ZADANIA EGZAMINACYJNE ZAD.1. Gęstość śniegu wynosi 300 kg

Transkrypt

ZADANIA EGZAMINACYJNE ZAD.1. Gęstość śniegu wynosi 300 kg
ZADANIA EGZAMINACYJNE
ZAD.1. Gęstość śniegu wynosi 300 kg/m3 .
Oznacza to, Ŝe:
A) 300 m3 ma masę 1 kg
B) 1 m3 ma masę 300 kg
C) 1 m3 ma cięŜar 300 kg
D) 300 m3 ma masę 300 kg
ZAD.2. Na jednym z płaskich dachów o
powierzchni 100 m2 zalega warstwa śniegu o
grubości 10 cm i gęstości około 300 kg/m3.
ZałóŜmy, Ŝe przeciętny samochód ma masę 1000
kg. Ilu takim samochodom odpowiada masa
warstwy śniegu leŜącego na dachu?
A) 1 samochodowi
B) 2 samochodom
C) 3 samochodom
D) 4 samochodom
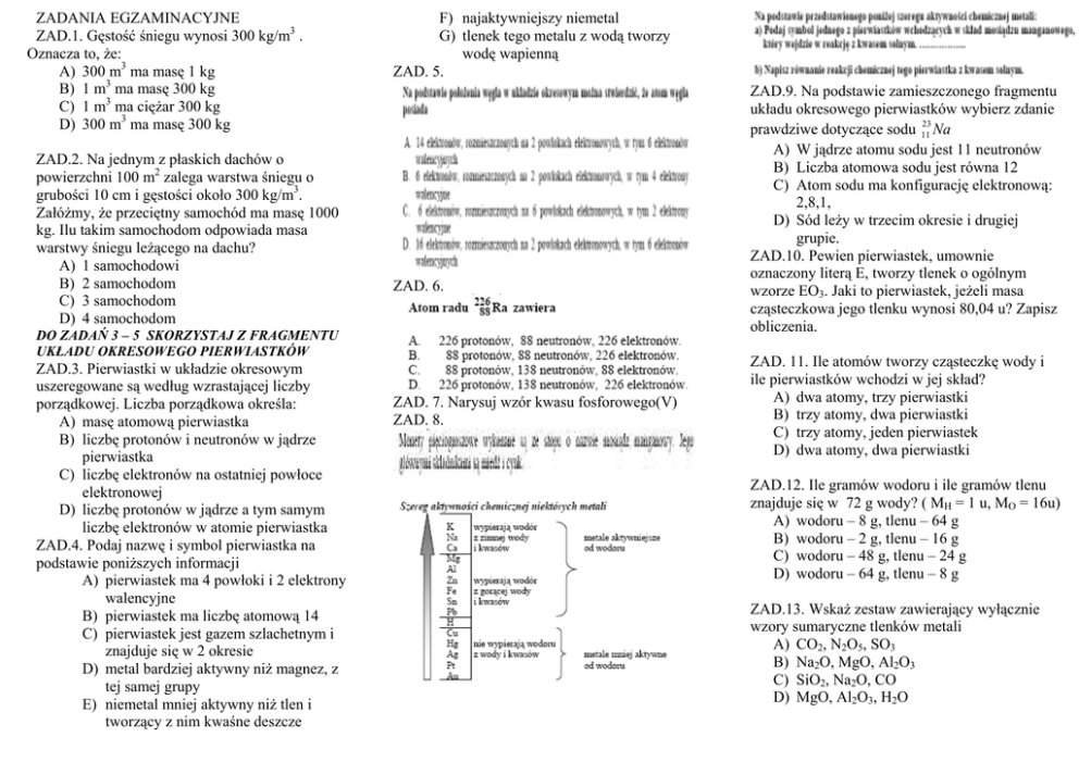
F) najaktywniejszy niemetal
G) tlenek tego metalu z wodą tworzy
wodę wapienną
ZAD. 5.
ZAD. 6.
