Ranking szkół

Transkrypt

Ranking szkół
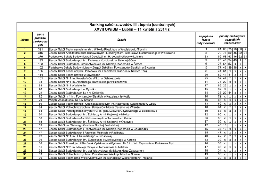
Ranking szkół zawodów III stopnia (centralnych)
XXVII OWiUB – Lublin – 11 kwietnia 2014 r.
lokata
suma
punktów
rankingow
ych
1
2
3
4
5
6
7
8
9
10
11
12
13
14
15
16
17
18
19
20
21
22
23
24
25
26
27
28
29
30
31
381
315
279
193
183
162
135
114
101
93
88
76
72
72
70
69
64
63
60
56
55
53
47
47
42
39
36
35
34
33
30
najwyższa
lokata
indywidualnie
Szkoła
Zespół Szkół Technicznych im. rtm. Witolda Pileckiego w Wodzisławiu Śląskim
Zespół Szkół Architektoniczno-Budowlanych i Licealnych im. Stanisława Noakowskiego w Warszawie
Państwowe Szkoły Budownictwa i Geodezji im. H. Łopacińskiego w Lublinie
Zespół Szkół Budowlanych im. Tadeusza Kościuszki w Zielonej Górze
Zespół Szkół Budowlano-Informatycznych im. Mikołaja Kopernika w Żorach
Państwowe Szkoły Budownictwa – Zespół Szkół im. Powstańców Śląskich w Bytomiu
Zespół Szkół Technicznych i Placówek im. Stanisława Staszica w Nowym Targu
Zespół Szkół Technicznych w Suwałkach
Zespół Szkół Nr 1 im. Powstańców Wlkp. w Ostrzeszowie
Zespół Szkół Nr 1 im. Ambrożego Towarnickiego w Rzeszowie
Zespół Szkół Nr 1 w Wieluniu
Zespół Szkół Budowlanych w Rybniku
Zespół Szkół Budowlanych Nr 1 w Krakowie
Zespół Szkół nr 1 im. Powstańców Śląskich w Kędzierzynie-Koźlu
Miejski Zespół Szkół Nr 5 w Krośnie
Zespół Szkół Technicznych i Ogólnokształcących im. Kazimierza Gzowskiego w Opolu
Zespół Szkół Politechnicznych im. Bohaterów Monte Cassino we Wrześni
Zespół Szkół Ponadgimnazjalnych Nr 3 im. gen. Ludwika Czyżewskiego w Bełchatowie
Zespół Szkół Budowlanych im. Żołnierzy Armii Krajowej w Mielcu
Zespół Szkół Budowlano-Architektonicznych w Tarnowskich Górach
Zespół Szkół Budowlanych im. Żołnierzy Armii Krajowej w Olsztynie
Zespół Szkół im. Walerego Goetla w Suchej Beskidzkiej
Zespół Szkół Budowlanych i Plastycznych im. Mikołaja Kopernika w Grudziądzu
Zespół Szkół Budowlanych i Rzemiosł Różnych w Raciborzu
Zespół Szkół Nr 1 im. J. Piłsudskiego w Limanowej
Zespół Szkół Budowlanych im. Eugeniusza Kwiatkowskiego w Koninie
Zespół Szkół Ponadgim. i Placówek Opiekuńczo-Wychow. Nr 3 im. Wł. Reymonta w Piotrkowie Tryb.
Zespół Szkół Nr 3 im. Macieja Rataja w Tomaszowie Lubelskim
Zespół Szkół Budowlanych im. dra Władysława Matlakowskiego Zakopanem
Zespół Szkół Politechnicznych im. Powstańców Wielkopolskich w Śremie
Zespół Szkół Techniczno-Weterynaryjnych im. Bohaterów Westerplatte w Trzcianie
Strona 1
1
3
23
9
6
5
8
20
25
11
17
15
44
10
16
13
18
19
22
26
27
42
45
35
40
43
46
47
48
49
52
punkty rankingowe
wszystkich
uczestników
81
79
59
73
76
77
74
62
57
71
65
67
38
72
66
69
64
63
60
56
55
40
37
47
42
39
36
35
34
33
30
80
78
58
46
54
48
61
41
44
22
23
9
20
x
4
x
x
x
x
x
x
13
10
x
x
x
x
x
x
x
x
75
50
43
24
53
19
x
11
x
x
x
x
14
x
x
x
x
x
x
x
x
x
x
x
x
x
x
x
x
x
x
70 68 7
45 32 31
16 52 51
49 1 0
x x x
18 x x
x x x
x x x
x x x
x x x
x x x
x x x
x x x
x x x
x x x
x x x
x x x
x x x
x x x
x x x
x x x
x x x
x x x
x x x
x x x
x x x
x x x
x x x
x x x
x x x
x x x
32
33
34
35
36
37
38
39
40
41
42
43
44
29
28
27
26
25
21
17
15
15
8
6
5
2
Zespół Szkół Ponadgimnazjalnych Nr 15 im. dr Stefana Kopcińskiego w Łodzi
Zespół Szkół Nr 4 im. Króla Kazimierza Wielkiego w Sanoku
Zespół Szkół Budowlanych im. Generała Stanisława Maczka w Bielsku-Białej
Zespół Szkół Technicznych „Mechanik” w Jeleniej Górze
Zespół Szkół Nr 1 im. Kazimierza Wielkiego w Mińsku Mazowieckim
Zespół Szkół Techniczno-Usługowych w Będzinie
Państwowe Szkoły Budownictwa im. prof. Mariana Osińskiego w Gdańsku
Zespół Szkół Nr 2 im. Stanisława Konarskiego w Bochni
Zespół Szkół Nr 7 im. Bronisława Bukowskiego w Koszalinie
Zespół Szkół Budowlano-Ceramicznych w Gliwicach
Zespół Szkół Budowlanych w Tarnowie
Zespół Szkół Budowlanych im. Inżynierów Polskich w Słupsku
Zespół Szkół Budowlanych im. Kazimierza Wielkiego w Szczecinie
Na podstawie listy klasyfikacyjnej uczestników zawodów centralnych -
opracował: Andrzej Oniszczuk
Strona 2
53
54
55
56
57
61
65
67
70
74
76
77
80
29 x
28 x
27 x
26 x
25 x
21 x
17 x
15 x
3 12
8 x
6 x
5 x
2 x
x
x
x
x
x
x
x
x
x
x
x
x
x
x
x
x
x
x
x
x
x
x
x
x
x
x
x
x
x
x
x
x
x
x
x
x
x
x
x
x
x
x
x
x
x
x
x
x
x
x
x
x