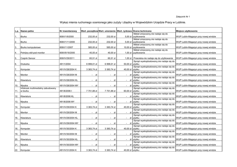
Wykaz mienia ruchomego ocenionego jako zużyty i zbędny w

Transkrypt

Wykaz mienia ruchomego ocenionego jako zużyty i zbędny w
Załącznik Nr 1
Wykaz mienia ruchomego ocenionego jako zużyty i zbędny w Wojewódzkim Urzędzie Pracy w Lublinie.
L.p. Nazwa pełna
Nr inwentarzowy
1.
Biurko
808/I/1/9/2000
2.
Biurko
808/I/1/11/2000
3.
Biurko komputerowe
808/I/11/2007
4.
Potrójny stół pod monitor
808/I/8/18/2000
5.
Czajnik Sencor
808/IV/29/2011
6.
Drukarka
7.
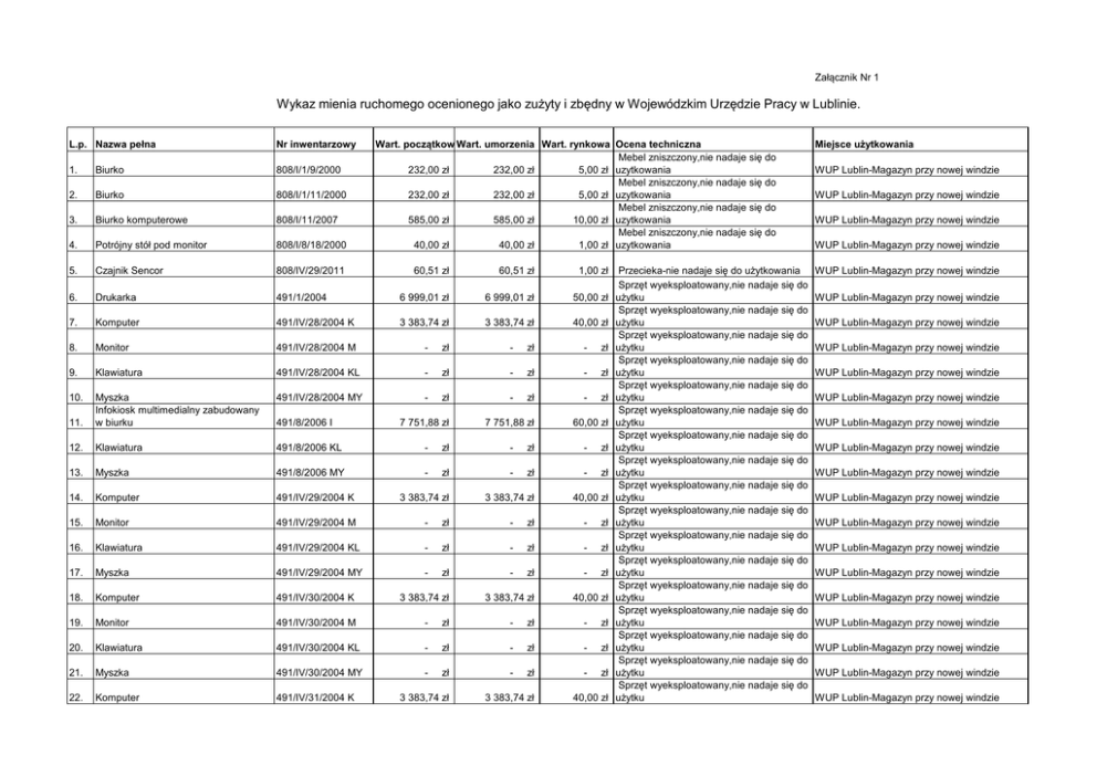
Wart. początkowaWart. umorzenia Wart. rynkowa Ocena techniczna
Mebel zniszczony,nie nadaje się do
232,00 zł
232,00 zł
5,00 zł uzytkowania
Mebel zniszczony,nie nadaje się do
232,00 zł
232,00 zł
5,00 zł uzytkowania
Mebel zniszczony,nie nadaje się do
585,00 zł
585,00 zł
10,00 zł uzytkowania
Mebel zniszczony,nie nadaje się do
40,00 zł
40,00 zł
1,00 zł uzytkowania
60,51 zł
60,51 zł
1,00 zł
491/1/2004
6 999,01 zł
6 999,01 zł
50,00 zł
Komputer
491/IV/28/2004 K
3 383,74 zł
3 383,74 zł
40,00 zł
8.
