125 - O Uczelni

Transkrypt

125 - O Uczelni
125
5.2. SPRAWOZDANIE Z ROCZNEJ DZIAŁALNOŚCI
WYDZIAŁU MECHANICZNEGO
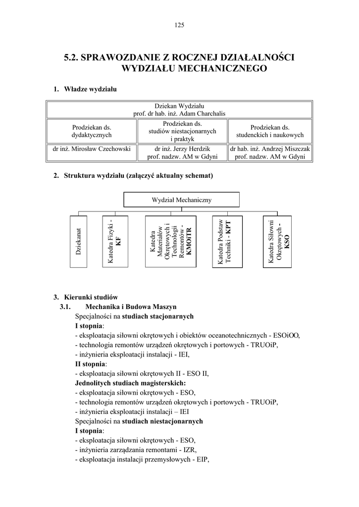
1. Władze wydziału
Prodziekan ds.
dydaktycznych
dr inż. Mirosław Czechowski
Dziekan Wydziału
prof. dr hab. inż. Adam Charchalis
Prodziekan ds.
studiów niestacjonarnych
i praktyk
dr inż. Jerzy Herdzik
prof. nadzw. AM w Gdyni
Prodziekan ds.
studenckich i naukowych
dr hab. inż. Andrzej Miszczak
prof. nadzw. AM w Gdyni
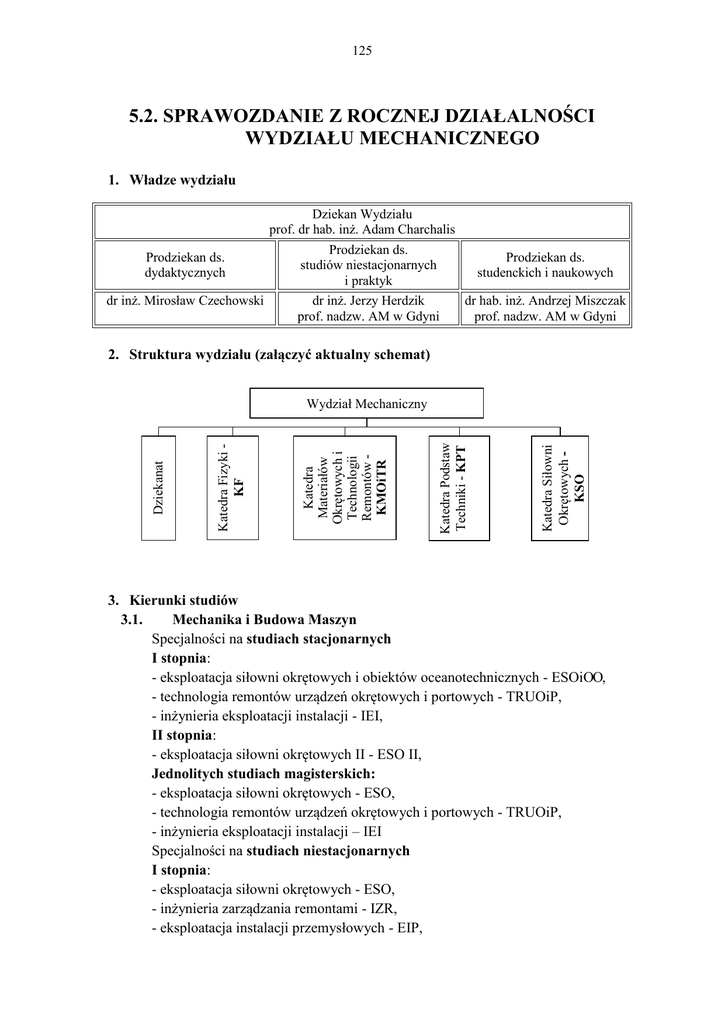
2. Struktura wydziału (załączyć aktualny schemat)
Katedra Siłowni
Okrętowych KSO
Katedra Podstaw
Techniki - KPT
Katedra
Materiałów
Okrętowych i
Technologii
Remontów KMOiTR
Katedra Fizyki KF
Dziekanat
Wydział Mechaniczny
3. Kierunki studiów
3.1.
