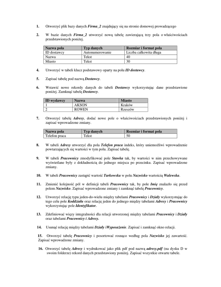
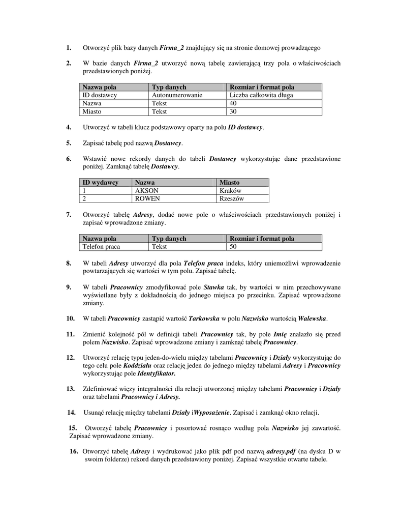
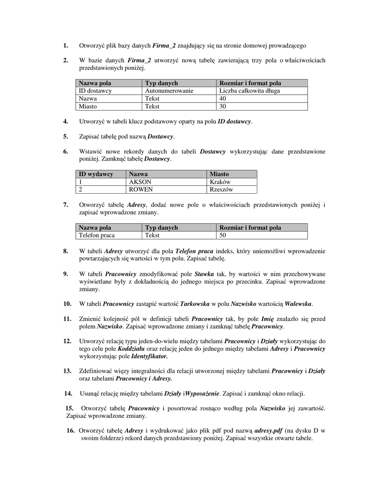
1. Otworzyć plik bazy danych Firma_2 znajdujący się na stronie

Transkrypt

1. Otworzyć plik bazy danych Firma_2 znajdujący się na stronie
1.
Otworzyć plik bazy danych Firma_2 znajdujący się na stronie domowej prowadzącego
2.
W bazie danych Firma_2 utworzyć nową tabelę zawierającą trzy pola o właściwościach
przedstawionych poniżej.
Nazwa pola
ID dostawcy
Nazwa
Miasto
Typ danych
Autonumerowanie
Tekst
Tekst
Rozmiar i format pola
Liczba całkowita długa
40
30
4.
Utworzyć w tabeli klucz podstawowy oparty na polu ID dostawcy.
5.
Zapisać tabelę pod nazwą Dostawcy.
6.
Wstawić nowe rekordy danych do tabeli Dostawcy wykorzystując dane przedstawione
poniżej. Zamknąć tabelę Dostawcy.
ID wydawcy
1
2
7.
Nazwa
AKSON
ROWEN
Miasto
Kraków
Rzeszów
Otworzyć tabelę Adresy, dodać nowe pole o właściwościach przedstawionych poniżej i
zapisać wprowadzone zmiany.
Nazwa pola
Telefon praca
Typ danych
Tekst
Rozmiar i format pola
50
8.
W tabeli Adresy utworzyć dla pola Telefon praca indeks, który uniemożliwi wprowadzenie
powtarzających się wartości w tym polu. Zapisać tabelę.
9.
W tabeli Pracownicy zmodyfikować pole Stawka tak, by wartości w nim przechowywane
wyświetlane były z dokładnością do jednego miejsca po przecinku. Zapisać wprowadzone
zmiany.
10.
W tabeli Pracownicy zastąpić wartość Tarkowska w polu Nazwisko wartością Walewska.
11.
Zmienić kolejność pól w definicji tabeli Pracownicy tak, by pole Imię znalazło się przed
polem Nazwisko. Zapisać wprowadzone zmiany i zamknąć tabelę Pracownicy.
12.
Utworzyć relację typu jeden-do-wielu między tabelami Pracownicy i Działy wykorzystując do
tego celu pole Koddziału oraz relację jeden do jednego między tabelami Adresy i Pracownicy
wykorzystując pole Identyfikator.
13.
Zdefiniować więzy integralności dla relacji utworzonej między tabelami Pracownicy i Działy
oraz tabelami Pracownicy i Adresy.
14.
Usunąć relację między tabelami Działy iWyposażenie. Zapisać i zamknąć okno relacji.
15. Otworzyć tabelę Pracownicy i posortować rosnąco według pola Nazwisko jej zawartość.
Zapisać wprowadzone zmiany.
16. Otworzyć tabelę Adresy i wydrukować jako plik pdf pod nazwą adresy.pdf (na dysku D w
swoim folderze) rekord danych przedstawiony poniżej. Zapisać wszystkie otwarte tabele.
ULICA
Maklakiewicza 4
MIASTO
Piaseczno
KOD
00-121
TELEFON
784-090
17. Ustawić szerokość kolumn wyświetlania tabeli Działy na 19 znaków. Zapisać wprowadzone
zmiany.
18. Usunąć tabelę Wyposażenie
19. Otworzyć tabelę Pracownicy. Zmienić rozmiar pola Nazwisko z 30 do 50 znaków. Zapisać
wprowadzone zmiany.
20. Otworzyć tabelę Pracownicy-próby i ustawić szerokość wszystkich kolumn wyświetlania tak,
by wszystkie dane były widoczne. Zapisać wprowadzone zmiany.