Monitor
491/IV/28/2004 M
-
zł
-
zł
-
zł
9.
Klawiatura
491/IV/28/2004 KL
-
zł
-
zł
-
zł
10.
491/IV/28/2004 MY
-
zł
-
zł
-
zł
11.
Myszka
Infokiosk multimedialny zabudowany
w biurku
12.
Klawiatura
491/8/2006 KL
-
zł
-
zł
-
zł
13.
Myszka
491/8/2006 MY
-
zł
-
zł
-
zł
14.
Komputer
491/IV/29/2004 K
3 383,74 zł
15.
Monitor
491/IV/29/2004 M
-
zł
-
zł
-
zł
16.
Klawiatura
491/IV/29/2004 KL
-
zł
-
zł
-
zł
17.
Myszka
491/IV/29/2004 MY
-
zł
-
zł
-
zł
18.
Komputer
491/IV/30/2004 K
3 383,74 zł
19.
Monitor
491/IV/30/2004 M
-
zł
-
zł
-
zł
20.
Klawiatura
491/IV/30/2004 KL
-
zł
-
zł
-
zł
21.
Myszka
491/IV/30/2004 MY
-
zł
-
zł
-
zł
22.
Komputer
491/IV/31/2004 K
491/8/2006 I
7 751,88 zł
3 383,74 zł
7 751,88 zł
3 383,74 zł
3 383,74 zł
3 383,74 zł
60,00 zł
40,00 zł
40,00 zł
40,00 zł
Przecieka-nie nadaje się do użytkowania
Sprzęt wyeksploatowany,nie nadaje się do
użytku
Sprzęt wyeksploatowany,nie nadaje się do
użytku
Sprzęt wyeksploatowany,nie nadaje się do
użytku
Sprzęt wyeksploatowany,nie nadaje się do
użytku
Sprzęt wyeksploatowany,nie nadaje się do
użytku
Sprzęt wyeksploatowany,nie nadaje się do
użytku
Sprzęt wyeksploatowany,nie nadaje się do
użytku
Sprzęt wyeksploatowany,nie nadaje się do
użytku
Sprzęt wyeksploatowany,nie nadaje się do
użytku
Sprzęt wyeksploatowany,nie nadaje się do
użytku
Sprzęt wyeksploatowany,nie nadaje się do
użytku
Sprzęt wyeksploatowany,nie nadaje się do
użytku
Sprzęt wyeksploatowany,nie nadaje się do
użytku
Sprzęt wyeksploatowany,nie nadaje się do
użytku
Sprzęt wyeksploatowany,nie nadaje się do
użytku
Sprzęt wyeksploatowany,nie nadaje się do
użytku
Sprzęt wyeksploatowany,nie nadaje się do
użytku
Miejsce użytkowania
WUP Lublin-Magazyn przy nowej windzie
WUP Lublin-Magazyn przy nowej windzie
WUP Lublin-Magazyn przy nowej windzie
WUP Lublin-Magazyn przy nowej windzie
WUP Lublin-Magazyn przy nowej windzie
WUP Lublin-Magazyn przy nowej windzie
WUP Lublin-Magazyn przy nowej windzie
WUP Lublin-Magazyn przy nowej windzie
WUP Lublin-Magazyn przy nowej windzie
WUP Lublin-Magazyn przy nowej windzie
WUP Lublin-Magazyn przy nowej windzie
WUP Lublin-Magazyn przy nowej windzie
WUP Lublin-Magazyn przy nowej windzie
WUP Lublin-Magazyn przy nowej windzie
WUP Lublin-Magazyn przy nowej windzie
WUP Lublin-Magazyn przy nowej windzie
WUP Lublin-Magazyn przy nowej windzie
WUP Lublin-Magazyn przy nowej windzie
WUP Lublin-Magazyn przy nowej windzie
WUP Lublin-Magazyn przy nowej windzie
WUP Lublin-Magazyn przy nowej windzie
WUP Lublin-Magazyn przy nowej windzie
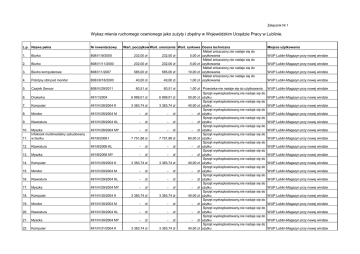
23.
Monitor
491/IV/31/2004 M
-
zł
-
zł
24.
Klawiatura
491/IV/31/2004 KL
-
zł
-
zł
25.
