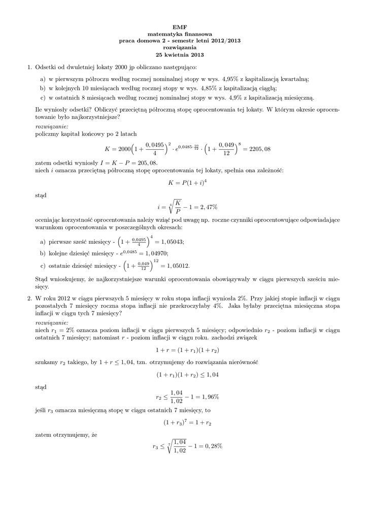
1. Odsetki od dwuletniej lokaty 2000 jp obliczano następująco: a) w

Transkrypt

1. Odsetki od dwuletniej lokaty 2000 jp obliczano następująco: a) w
EMF
matematyka finansowa
praca domowa 2 - semestr letni 2012/2013
rozwiązania
25 kwietnia 2013
1. Odsetki od dwuletniej lokaty 2000 jp obliczano następująco:
a) w pierwszym półroczu według rocznej nominalnej stopy w wys. 4,95% z kapitalizacją kwartalną;
b) w kolejnych 10 miesiącach według rocznej stopy w wys. 4,85% z kapitalizacją ciągłą;
c) w ostatnich 8 miesiącach według rocznej nominalnej stopy w wys. 4,9% z kapitalizacją miesięczną.
Ile wyniosły odsetki? Obliczyć przeciętną półroczną stopę oprocentowania tej lokaty. W którym okresie oprocentowanie było najkorzystniejsze?
rozwiązanie:
policzmy kapitał końcowy po 2 latach
0, 049 8
0, 0495 2 0,0485· 10 12 ·
·e
1+
= 2205, 08
K = 2000 1 +
4
12
zatem odsetki wyniosły I = K − P = 205, 08.
niech i oznacza przeciętną półroczną stopę oprocentowania tej lokaty, spełnia ona zależność:
K = P (1 + i)4
stąd
r
K
− 1 = 2, 47%
P
oceniając korzystność oprocentowania należy wziąć pod uwagę np. roczne czynniki oprocentowujące odpowiadające
warunkom oprocentowania w poszczególnych okresach:
4
= 1, 05043;
a) pierwsze sześć miesięcy - 1 + 0,0495
4
4
i=
b) kolejne dziesięć miesięcy - e0,0485 = 1, 04970;
12
c) ostatnie dziesięć miesięcy - 1 + 0,049
= 1, 05012.
12
Stąd wnioskujemy, że najkorzystniejsze warunki oprocentowania obowiązywały w ciągu pierwszych sześciu miesięcy.
2. W roku 2012 w ciągu pierwszych 5 miesięcy w roku stopa inflacji wyniosła 2%. Przy jakiej stopie inflacji w ciągu
pozostałych 7 miesięcy roczna stopa inflacji nie przekroczyłaby 4%. Jaka byłaby przeciętna miesięczna stopa
inflacji w ciągu tych 7 miesięcy?
rozwiązanie:
niech r1 = 2% oznacza poziom inflacji w ciągu pierwszych 5 miesięcy; odpowiednio r2 - poziom inflacji w ciągu
ostatnich 7 miesięcy; natomiast r - poziom inflacji w ciągu roku. zachodzi związek
1 + r = (1 + r1 )(1 + r2 )
szukamy r2 takiego, by 1 + r ≤ 1, 04, tzn. otrzymujemy do rozwiązania nierówność
(1 + r1 )(1 + r2 ) ≤ 1, 04
stąd
1, 04
− 1 = 1, 96%
1, 02
jeśli r3 oznacza miesięczną stopę w ciągu ostatnich 7 miesięcy, to
r2 ≤
(1 + r3 )7 = 1 + r2
zatem otrzymujemy, że
r
r3 ≤
7
1, 04
− 1 = 0, 28%
1, 02
3. Roczna nominalna stopa dyskontowa z kapitalizacją półroczną wynosi 10%. Oblicz równoważną jej
a) roczną efektywną stopę procentową;
b) nominalną roczną stopę dyskontową z kapitalizacją miesięczną;
c) natężenie oprocentowania;
d) nominalną roczną stopę procentową z kapitalizacją półroczną;
e) miesięczną efektywną stopę dyskontową.
rozwiązanie:
mamy d(2) = 10%, wtedy
a)
1
d(2) 2
=1⇒i=
− 1 = 10, 80%
(1 + i) 1 −
(2)
2
(1 − d 2 )2
b)
d(12) 12
d(2) 2
(1 −
) = (1 −
) ⇒ d(12) = 12 1 −
12
2
r
6
1−
d(2) = 10, 21%
2
c)
eδ (1 −
d(2) 2
1
= 10, 26%
) = 1 ⇒ δ = ln
(2)
2
(1 − d )2
2
d)
(1 +
i(2) 2
d(2) 2
1
) (1 −
) = 1 ⇒ i(2) = 2
−
1
= 10, 53%
(2)
2
2
1− d
2
e)
d(12)
= 0, 85%
12
4. Wiedząc, że i(m) = 0, 1844144 oraz d(m) = 0, 1802608, oblicz m.
rozwiązanie:
szukamy m spełniającego równanie
1+
i(m) m d(m) m
1−
=1
m
m
stąd
1+
1+
i(m) d(m) 1−
=1
m
m
i(m)
d(m)
i(m) d(m)
−
−
=1
m
m
m2
· m2
m(i(m) − d(m) ) = i(m) d(m)
zatem
m=
i(m) d(m)
− d(m)
i(m)
podstawiając i(m) = 0, 1844144 oraz d(m) = 0, 1802608 ostatecznie otrzymujemy, że m ≈ 8.
uwaga:
• za każde zadanie można otrzymać maksymalnie 1 punkt;
• przewidziana jest punktacja: 0, 12 lub 1pkt;
• zadania można rozwiązywać w podzespołach dwuosobowych;
termin oddania pracy domowej: 4 kwietnia 2013;