn¦ (1) pomno»on¡ przez 3. e) Wyzerowa¢ wiersz
(1) przy pomocy kolumny roboczej (3); zredukowa¢ macierz. f) Podzieli¢ kolumny macierzy przez ich najwi¦ksze wspólne dzielniki dodatnie.
g) Wyzerowa¢ wiersz (1) przy pomocy kolumny roboczej (1); zredukowa¢ macierz. h) Wywnioskowa¢ odpowied¹.
Numer zestawu: GEO 13820