Myszka
491/IV/31/2004 MY
-
zł
-
zł
26.
Komputer
491/6/2007 K
3 635,33 zł
27.
Monitor
491/6/2007 M
-
zł
-
zł
28.
Klawiatura
491/6/2007 KL
-
zł
-
zł
29.
Myszka
491/6/2007 MY
-
zł
-
zł
30.
Komputer
491/IV/7/2004 K
3 498,59 zł
31.
Monitor
491/IV/7/2004 M
-
zł
-
zł
32.
Klawiatura
491/IV/7/2004 KL
-
zł
-
zł
33.
Myszka
491/IV/7/2004 MY
-
zł
-
zł
34.
Komputer
491/46/2007 K
3 495,30 zł
35.
Monitor
491/46/2007 M
-
zł
-
zł
36.
Klawiatura
491/46/2007 KL
-
zł
-
zł
37.
Myszka
491/46/2007 MY
-
zł
-
zł
38.
Komputer Megaline
491/47/2007 K
39.
Klawiatura
491/47/2007 KL
-
zł
-
zł
40.
Myszka
491/47/2007 MY
-
zł
-
zł
41.
Komputer
491/IV/43/2003 K
3 495,30 zł
42.
Monitor
491/IV/43/2003 M
-
zł
-
zł
43.
Klawiatura
491/IV/43/2003 KL
-
zł
-
zł
44.
Myszka
491/IV/43/2003 MY
-
zł
-
zł
45.
Skaner
491/IV/1/2004
450,18 zł
450,18 zł
46.
Skaner Plustek
491/IV/10/2005
399,43 zł
399,43 zł
47.
Skaner
491/IV/11/2005
399,43 zł
399,43 zł
12 172,86 zł
3 635,33 zł
3 498,59 zł
3 495,30 zł
12 172,86 zł
3 495,30 zł
Sprzęt wyeksploatowany,nie nadaje się do
zł użytku
Sprzęt wyeksploatowany,nie nadaje się do
- zł użytku
Sprzęt wyeksploatowany,nie nadaje się do
- zł użytku
Sprzęt wyeksploatowany,nie nadaje się do
40,00 zł użytku
Sprzęt wyeksploatowany,nie nadaje się do
- zł użytku
Sprzęt wyeksploatowany,nie nadaje się do
- zł użytku
Sprzęt wyeksploatowany,nie nadaje się do
- zł użytku
Sprzęt wyeksploatowany,nie nadaje się do
40,00 zł użytku
Sprzęt wyeksploatowany,nie nadaje się do
- zł użytku
Sprzęt wyeksploatowany,nie nadaje się do
- zł użytku
Sprzęt wyeksploatowany,nie nadaje się do
- zł użytku
Sprzęt wyeksploatowany,nie nadaje się do
40,00 zł użytku
Sprzęt wyeksploatowany,nie nadaje się do
- zł użytku
Sprzęt wyeksploatowany,nie nadaje się do
- zł użytku
Sprzęt wyeksploatowany,nie nadaje się do
- zł użytku
Sprzęt wyeksploatowany,nie nadaje się do
100,00 zł użytku
Sprzęt wyeksploatowany,nie nadaje się do
- zł użytku
Sprzęt wyeksploatowany,nie nadaje się do
- zł użytku
Sprzęt wyeksploatowany,nie nadaje się do
40,00 zł użytku
Sprzęt wyeksploatowany,nie nadaje się do
- zł użytku
Sprzęt wyeksploatowany,nie nadaje się do
- zł użytku
Sprzęt wyeksploatowany,nie nadaje się do
- zł użytku
Sprzęt wyeksploatowany,nie nadaje się do
5,00 zł użytku
Sprzęt wyeksploatowany,nie nadaje się do