Mechanika i Budowa Maszyn
Specjalności na studiach stacjonarnych
I stopnia:
- eksploatacja siłowni okrętowych i obiektów oceanotechnicznych - ESOiOO,
- technologia remontów urządzeń okrętowych i portowych - TRUOiP,
- inżynieria eksploatacji instalacji - IEI,
II stopnia:
- eksploatacja siłowni okrętowych II - ESO II,
Jednolitych studiach magisterskich:
- eksploatacja siłowni okrętowych - ESO,
- technologia remontów urządzeń okrętowych i portowych - TRUOiP,
- inżynieria eksploatacji instalacji – IEI
Specjalności na studiach niestacjonarnych
I stopnia:
- eksploatacja siłowni okrętowych - ESO,
- inżynieria zarządzania remontami - IZR,
- eksploatacja instalacji przemysłowych - EIP,
126
II stopnia:
- eksploatacja siłowni okrętowych - ESO,
- eksploatacja siłowni okrętowych II - ESO II,
- inżynieria zarządzania remontami - IZR,
- eksploatacja instalacji przemysłowych - EIP.
3.2.
Inżynieria Bezpieczeństwa
Specjalności na studiach stacjonarnych I stopnia:
- inżynieria bezpieczeństwa środowiska morskiego - IBŚM.
4. Sprawy kadrowe
4.1.
Minimum kadrowe dla kierunków studiów
Kierunek Mechanika i Budowa Maszyn:
- prof. dr inż. Jan Kazimierz Włodarski
- prof. dr hab. inż. Adam Charchalis
- prof. dr hab. inż. Romuald Cwilewicz
- dr hab. inż. Józef Bartosiewicz
- dr hab. inż. Stanisław Polanowski
- dr hab. inż. Marek Szwabowicz
- dr inż. Zygmunt Górski
- dr inż. Jerzy Herdzik
- dr inż. Jan Rosłanowski
- dr inż. Mirosław Czechowski
- dr inż. Tomasz Dyl
- dr inż. Mariusz Giernalczyk
- dr inż. Stefan Kluj
- dr inż. Małgorzata Kotlicka
- dr inż. Paweł Krasowski
- dr inż. Jacek Krzyżanowski
- dr inż. Andrzej Mielewczyk
- dr inż. Hoang Nguyen
Kierunek Inżynieria Bezpieczeństwa:
- dr hab. inż. Wiesław Tarełko
- dr hab. inż. Andrzej Miszczak
- dr hab. Tadeusz Król
- dr hab. Zbigniew Otremba
- dr inż. Andrzej Młynarczak
- dr inż. Robert Starosta
- dr Adam Stelmaszewski
- dr inż. Jerzy Kowalski
- dr inż. Leonard Hempel
- dr inż. Stefan Czyż
127
Struktura zatrudnienia pracowników w katedrach
Starsi wykładowcy
Wykładowcy
Asystenci
Inni pracownicy
dydaktyczni
Pracownicy inż.techniczni
Pracownicy
administracyjni
Razem
KPT
1
5
-
8
2
2
6
-
8
1
33
KSO
2
1
3
9
2
-
1
-
8
2
28
KMOiTR
1
1
1
4
-
2
4
-
8
0
21
KF
-
2
-
2
4
-
4
-
4
0,5
16,5
SUMA
4
9
4
23
8
4
15
0
28
3,5
98,5
Profesorowie
Adiunkci
4.2.
Katedra
Tyt. Hab. Dr.
W 2010 roku na Wydziale na poszczególnych etatach pracowało 17 profesorów, 23
adiunktów, 8 starszych wykładowców, 4 wykładowców, 15 asystentów, 28 pracowników inż.technicznych oraz 3,5 pracowników administracyjnych.
4.3.
Stan zatrudnienia osób z dyplomem morskim
Stan zatrudnienie osób z dyplomem morskim w poszczególnych katedrach przedstawiono
w tabeli.
Lp.
Nazwa stopnia morskiego
KPT
KSO
KMOiTR
KF
Razem
1.
Starszy oficer mechanik okrętowy
1
6
1
0
8
2.
Oficer mechanik okrętowy II klasy
1
1
1
0
3
3.
Oficer mechanik wachtowy
3
6
1
0
10
W 2010 roku na Wydziale pracowało 21 osób posiadających stopnie morskie, w tym 8
starszych oficerów mechaników okrętowych, 3 oficerów mechaników okrętowych II klasy
oraz 10 oficerów mechaników wachtowych.
4.4.
Rozwój kadry własnej
Doktoraty
Nazwa
katedry
KPT
KSO
KMOiTR
KF
Rozpoczęte w
minionym
roku
0
0
2
0
Będące w
toku
7
0
2
3
Habilitacje
Zakończone
w minionym
roku
0
1
0
0
Rozpoczęte w
minionym
roku
0
1
0
0
Będące w
toku
5
7
4
1
Zakończone
w minionym
roku
0
0
0
0
Profesury
Otrzymane w
minionym
roku
0
0
0
0
128
5. Kształcenie na kierunkach
5.1.
