Oblicz: 1) √121 = 11 ponieważ 11 2 = 121 2) √0,01 = 0,1

Transkrypt

Oblicz: 1) √121 = 11 ponieważ 11 2 = 121 2) √0,01 = 0,1
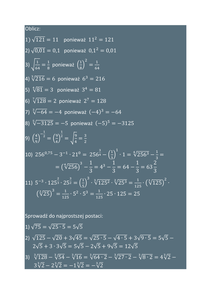
Oblicz:
1) √121 = 11 ponieważ 112 = 121
2) √0,01 = 0,1 ponieważ 0,12 = 0,01
3) √
1
64
=
1
8
1 2
1
8
64
ponieważ ( ) =
3
4) √216 = 6 ponieważ 63 = 216
4
5) √81 = 3 ponieważ 34 = 81
7
6) √128 = 2 ponieważ 27 = 128
3
7) √−64 = −4 ponieważ (−4)3 = −64
5
8) √−3125 = −5 ponieważ (−5)5 = −3125
1
9)
4 −2
( )
9
1
9 2
( )
4
=
0,75
10) 256
−3
11) 5
2
9
3
4
2
=√ =
−1
3
4
0
1 1
1
4
∙ 21 = 256 − ( ) ∙ 1 = √2563 − =
3
3
3
1
1
1
2
4
= ( √256) − = 43 − = 64 − = 63
3
3
3
3
−3
2
3
1 3
3
2
3
2
1
3
2
∙ 125 ∙ 25 = ( ) ∙ √1252 ∙ √253 =
∙ ( √125) ∙
5
125
3
1
1
( √25) = 125 ∙ 52 ∙ 53 = 125 ∙ 25 ∙ 125 = 25
Sprowadź do najprostszej postaci:
1) √75 = √25 ∙ 5 = 5√5
2) √125 − √20 + 3√45 = √25 ∙ 5 − √4 ∙ 5 + 3√9 ∙ 5 = 5√5 −
2√5 + 3 ∙ 3√5 = 5√5 − 2√5 + 9√5 = 12√5
3
3
3
3
3
3
3
3) √128 − √54 − √16 = √64 ∙ 2 − √27 ∙ 2 − √8 ∙ 2 = 4 √2 −
3
3
3
3
3 √2 − 2 √2 = −1 √2 = − √2
Włącz czynnik pod pierwiastek:
1) 5√6 = √52 ∙ 6 = √25 ∙ 6 = √150
4
4
4
4
2) 7 √2 = √74 ∙ 2 = √2401 ∙ 2 = √4802
Usuń niewymierność z mianownika:
1)
2)
4
3√ 5
=
2√ 5
3√2−4
4
√5
3√ 5 √ 5
=
∙
=
2 √5
∙
4√ 5
3∙√5∙√5
3√2+4
3√2−4 3√2+4
2√5∙3√2+2√5∙4
3√2∙3√2+4∙3√2−4∙3√2−4∙4
6√10+8√5
6√10
8√ 5
=
2
3)
12
√5−√3
=
2
12
+
2
=
4√ 5
3∙5
=
4√ 5
15
2√5∙(3√2+4)
(3√2−4)∙(3√2+4)
6√5∙2+8√5
=
9√2∙2−16
=
√5+√3
√5−√3 √5+√3
∙
=
=
=
6√10+8√5
9∙2−16
=
6√10+8√5
19−16
3√10 + 4√5
=
12√5+12√3
√5∙√5+√5∙√3−√3∙√5−√3∙√3
12∙(√5+√3)
(√5−√3)∙(√5+√3)
=
=
12√5+12√3
√25+√15−√15−√9
=
12√5+12√3
12√5 + 12√3 12√5 12√3
=
+
= 6√5 + 6√3
2
2
2
5−3
=
=