21. Otworzyć tabelę Pracownicy. Zmodyfikować pole Data tak, by wyświetlany był dzień, pełna
nazwa miesiąca oraz rok w postaci czterech cyfr. Zapisać wprowadzone zmiany i zamknąć
tabelę Pracownicy.
22. Wykorzystując tabele Pracownicy i Adresy, utworzyć kwerendę wyświetlającą nazwiska
pracowników, którzy mieszkają w Warszawie. Zapisać kwerendę pod nazwą Kwerenda 1.
Zamknąć kwerendę.
23. Wykorzystując pole Nazwisko w tabeli Pracownicy oraz pole Kod działu w tabeli Działy,
utworzyć kwerendę wyświetlającą nazwiska pracowników, którzy pracują w dziale
chemicznym CH. Zapisać kwerendę pod nazwą Kwerenda 2. Zamknąć kwerendę.
24. Utworzyć nową kwerendę zawierającą wszystkie pola z tabeli Pracownicy. Kwerenda
powinna wyświetlać tylko te rekordy, dla których wartość w polu Stawki jest większa niż 10.
Zapisać kwerendę pod nazwą Kwerenda 2.
25. Wydrukować rezultat wykonania kwerendy Kwerenda 2 jako kwer2.pdf na dysku D.
Zamknąć kwerendę Kwerenda 2.
26. Otworzyć kwerendę Stawki wybrane i zmodyfikować kryterium wyboru rekordów dla pola
Nazwisko poprzez usunięcie wyrażenia or W* or Z* z definicji kryterium. Zapisać kwerendę
Stawki wybrane.
27. Otworzyć kwerendę Stawki wybrane i usunąć z niej pole Imię. Zapisać kwerendę.
28. Usunąć kwerendę Stawki.
29. Na podstawie tabel Pracownicy i Adresy utworzyć kwerendę wybierającą następujące dane:
nazwisko, imię, ulica, miasto, kod. Posortować dane rosnąco według pola Nazwisko i Imię.
Zapisać pod nazwą Adresy pracowników.
30. Na podstawie tabeli Pracownicy przygotować kwerendę, która wybiera z obiektu
źródłowego pola Nazwisko, Imię, Koddziału i Stawka. Dołączyć do siatki projektowej pole
CZASpracy. Zdefiniować dodatkowe pole obliczające stawkę tygodniową jako iloczyn czasu
pracy przez kosz godziny. Uruchomić kwerendę. Sprawdzić obecność nowego pola
obliczającego stawki tygodniowe. Ustalić format pola obliczeniowego jako walutowy.
Zapisać pod nazwą Płace tygodniowo.
31. Utworzyć formularz prezentujący wszystkie pola z tabeli Pracownicy (przyjąć domyślne
ustawienia definicji formularza). Zapisać formularz pod nazwą Pracownicy_Form.
32. Otworzyć formularz Działy_form i zmodyfikować w nagłówku wygląd etykiety ADRESY
nadając jej kolor zielony oraz rozmiar czcionki 20. Zapisać i zamknąć formularz
Działy_form.
33. Otworzyć formularz Pracownicy i wydrukować jako prac.pdf na dysku D pierwszy rekord
danych. Zapisać i zamknąć formularz Pracownicy.
34. Otworzyć formularz Działy_form i zamienić tekst stopki z Adresy na Pracownicy, rozmiar
tekstu stopki na 20 oraz kolor tekstu na żółty. Zapisać i zamknąć formularz Działy_form.
35. Usunąć formularz Działy.
36. Utworzyć raport zawierający wszystkie pola z tabeli Pracownicy (przyjąć domyślne
ustawienia definicji raportu). Zapisać raport pod nazwą Pracownicy Rap. Zamknąć raport
Pracownicy Rap.
37. Utworzyć raport prezentujący dane z tabeli Adresy pogrupowane według pola Identyfikator.
Zapisać raport pod nazwą Adresy Rap.
38. W raporcie Adresy Rap ustawić poziomą orientację strony. Zapisać raport Adresy Rap.
39. Usunąć raport Podsumowanie.
40. Utworzyć raport prezentujący dane z tabeli Pracownicy pogrupowane według pola Nazwisko.
W raporcie Pracownicy posortować malejąco dane według pola Imię. Raport powinien
zawierać informację o sumie czasu pracy pracownika. Zapisać raport pod nazwą
Pracownicy_sum. Zapisać raport.
41. Otworzyć raport Adresy_rap i wydrukować go jako adresy.pdf na dysku D.
42. Utworzyć raport prezentujący dane ze wszystkich pól kwerendy Stawki wybrane (przyjąć
domyślne ustawienia definicji raportu).
43. W raporcie Lista pracowników wstawić w stopce raportu tekst Raport sporządził:
oraz wpisać swoje imię i nazwisko. Tekst należy napisać czcionką o rozmiarze 11 i kolorze
zielonym. Zapisać wprowadzone zmiany i zamknąć raport Lista pracowników.
Ćwiczenia (zadania) tekstowe
1. Wyjaśnić pojęcia:
a. baza danych,
b. klucz podstawowy,
c. relacje,
d. rekord.
2. Wypisać obiekty bazy danych oraz podać do czego one służą.
3. Wypisać wszystkie dostępne typy pól w Accessie.
4. Podać krótką charakterystykę podstawowych właściwości poszczególnych typów pól.