DO ZADAŃ 3 – 5 SKORZYSTAJ Z FRAGMENTU
UKŁADU OKRESOWEGO PIERWIASTKÓW
ZAD.3. Pierwiastki w układzie okresowym
uszeregowane są według wzrastającej liczby
porządkowej. Liczba porządkowa określa:
A) masę atomową pierwiastka
B) liczbę protonów i neutronów w jądrze
pierwiastka
C) liczbę elektronów na ostatniej powłoce
elektronowej
D) liczbę protonów w jądrze a tym samym
liczbę elektronów w atomie pierwiastka
ZAD.4. Podaj nazwę i symbol pierwiastka na
podstawie poniŜszych informacji
A) pierwiastek ma 4 powłoki i 2 elektrony
walencyjne
B) pierwiastek ma liczbę atomową 14
C) pierwiastek jest gazem szlachetnym i
znajduje się w 2 okresie
D) metal bardziej aktywny niŜ magnez, z
tej samej grupy
E) niemetal mniej aktywny niŜ tlen i
tworzący z nim kwaśne deszcze
ZAD. 7. Narysuj wzór kwasu fosforowego(V)
ZAD. 8.
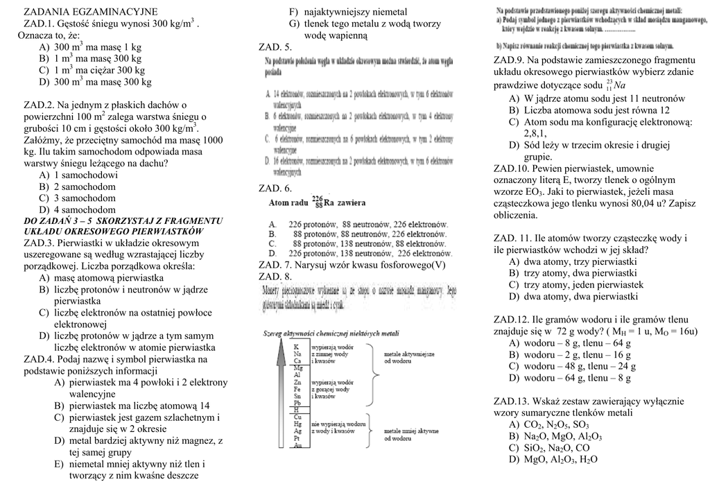
ZAD.9. Na podstawie zamieszczonego fragmentu
układu okresowego pierwiastków wybierz zdanie
23
prawdziwe dotyczące sodu 11
Na
A) W jądrze atomu sodu jest 11 neutronów
B) Liczba atomowa sodu jest równa 12
C) Atom sodu ma konfigurację elektronową:
2,8,1,
D) Sód leŜy w trzecim okresie i drugiej
grupie.
ZAD.10. Pewien pierwiastek, umownie
oznaczony literą E, tworzy tlenek o ogólnym
wzorze EO3. Jaki to pierwiastek, jeŜeli masa
cząsteczkowa jego tlenku wynosi 80,04 u? Zapisz
obliczenia.
ZAD. 11. Ile atomów tworzy cząsteczkę wody i
ile pierwiastków wchodzi w jej skład?
A) dwa atomy, trzy pierwiastki
B) trzy atomy, dwa pierwiastki
C) trzy atomy, jeden pierwiastek
D) dwa atomy, dwa pierwiastki
ZAD.12. Ile gramów wodoru i ile gramów tlenu
znajduje się w 72 g wody? ( MH = 1 u, MO = 16u)
A) wodoru – 8 g, tlenu – 64 g
B) wodoru – 2 g, tlenu – 16 g
C) wodoru – 48 g, tlenu – 24 g
D) wodoru – 64 g, tlenu – 8 g
ZAD.13. WskaŜ zestaw zawierający wyłącznie
wzory sumaryczne tlenków metali
A) CO2, N2O5, SO3
B) Na2O, MgO, Al2O3
C) SiO2, Na2O, CO
D) MgO, Al2O3, H2O
ZAD. 14. W pewnym kwasie tlenowym stosunek
masy wodoru do masy niemetalu i do masy tlenu
jest równy 1 : 6 : 24. Kwasem tym jest
A) kwas węglowy
B) kwas siarkowy(IV)
C) kwas azotowy(V)
D) kwas siarkowy(VI)
ZAD. 21. śelazo moŜna otrzymać z rud przez
redukcję jego tlenku węglem. Który zapis
równania reakcji jest prawidłowy?