5,00 zł użytku
Sprzęt wyeksploatowany,nie nadaje się do
5,00 zł użytku
-
WUP Lublin-Magazyn przy nowej windzie
WUP Lublin-Magazyn przy nowej windzie
WUP Lublin-Magazyn przy nowej windzie
WUP Lublin-Magazyn przy nowej windzie
WUP Lublin-Magazyn przy nowej windzie
WUP Lublin-Magazyn przy nowej windzie
WUP Lublin-Magazyn przy nowej windzie
WUP Lublin-Magazyn przy nowej windzie
WUP Lublin-Magazyn przy nowej windzie
WUP Lublin-Magazyn przy nowej windzie
WUP Lublin-Magazyn przy nowej windzie
WUP Lublin-Magazyn przy nowej windzie
WUP Lublin-Magazyn przy nowej windzie
WUP Lublin-Magazyn przy nowej windzie
WUP Lublin-Magazyn przy nowej windzie
WUP Lublin-Magazyn przy nowej windzie
WUP Lublin-Magazyn przy nowej windzie
WUP Lublin-Magazyn przy nowej windzie
WUP Lublin-Magazyn przy nowej windzie
WUP Lublin-Magazyn przy nowej windzie
WUP Lublin-Magazyn przy nowej windzie
WUP Lublin-Magazyn przy nowej windzie
WUP Lublin-Magazyn przy nowej windzie
WUP Lublin-Magazyn przy nowej windzie
WUP Lublin-Magazyn przy nowej windzie
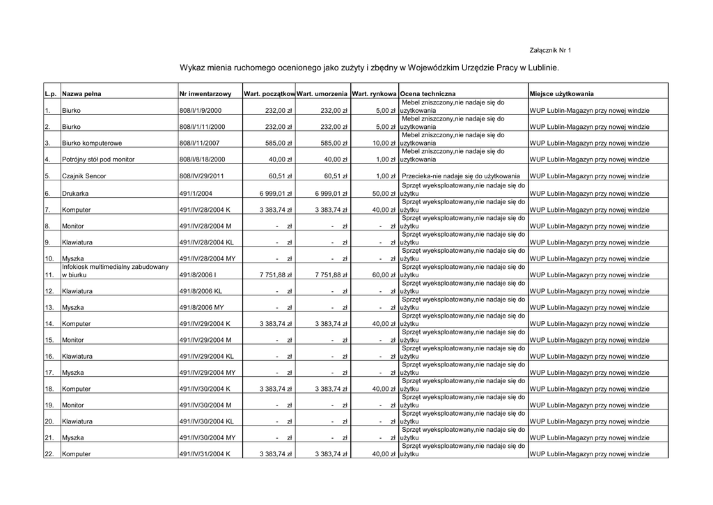
48.
Skaner Plustek
491/IV/54/2007
735,49 zł
735,49 zł
49.
Monitor B1 Prolite LCD
491/IV/57/2008
848,00 zł
848,00 zł
50.
Infokiosk multimedialny
491/3/2006 I
7 831,18 zł
7 831,18 zł
51.
Myszka
491/3/2006 MY
-
zł
-
zł
52.
Klawiatura
491/3/2006 KL
-
zł
-
zł
53.
Infokiosk multimedialny stojący
491/4/2006 I
54.
Myszka
491/4/2006 MY
-
zł
-
zł
55.
Klawiatura
491/4/2006 KL
-
zł
-
zł
56.
Infokiosk multimedialny stojący
491/5/2006 I
57.
Myszka
491/5/2006 MY
-
zł
-
zł
58.
Klawiatura
491/5/2006 KL
-
zł
-
zł
59.
Infokiosk multimedialny stojący
491/6/2006 I
60.
Myszka
491/6/2006 MY
-
zł
-
zł
61.
Klawiatura
491/6/2006 KL
-
zł
-
zł
62.
Drukarka Canon
491/IV/13/2004
798,99 zł
798,99 zł
63.
Drukarka Canon
491/IV/15//2004
432,00 zł
432,00 zł
64.
Drukarka Canon
491/IV/17/2004
432,00 zł
432,00 zł
65.
Drukarka laserowa
491/IV/53/2007
1 781,75 zł
1 781,75 zł
66.
Drukarka OKI B 4100
491/IV/5/2006
768,60 zł
768,60 zł
67.
Drukarka
491/IV/35/2007
558,76 zł
558,76 zł
68.
Drukarka
491/IV/36/2007
558,76 zł
558,76 zł
69.
Drukarka HPJ 1220
808/III/10/2001
2 850,01 zł
2 850,01 zł
70.
Zasilacz - UPS
808/IV/53/2004
359,75 zł
359,75 zł
71.
Szafa metalowa
808/I/2/3/2000
0,25 zł
0,25 zł
72.
