Bernard Kozielski

Transkrypt

Bernard Kozielski
ośwtłoczeNlEMAJĄTKoWE
członkaorganu iarządzĄącego gminną osobQ prawną
="}b'i#..td=i$jJ
.
oraz óseb' wyc4ąe4 d '4e acminlstrac$
r.
Świerkle,dnia 15.04.2010
Uwaga:
obowiązanajest do zgodnegoz prawdą starannegoi zupełnegowypełnienia
1. osoba składającaoświadczenie
każdejzrubryk.
pzypadku zastrosowania,należywpisać ,,!!9'&!y9z[
2' JeŻeliposzczegó|nerubryki nie znajdująw konkretnym
składn.ików.mająt.
poszczeg.ó|nyc.h
jest.okreś|ióprzyna|eżność.
3. osoba składającaoświadczenieobowiąza.na.
mafżeńskąwspó|nościąma.
objętego
ńajątku
odrębnego'i
do.ńajątkl
kowych, ooctrooów-i.źóoońią'ań
jątkową.
majątkowedotyczy majątkuw krajuiza granlcą.
4. oświadczenie
5.oświadczeniemajątkoweobejmujerównieżwiezyteInościpieniężne.
jawne,w częściB zaśinformacjeniejawnedotycząceadresu
5' W częściA oświadczeniazawańe s4 informacje
nieruchomości.
oraz-miejscapołożenia
oświadcźenie
zamieszkaniaskładającego
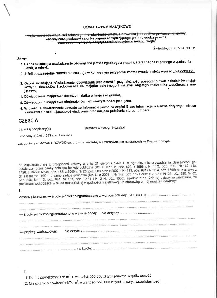
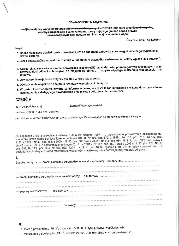
czĘŚcA
BernardWawzYn Kozielski
Ja, nizejpodPisany(a)
08.1953r w Lub|ińcu
urodzony(a)2
na stanowiskuPrezes Zarządu
zatrudnionyw MZWIK PRoWoD sp. z o o. z siedzibąw Czarnowąsach
L
_ ŚrodkipienięŻne
w waluciepolskiej:200000 zł.''..
zgromadzone
Zasobypienięzne:
- środki
pienięŻne
zgromadzonew wa|ucieobcej:
-
papierywartoŚciowe:
!t.
nie dotyczy
nie dotyczy
m2,o wartoŚci:350 000 złtytułprawny:wspołwłasnoŚc
1 Dom o powierzchni:175
m2,o wańoŚci.'22o 000 złtytułprawny:wspÓtwłasnoŚĆ
2. Mieszkanieo powlerzchni'.74
3. Gospodarstworolne:
I
o wartoŚci:
............
rodzajzabudowy:
tytutprawny:.. ....
przyclrcdi dochodw wysokoŚci:
w roku ubiegłym
Z tego tytułuosiągnąbm(ełam)
4. lnne nieruchomości:
powierzchnia0,27 ha.
o wartoŚci:ok 150 000 zł.
tytułprawny: wspołwłasnoŚc
il1.
Posiadamudziaływ społkachhandlowych-na|eŻypodac|iczbęi emitentaudziałow:
w ELKoM Sp. z o.o....
21 udziałow
w spÓłce:nie dotyczy
te stanowiąpakietwiększyniŻ10%udziałow
udziały
Z tego tytu,luosiągnąbmw roku ubiegłymdochod w wysokoŚci:'.'10206zlt
z I .. . . . . . . . . . . .
tv.
- na|ezypodac|iczbęi emitentaakcji:
Posiadamakcjew spÓłkachhand|owych
nredotyczy
akcjete stanowiąpakietwiększy niŻ10%akcjiw społce:
w rokuubiegłym
dochÓdw wysokości'.....'
.. .. ..
osiągn{em(ęłam)
Z tegotytułu
V.
mienia przynaleinegodo jego majątkuodrębnego)od Skarbu
Nabyłem(am)
{nabyłmoj małzonek,z wyłączeniem
ich związkowlub od komuna|nej
Państwa' innej państwowejosoby prawnej,jednosteksamorząduterytoria|nego,
mienie,które pod|egało
zbyciuw drodzepzetargu_ na|eŻypodaĆopis
osobyprawnejnastępujące
mieniai datęnabycia,od kogo:nie dotyczy''
/M.
gospodarczą2
(na|ezypodaĆformęprawnąi pzedmiot działalnoŚci):
1' ProwadzędziałalnoŚĆ
nie dotyczy
- osobiście.