A) Fe2O3 + C → 3 Fe + CO2
B) Fe2O3 + 3 C → 2 Fe + CO2
C) Fe2O3 + 2 C → 2 Fe + 2 CO2
D) 2 Fe2O3 + 3 C → 4 Fe + 3 CO2
ZAD.15. Atom azotu 147 N zawiera
A) 14 protonów, 14 neutronów, 14 elektronów
B) 7 protonów, 14 neutronów, 7 elektronów
C) 14 protonów, 7 neutronów, 14 elektronów
D) 7 protonów, 7 neutronów, 7 elektronów
ZAD.22. Prawo okresowości brzmi:
A) właściwości pierwiastków nie powtarzają się
B) właściwości pierwiastków powtarzają się
periodycznie, wraz ze wzrastającą liczbą
porządkową
C) pierwiastki powstają w sposób okresowy
D) okres połowicznego rozpadu kaŜdego
pierwiastka jest taki sam
ZAD. 16. WskaŜ wzór tlenku azotu, w którym
azot jest czterowartościowy
A) N2O B) N2O3 C) NO2 D) N2O5
ZAD. 17. Szklana płytka umieszczona nisko nad
płomieniem świecy pokrywa się czarną
substancją. Tą substancją jest
A) para wodna
B) tlenek węgla(IV)
C) tlenek węgla(II)
D) sadza (węgiel)
ZAD.18. Pierwiastkiem leŜącym w trzecim
okresie układu okresowego, którego atom posiada
4 elektrony walencyjne jest
A) beryl B) glin C) magnez
D) krzem
ZAD.19. Jądro atomowe izotopu pewnego
pierwiastka ma masę 14 u i zawiera 8 neutronów.
Jest to jądro izotopu
A) boru B) azotu C) węgla D) tlenu
ZAD. 20. Który z zestawów substancji zawiera
tylko metale?
A) węgiel, siarka, cynk
B) brom, Ŝelazo, węgiel
C) lit, magnez, Ŝelazo
D) Ŝelazo, magnez, fluor
ZAD.23. Izotopy to
A) atomy tego samego pierwiastka róŜniące się
liczbą porządkową
B) atomy tego samego pierwiastka róŜniące się
liczbą masową
C) atomy dwóch róŜnych pierwiastków
D) atomy tego samego pierwiastka
ZAD. 24. Protonem nazywamy
A) cząstkę elementarną o ładunku –1 i masie 1u
B) cząstkę elementarną o masie 1u i ładunku 0
C) cząstkę elementarną o ładunku +1 i masie 1u
D) cząstkę elementarną o masie 0,1u i ładunku +1
ZAD. 25. Prawo stałości składu mówi
A) w danym związku chemicznym stosunek mas
pierwiastków jest stały i charakterystyczny dla
tego związku
B) w danym związku chemicznym stosunek mas
pierwiastków zaleŜy od wartościowości
pierwiastków
C) w danym związku chemicznym stosunek mas
atomów pierwiastków jest zmienny
D) Ŝadna odpowiedź nie jest poprawna
ZAD.25. Liczba masowa A oznacza
A) liczbę elektronów w jądrze
B) liczbę neutronów w jądrze
C) liczbę protonów i neutronów w jądrze
D) liczbę protonów w jądrze
ZAD. 26. Powietrze to
A) pierwiastek chemiczny
B) związek chemiczny
C) mieszanina jednorodna
D) mieszanina niejednorodna
ZAD. 27. Reakcja endoenergetyczna to taka, w
której
A) następuje wydzielanie energii na róŜne
sposoby
B) następuje pobranie energii na róŜne sposoby
C) następuje wydzielanie lub pobranie energii na
róŜne sposoby
D) wszystkie odpowiedzi są poprawne
ZAD. 28. Która substancja nie jest związkiem
chemicznym?
A) tlenek węgla(II)
B) woda
C) brąz
D) cukier
ZAD. 29. Produktem syntezy wody jest
A) tlen B) wodór C) tlen i wodór D) woda
ZAD. 30. WskaŜ właściwości fizyczne tlenu
A) podtrzymuje palenie i jest gazem
B) bezwonny i przezroczysty
C) gaz o gęstości większej od wodoru
słabo rozpuszcza się w wodzie i ma gęstość
1,43 g/cm3
ZAD.31. Masa metalowej kostki w kształcie
sześcianu o krawędzi a=2 cm wynosi 57,12 g.
Oblicz gęstość substancji i ją zidentyfikuj.