Stan ilościowy studentów na poszczególnych latach
Studia stacjonarne
Rok
studiów
Stan na
01.10.09
I
II
III
IV
V
131
65
49
44
88
Rok
studiów
Stan na
01.10.09
I
II
III
21
7
-
Rok
studiów
Kierunek: Mechanika i Budowa Maszyn
Zmiany liczebności studentów w roku
Ilość studentów powtarzających
akademickim 2009/2010
Stan na
30.09.10
Urlopy
skreśleni
Inne
obroniło
semestr
Przedmiot
dziekańskie
88
60
3
4
61
3
2
3
19
44
4
1
13
44
5
53
3
78
1
9
Studia stacjonarne
Kierunek: Inżynieria Bezpieczeostwa
Zmiany liczebności studentów w roku
Ilośd studentów
akademickim 2009/2010
powtarzających
Stan na
30.09.10
Urlopy
*
skreśleni
Inne
Obroniło
semestr
Przedmiot
dziekaoskie
11
14
0
8
0
0
7
0
0
-
Studia niestacjonarne
Kierunek: Mechanika i Budowa Maszyn
Zmiany liczebności studentów w roku
Ilość studentów powtarzających
akademickim 2009/2010
Stan na
Stan na
01.10.09
30.09.10
Urlopy
skreśleni
inne
obroniło
semestr
Przedmiot
dziekańskie
I
II
III
IV
I – II stop.
II – II stop.
5.2.
61
53
49
53
20
7
27
26
38
44
14
7
33
24
9
6
6
-
1
3
2
3
-
-
1
11
3
1
1
-
9
11
35
9
Absolwenci Wydziału
Studia stacjonarne
magisterskie inżynierskie
jednolite
licencjackie
ESO
31
TRUiOP
17
Mechanika
i Budowa
IEI
30
Maszyn
EIP
IZR
Rok akademicki 2009/2010 do 30.09.2010r
Kierunek
51
8
Specjalność
Studia niestacjonarne
magisterskie
inżynierskie
uzupełniające
licencjackie
3
20
2
16
3
15
129
5.3. Wskaźnik sprawności studiów
a) Studia stacjonarne magisterskie
kierunek MiBM
Ws = 78/240=32,5%
b) studia niestacjonarne
pierwszy stopień MiBM
drugi stopień MiBM
5.4.
Ws =51/112=45,5
Ws =8/21=38,1
Wskaźnik atrakcyjności kierunku
a) Studia stacjonarne pierwszego stopnia
kierunek MiBM
Wa= 175/200 = 87,5%
kierunek MiBM
Wa= 41/50 =82%
b) Studia niestacjonarne
pierwszy stopień MiBM
Wa= 68/120=56,7%
drugi stopień MiBM
Wa= 32/80= 40%
Rozliczenie godzin dydaktycznych za rok akademicki 2009/2010
1
KMOiTR
KSO
KPT
KF
Razem
Razem ze zleconymi
godzinami na
zewnątrz (10+6+9)
Pracownicy Katedry
(5+7+8)
Godziny zlecane na
zewnątrz
Pracownicy Katedry
(godziny zlecone)
Liczba zrealizowanych godzin
Studia niestacjonarne
Suma wykonanych
godzin
Pracownicy
uzupełniający pensum
Godziny zlecone na
zewnątrz
Studia
stacjonarne
po uwzgl. zniżek
pensum, urlopów i
staży
obowiązujące
Katedra
Liczba naucz. akadem.
Pensum
Pracownicy Katedry
5.5.
Ponad pensum
obowią
zujące
(10-3)
po
uwzgl.
zniżek
pensum,
urlopów
i staż
(10-4)
2
3
4
5
6
7
8
9
10
11
12
13
13
18
3300
3720
2880
3197
3140
2904
48
-
124
587
1444
281
20
-
4708
3772
4776
3772
1408
52
1828
575
22
5252
4414
4735
45
607
2088
-
7430
7475
2178
3016
12
3060
2664
2295
0
413
504
0
3212
3212
152
548
13074
93
1731
4317
20
19122
19235
3790
5967
65
5.6.