Szafa metalowa
808/I/2/46/2000
350,00 zł
350,00 zł
7 831,18 zł
7 831,18 zł
7 831,18 zł
7 831,18 zł
7 831,18 zł
7 831,18 zł
Sprzęt wyeksploatowany,nie nadaje się do
5,00 zł użytku
Sprzęt wyeksploatowany,nie nadaje się do
5,00 zł użytku
Sprzęt wyeksploatowany,nie nadaje się do
60,00 zł użytku
Sprzęt wyeksploatowany,nie nadaje się do
- zł użytku
Sprzęt wyeksploatowany,nie nadaje się do
- zł użytku
Sprzęt wyeksploatowany,nie nadaje się do
60,00 zł użytku
Sprzęt wyeksploatowany,nie nadaje się do
- zł użytku
Sprzęt wyeksploatowany,nie nadaje się do
- zł użytku
Sprzęt wyeksploatowany,nie nadaje się do
60,00 zł użytku
Sprzęt wyeksploatowany,nie nadaje się do
- zł użytku
Sprzęt wyeksploatowany,nie nadaje się do
- zł użytku
Sprzęt wyeksploatowany,nie nadaje się do
60,00 zł użytku
Sprzęt wyeksploatowany,nie nadaje się do
- zł użytku
Sprzęt wyeksploatowany,nie nadaje się do
- zł użytku
Sprzęt wyeksploatowany,nie nadaje się do
10,00 zł użytku
Sprzęt wyeksploatowany,nie nadaje się do
10,00 zł użytku
Sprzęt wyeksploatowany,nie nadaje się do
10,00 zł użytku
Sprzęt wyeksploatowany,nie nadaje się do
15,00 zł użytku
Sprzęt wyeksploatowany,nie nadaje się do
10,00 zł użytku
Sprzęt wyeksploatowany,nie nadaje się do
10,00 zł użytku
Sprzęt wyeksploatowany,nie nadaje się do
10,00 zł użytku
Sprzęt wyeksploatowany,nie nadaje się do
20,00 zł użytku
Sprzęt wyeksploatowany,nie nadaje się do
1,00 zł użytku
Sprzęt wyeksploatowany,nie nadaje się do
0,25 zł użytku
Sprzęt wyeksploatowany,nie nadaje się do
20,00 zł użytku
WUP Lublin-Magazyn przy nowej windzie
WUP Lublin-Magazyn przy nowej windzie
WUP Lublin-Magazyn przy nowej windzie
WUP Lublin-Magazyn przy nowej windzie
WUP Lublin-Magazyn przy nowej windzie
WUP Lublin-Magazyn przy nowej windzie
WUP Lublin-Magazyn przy nowej windzie
WUP Lublin-Magazyn przy nowej windzie
WUP Lublin-Magazyn przy nowej windzie
WUP Lublin-Magazyn przy nowej windzie
WUP Lublin-Magazyn przy nowej windzie
WUP Lublin-Magazyn przy nowej windzie
WUP Lublin-Magazyn przy nowej windzie
WUP Lublin-Magazyn przy nowej windzie
WUP Lublin-Magazyn przy nowej windzie
WUP Lublin-Magazyn przy nowej windzie
WUP Lublin-Magazyn przy nowej windzie
WUP Lublin-Magazyn przy nowej windzie
WUP Lublin-Magazyn przy nowej windzie
WUP Lublin-Magazyn przy nowej windzie
WUP Lublin-Magazyn przy nowej windzie
WUP Lublin-Magazyn przy nowej windzie
WUP Lublin-Magazyn przy nowej windzie
WUP Lublin-Magazyn przy nowej windzie
WUP Lublin-Magazyn przy nowej windzie
73.
Szafa metalowa
808/I/2/39/2000
210,00 zł
210,00 zł
74.
Telefon Gigaset
808/II/17/2004
362,34 zł
362,34 zł
75.
Drukarka OKI
491/94/2000
8 181,75 zł
8 181,75 zł
76.
Szafa metalowa
808/I/2/21/2000
10,00 zł
10,00 zł
77.
Szafa metalowa
808/I/2/20/2000
10,00 zł
10,00 zł
107 554,95 zł
107 554,95 zł
Sporządziła Anna Zawadzka
Sprzęt wyeksploatowany,nie nadaje się do
20,00 zł użytku
Sprzęt wyeksploatowany,nie nadaje się do
10,00 zł użytku
Sprzęt wyeksploatowany,nie nadaje się do
30,00 zł użytku
Sprzęt wyeksploatowany,nie nadaje się do
10,00 zł użytku
Sprzęt wyeksploatowany,nie nadaje się do
10,00 zł użytku
WUP Lublin-Magazyn przy nowej windzie
WUP Lublin-Magazyn przy nowej windzie
WUP Lublin-Magazyn przy nowej windzie
WUP Lublin-Magazyn przy nowej windzie
WUP Lublin-Magazyn przy nowej windzie