komunikat - Bank Spółdzielczy w Opocznie

Transkrypt

komunikat - Bank Spółdzielczy w Opocznie
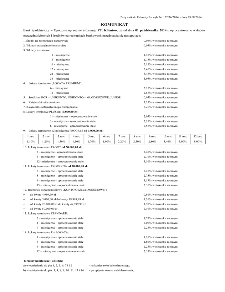
Załącznik do Uchwały Zarządu Nr 122/36/2014 z dnia 29.08.2014r
KOMUNIKAT
Bank Spółdzielczy w Opocznie uprzejmie informuje PT. Klientów, że od dnia 01 października 2014r. oprocentowanie wkładów
oszczędnościowych i środków na rachunkach bankowych przedstawia się następująco:
1. Środki na rachunkach bankowych
0,05% w stosunku rocznym
2. Wkłady oszczędnościowe a-vista
0,05% w stosunku rocznym
3. Wkłady terminowe:
4.
1 – miesięczne
1,10% w stosunku rocznym
3 – miesięczne
1,75% w stosunku rocznym
6 - miesięczne
2,15% w stosunku rocznym
12 - miesięczne
2,45% w stosunku rocznym
24 - miesięczne
3,45% w stosunku rocznym
36 - miesięczne
3,95% w stosunku rocznym
Lokaty terminowe „LOKATA PREMIUM”:
6 – miesięczne
2,25% w stosunku rocznym
12 - miesięczne
2,55% w stosunku rocznym
5.
Środki na ROR – UNIKONTO, UNIKONTO – MŁODZIEŻOWE, JUNIOR
0,05% w stosunku rocznym
6.
Książeczki mieszkaniowe
3,25% w stosunku rocznym
7. Książeczki systematycznego oszczędzania
3,25% w stosunku rocznym
8. Lokaty terminowe PLUS od 10.000,00 zł.:
9.
1 – miesięczna – oprocentowanie stałe
2,05% w stosunku rocznym
3 - miesięczne - oprocentowanie stałe
2,25% w stosunku rocznym
6 - miesięczne - oprocentowanie stałe
2,55% w stosunku rocznym
Lokaty terminowe 12 miesięczna PROGRES od 3.000,00 zł.:
1 m-c
2 m-c
3 m-c
4 m-c
5 m-c
6 m-c
7 m-c
8 m-c
9 m-c
10 m-c
11 m-c
12 m-c
1,10%
1,20%
1,30%
1,50%
1,70%
1,90%
2,20%
2,50%
2,80%
3,40%
3,90%
8,00%
10. Lokaty terminowe PROFIT od 30.000,00 zł:
3 – miesięczne - oprocentowanie stałe
2,40% w stosunku rocznym
6 – miesięczne – oprocentowanie stałe
2,70% w stosunku rocznym
12- miesięczne – oprocentowanie stałe
3,10% w stosunku rocznym
11. Lokaty terminowe PROMOCJA od 70.000,00 zł:
3 – miesięczne – oprocentowanie stałe
2,45% w stosunku rocznym
5 – miesięczne – oprocentowanie stałe
2,75% w stosunku rocznym
9 – miesięczne – oprocentowanie stałe
3,15% w stosunku rocznym
15 – miesięczne – oprocentowanie stałe
3,35% w stosunku rocznym
12. Rachunek oszczędnościowy „KONTO OSZCZĘDNOŚCIOWE”:
–
do kwoty 4.999,99 zł
0,80% w stosunku rocznym
–
od kwoty 5.000,00 zł do kwoty 19.999,99 zł
1,20% w stosunku rocznym
–
od kwoty 20.000,00 zł do kwoty 49,999,99 zł
1,70% w stosunku rocznym
–
od kwoty 50.000,00 zł
2,10% w stosunku rocznym
13. Lokaty terminowe STANDARD:
2 – miesięczna – oprocentowanie stałe
1,75% w stosunku rocznym
4 – miesięczna – oprocentowanie stałe
2,00% w stosunku rocznym
7 – miesięczna – oprocentowanie stałe
2,25% w stosunku rocznym
14. Lokaty terminowe E – LOKATA:
1 – miesięczna – oprocentowanie stałe
1,10% w stosunku rocznym
3 – miesięczna – oprocentowanie stałe
1,80% w stosunku rocznym
6 – miesięczna – oprocentowanie stałe
2,25% w stosunku rocznym
12 – miesięczna – oprocentowanie stałe
2,55% w stosunku rocznym
Terminy kapitalizacji odsetek:
a) w odniesieniu do pkt 1, 2, 5, 6, 7 i 12
- na koniec roku kalendarzowego,
b) w odniesieniu do pkt. 3, 4, 8, 9, 10. 11, 13 i 14
- po upływie okresu zadeklarowania,