- wspó|niez innymiosobami
przychodi dochodw wysokoŚci:
roku ubiegłym
osiągnąłem(e.lam)w
Z tegotytułu
(na|ezy
pehomocnikiem
takiejdziała|noŚci
|ubjestemprzedstawicie|em,
dziabInościągospodarczą
2 Zarządzam
podacformęprawną
i pzedmiot
działa|noŚci):..'..............',
wspolniez innymiosobami
przychÓdi dochodw wysokości
w rokuubiegłym
osiągnąłem(ełam)
Z tegotytułu
vil.
W s pótkach handlowych (nazwa, siedziba spÓłki):MZW|K PRoWoD Sp z o o w Czarnowąsach
1
Ą
L
-
jestemczłonkiem
zarządu(od kiedy):paŹdziernik
2008 r
-
jestemczłonkiem
rady nadzorczej{odkiedy):..nie
dotyczy.. .. ..
-
jestemczłonkiemkomisjirewizyjnej(od kiedy):...nie
dotyczy.
.120733zł.'.,........'..'
w rokuubiegłym
dochÓdw wysokości:
osiągnąłem(ęłam)
Ztego tytułu
-
jestemczłonkiemzarządu(od kiedy):'
-
jestemczłonkiem
radynadzorczei3
{odkiedy)....'.....
-
jestemczłonkiemkomisjirewizyjnej(od kiedy):...
w roku ubiegłymdochodw wysokoŚci:
ZIego tytułuosiągnąłem(ęłam)
3 W fundacjachprowadzącychdziałalnoŚcgospodarczą:nie dotyczy
-
jestemczłonkiem
zarządu(od kiedy)
-
jestemczłonkiem
rady nadzorczej{odkiedy):
jestemczłonkiemkomisjirewizyjnej(od kiedy):...
roku ubiegłymdochodw wysokoŚci:
Ztego tytułuosiągną,lem(ęłam)w
vilt.
| n n ed o c h o d yo s i ą g a n ez t y t u ł uz a t r u d n i e n i a| u bi n n e jd z i a t a | n o śzcai r o b k o w e j| u bz a j ę c , z p o d a n i e mk w o t
uzyskiwanychz każdegotytułu:
1 ) w y n a j e mm i e s z k a n i a . 1 5 6 8 0z ł . .' ' , ' . . ' ' . . ' ' .
2 ) w y n a g r o d z e n i e tzy t u ł u m o w y o p r a c ę Z o n y 4 5 6 8 6 z ł
3 ) e m e r y t uŻr ao n y
i.
. ' ' ' ' . . '' .
2 0 1 6 8z ł ' ' ' ' ' . ' ' ' . . ' ' ' .
tx.
Składnikimienia ruchomego o wartościpowyżej10 000 złotych(w przypadku pojazdow mechanicznych na|ezy
podac markę, modę! i rok produkcji):samochod osobowy Peugeot 3o7 Cz 2006 r. owartoŚci 30 000 zł.''''..'..'.
x.
Zobowiązaniapienięzne o wańościpowyżej10 000 złotych,w tym zaciągnięte kredyty i poŻyczkioraz warunki,na
j a k i c hz o s t a ł yu d z i e | o n e( w o b e c k o g o , w z w i ą z k u z j a k i m z d a r z e n i e m ,w j a k i e jw y s o k o ś c i )n:i e d o t y c z y .
cZĘScB
:
oświadczenie
osobyskładającej
Adreszamieszkania
na podstawieart.24i ustawyz dnia8 marca1990r.
wyłączona
informacji
Jawność
zmiany:Dz.Uz2002r:
o samozqdziegminnym(Dz.U, z200I Nr 142, poz.1591
poz.
po2.984,
1806)
214,
po2.558,
Nr
Nr
113,
po2.220,
Nr
62,
Nr 23,
A (adres):
w punkcieII części
wymienionych
nieruchomości
Miejscepołożenia
na podstawieart.24iustawyz dnib8 marca1990r.
wyłączona
informacji
Jawność
zmiany:Dz.Uz2002r :
(Dz,
gminnym
zf00L Nr 142, poz.1591
U,
o samoządzie
poz.
po2.984,
1806)
Nr
214,
po2.558,
Nr 113,
Nr 62,
Nr 23, poz.Z2O,
karnegoza podanienieprawdy
PowyŻszeoŚwiadczenieskładamŚwiadomy(a),i?n?podstawiearl 233 $ 1 Kodeksu
lub zatajenieprawdygrozi kara pozbawlenlawolnoscl'
n
ch,"o7?
y'ł,ałr,2o//
, ń.
data)
(miejscowośc,
1
skreŚ|ic
Niew,łaściwe
'
w zakresieprodukcjiroŚlinneji zwierzęcej'w formiei zakresiegospodarstwa
w ro|nictwie
ili;;;y;;y d.i'iulńós.i wytworcze1
rodztnnego
.
mieszkaniowych'
Nie dotyczyrad nadzorczychspołdzielni