Aneks nr 5 organizacji Zespołu Szkół Ogólnokształcących w
Transkrypt
										Aneks nr 5 organizacji Zespołu Szkół Ogólnokształcących w
                                        
                                        
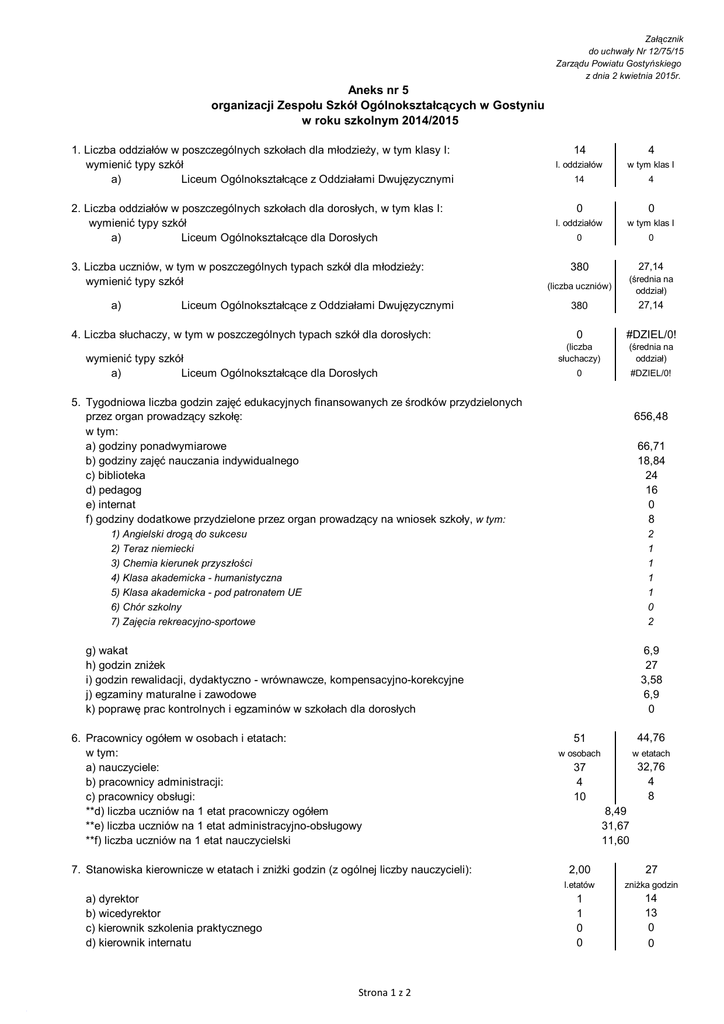
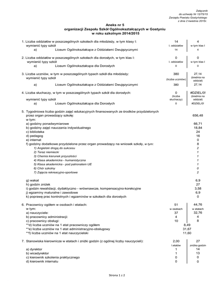
                                Załącznik do uchwały Nr 12/75/15 Zarządu Powiatu Gostyńskiego z dnia 2 kwietnia 2015r. Aneks nr 5 organizacji Zespołu Szkół Ogólnokształcących w Gostyniu w roku szkolnym 2014/2015 1. Liczba oddziałów w poszczególnych szkołach dla młodzieży, w tym klasy I: wymienić typy szkół Liceum Ogólnokształcące z Oddziałami Dwujęzycznymi a) 14 4 l. oddziałów w tym klas I 14 4 2. Liczba oddziałów w poszczególnych szkołach dla dorosłych, w tym klas I: wymienić typy szkół a) Liceum Ogólnokształcące dla Dorosłych 0 0 l. oddziałów w tym klas I 0 0 3. Liczba uczniów, w tym w poszczególnych typach szkół dla młodzieży: wymienić typy szkół a) Liceum Ogólnokształcące z Oddziałami Dwujęzycznymi 4. Liczba słuchaczy, w tym w poszczególnych typach szkół dla dorosłych: wymienić typy szkół a) Liceum Ogólnokształcące dla Dorosłych 380 27,14 (liczba uczniów) (średnia na oddział) 380 27,14 0 #DZIEL/0! (liczba słuchaczy) (średnia na oddział) 0 #DZIEL/0! 5. Tygodniowa liczba godzin zajęć edukacyjnych finansowanych ze środków przydzielonych przez organ prowadzący szkołę: w tym: a) godziny ponadwymiarowe b) godziny zajęć nauczania indywidualnego c) biblioteka d) pedagog e) internat f) godziny dodatkowe przydzielone przez organ prowadzący na wniosek szkoły, w tym: 656,48 66,71 18,84 24 16 0 8 1) Angielski drogą do sukcesu 2) Teraz niemiecki 3) Chemia kierunek przyszłości 4) Klasa akademicka - humanistyczna 5) Klasa akademicka - pod patronatem UE 6) Chór szkolny 7) Zajęcia rekreacyjno-sportowe 2 1 1 1 1 0 2 g) wakat h) godzin zniżek i) godzin rewalidacji, dydaktyczno - wrównawcze, kompensacyjno-korekcyjne j) egzaminy maturalne i zawodowe k) poprawę prac kontrolnych i