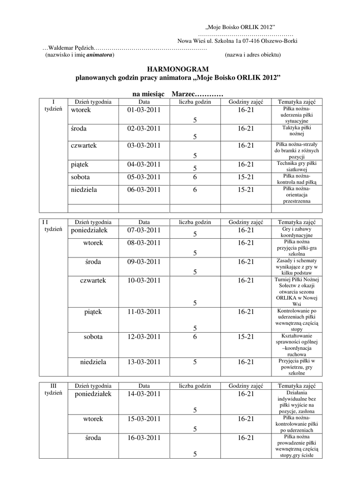
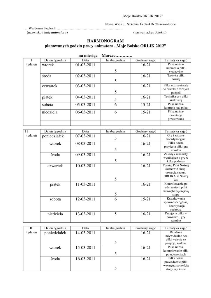
HARMONOGRAM planowanych godzin pracy animatora „Moje

Transkrypt

HARMONOGRAM planowanych godzin pracy animatora „Moje
„Moje Boisko ORLIK 2012”
…………………………………………
Nowa Wieś ul. Szkolna 1a 07-416 Olszewo-Borki
…Waldemar Pędzich…………………………………………………
(nazwisko i imię animatora)
(nazwa i adres obiektu)
HARMONOGRAM
planowanych godzin pracy animatora „Moje Boisko ORLIK 2012”
na miesiąc
I
tydzień
Dzień tygodnia
Data
Marzec…………
liczba godzin
Godziny zajęć
Tematyka zajęć
16-21
Piłka nożnauderzenia piłki
sytuacyjne
Taktyka piłki
nożnej
wtorek
01-03-2011
środa
02-03-2011
czwartek
03-03-2011
piątek
04-03-2011
sobota
05-03-2011
5
6
niedziela
06-03-2011
6
15-21
Data
liczba godzin
Godziny zajęć
Tematyka zajęć
16-21
Gry i zabawy
koordynacyjne
Piłka nożna
przyjęcia piłki-gra
szkolna
Zasady i schematy
wynikające z gry w
kilku podstaw
Turniej Piłki Nożnej
Sołectw z okazji
otwarcia sezonu
ORLIKA w Nowej
Wsi
Kontrolowanie po
uderzeniach piłki
wewnętrzną częścią
stopy
Kształtowanie
sprawności ogólnej
–koordynacja
ruchowa
Przyjęcia piłki w
powietrzu, gry
szkolne
5
16-21
5
16-21
5
II
tydzień
Dzień tygodnia
poniedziałek
wtorek
07-03-2011
5
08-03-2011
16-21
15-21
16-21
5
środa
09-03-2011
16-21
5
czwartek
10-03-2011
16-21
5
III
tydzień
16-21
Piłka nożna-strzały
do bramki z różnych
pozycji
Technika gry piłki
siatkowej
Piłka nożnakontrola nad piłką
Piłka nożnaorientacja
przestrzenna
piątek
11-03-2011
sobota
12-03-2011
5
6
15-21
niedziela
13-03-2011
5
16-21
Dzień tygodnia
Data
liczba godzin
Godziny zajęć
Tematyka zajęć
poniedziałek
14-03-2011
16-21
wtorek
15-03-2011
środa
16-03-2011
Działania
indywidualne bez
piłki wyjście na
pozycje, zasłona
Piłka nożnakontrolowanie piłki
po uderzeniach
Piłka nożna
prowadzenie piłki
wewnętrzną częścią
stopy,gry ścisłe
5
16-21
5
16-21
5
czwartek
17-03-2011
piątek
18-03-2011
16-21
5
IV
tydzień
16-21
Piłka koszykowa
kozłowanie gry i
zabawy szkolne
Piłka nożnawykonywanie
działań własnym
ciałem
Piłka nożna podania
piłki i przyjęcia
Piłka nożnaprowadzenie piłki
zewnętrznym
podbiciem
sobota
19-03-2011
5
5
niedziela
20-03-2011
5
16-21
Dzień tygodnia
Data
liczba godzin
Godziny zajęć
Tematyka zajęć
poniedziałek
21-03-2011
16-21
Działania
indywidualne w
piłce nożnej
Piłka nożnagibkość,
elastyczność
Piłka nożna –strzały
na bramkę z
różnych pozycji
Turniej dzikich
drużyn
Uderzenia piłki
nogą i głową
Piłka nożnaelastyczność
zwinność
Kształtowanie
motoryczne-krótka
eksplozja
(skok,siła,moc)
16-21
5
wtorek
22-03-2011
16-21
5
środa
23-03-2011
16-21
5
czwartek
24-03-2011
piątek
25-03-2011
sobota
5
16-21
16-21
26-03-2011
5
6
15-21
niedziela
27-03-2011
6
15-21
poniedziałek
28-03-2011
5
16-21
wtorek
29-03-2011
5
środa
30-03-2011
5
16-21
czwartek
31-03-2011
5
16-21
16-21
Piłka nożnaszybkość ruchowa z
piłką
Piłka nożnaprowadzenie piłkiobserwacja
współpartnerów i
ocena sytuacji
Piłka nożna stałe
fragmenty gry
Koordynacja
ruchowa, technika
piłki nożnej
..................................................................
(podpis animatora)
Zatwierdzenie planu przez upoważnionego przedstawiciela jednostki samorządu terytorialnego
…………………………………………………………………………………………
(podpis i pieczęć)