egzaminów w szkołach dla dorosłych 6. Pracownicy ogółem w osobach i etatach: w tym: a) nauczyciele: b) pracownicy administracji: c) pracownicy obsługi: **d) liczba uczniów na 1 etat pracowniczy ogółem **e) liczba uczniów na 1 etat administracyjno-obsługowy **f) liczba uczniów na 1 etat nauczycielski 7. Stanowiska kierownicze w etatach i zniżki godzin (z ogólnej liczby nauczycieli): a) dyrektor b) wicedyrektor c) kierownik szkolenia praktycznego d) kierownik internatu Strona 1 z 2 6,9 27 3,58 6,9 0 51 44,76 w osobach w etatach 37 4 10 32,76 4 8 8,49 31,67 11,60 2,00 27 l.etatów zniżka godzin 1 1 0 0 14 13 0 0 8. Tygodniowa liczbie godzin zajęć prowadzonych przez poszczególnych nauczycieli w szkołach dla młodzieży i dorosłych: L.p. Imię i nazwisko Liczba godzin w szkołach dla młodzieży i dorosłych przed zmianą 1 2 3 4 5 6 7 8 9 10 11 12 13 po zmianie Wymiar etatu w szkołach dla młodzieży i dorosłych przed zmianą po zmianie Jacek Bartkowiak 19,24 1,07 19,43 1,08 Romana Bartosz 2 0,11 2,1 0,12 Roman Glura 22,16 1,23 22,75 1,26 Joanna Kabała 25,68 1,43 25,88 1,44 Paweł Kempiak 18,37 1,02 18,66 1,04 Violetta Lewandowicz 16 0,89 16,1 0,89 Katarzyna Miedziarek 14,03 0,78 14,22 0,79 Artur Niedziela 19,24 1,07 19,63 1,09 Justyna Niedziela 19,32 1,07 19,41 1,08 Małgorzata Niewrzęda 5,58 0,31 5,97 0,33 Magdalena Ratajczak 18,63 1,04 19,42 1,08 Anna Szulc-Giezek 22,05 1,23 22,64 1,26 Karina Szymankiewicz 19,68 20,47 1,14 1,09 wzrost /spadek liczby godzin w stosunku do poprzedniego arkusza organizacyjnego tygodniowo ***Koszt finansowy zmian tygodniowo 9. Rada Pedagogiczna zaopiniowała pozytywnie w dniu 24.03.2015r. Strona 2 z 2 Przyczyna zmiany nauczanie indywidualne 4,70 233,07
 doc
                    doc download
															download                                                         Reklamacja
															Reklamacja                                                         
		     
		     
		     
		     
		     
		     
		     
		     
		     
		     
		    