15332 13155
Wyniki hospitacji (podsumowanie wyników)
W roku akademickim 2009/10 zostały przeprowadzone następujące hospitacje:
 W KPT przeprowadzono 3 hospitacje z przedmiotów: Termodynamika techniczna,
Grafika inżynierska i Automatyka okrętowa. Zostały one przeprowadzone zgodnie z
planem hospitacji. Wyniki hospitacji wykazały realizację zajęć zgodnie z planem
zajęć. Nie stwierdzono uchybień i zastrzeżeń odnośnie dyscypliny zajęć, oceny
merytorycznej i wykorzystania środków dydaktycznych. Oceniono realizację zajęć na
poziomie właściwym lub bardzo dobrym. Hospitowanym nie przekazano uwag.
130
 W KMOiTR przeprowadzono 4 hospitacje. W wyniku przeprowadzonych hospitacji nie
stwierdzono żadnych nieprawidłowości w prowadzeniu zajęć.
 W KSO przeprowadzono 8 hospitacji (wykład – 4, ćwiczenia – 1, laboratorium – 3).
Ilość ocen pozytywnych 8
 W KF przeprowadzonych 5 hospitacji w roku akademickim 2009/2010. W wyniku
przeprowadzonych hospitacji nie stwierdzono uchybień i nieprawidłowości podczas
prowadzonych zajęć laboratoryjnych i ćwiczeń rachunkowych z fizyki.
5.7.
Wyniki ankiet studentów (podsumowanie)
W roku 2010 przeprowadzono ocenę realizacji zajęć dydaktycznych przez studentów.
Ankietowaniem objęto 48 pracowników dydaktycznych Wydziału Mechanicznego.
KSO
- 9 osób,
KPT
- 16 osób,
KMOiTR - 13 osób,
KF
- 10 osób.
Przeprowadzono 1026 ankiet. Średnia ocen dla wydziału to 3,9.
Analizę ankiet przeprowadzono na spotkaniu Rady Wydziału Mechanicznego.
6. Rozwój bazy dydaktycznej i naukowej
W 2010 roku na Wydziale Mechanicznym rozwój bazy dydaktycznej i naukowej został
realizowany poprzez:
- zakup mierników ciśnienia, wilgotności, temperatury i światła do laboratorium fizyki
morza do badań naukowych i dydaktyki (KF),
- zakup 1 notebooka i 3 zestawów komputerowych do badań naukowych i dydaktyki
(KF),
- zakup Mikroskopu sił Atomowych do badań naukowych (KPT),
- modernizacja laboratorium termodynamiki i mechaniki płynów: zakup pirometra,
wodomierza, pompy wodnej, zbiornika na wodę, łaźni wodnej, stacji pogodowej
(KPT).
- zakup 12 zestawów komputerowych do laboratorium bezpieczeństwa (KPT),
- zakup 8 komputerów i 2 monitorów do laboratorium komputerowego wspomagania
projektowania (KPT),
- zakup 2 komputerów, 2 drukarek, 2 monitorów, 2 wideoprojektorów do celów
dydaktycznych i naukowych (KPT),
- zakup tensometrycznego systemu pomiarowego, 2 przetworników siły, silnika
elektrycznego z falownikiem 5KW, 2 indukcyjnych czujników przemieszczeń do
stanowisk badawczych (KPT),
- zakup 5 noteboków, 2 zestawów komputerowych, projektora do badań naukowych i
dydaktyki, (KSO),
- zakup czujników i osprzętu do modernizacji stanowisk dydaktycznych i naukowych
typu: Presostat NC, Presostat WC, Presostat olejowy, Reduktor ciśnienia powietrza
3/8”, Stoper, Licznik godzin pracy, prostownik, zasilacz, Elektro zawory, Chłodnica z
wentylatorem, Czujnik zegarowy z podstawą magnetyczną, Manometr -10 szt.,
Termometry – 10szt., termostat, licznik energii elektrycznej. (KSO)
131
-
-
zaprojektowano i wykonano stanowisko lab. do obróbki wykańczającej poprzez
obróbkę nagniataniem bazujące na istniejących obrabiarkach uniwersalnych.
Całkowicie nowym aspektem stanowiska lab. jest wykonanie nagniataka krążkowego
z dociskiem sztywnym z wymieninymi elementami nagniatającymi o różnych
promieniach zaokrągleń części roboczych (KMOiTR),
stanowisko lab. do badań korozyjnych za pomocą spektroskopii impedancyjnej
(KMOiTR),
stanowisko badawczo-dydaktyczne do metalizacji natryskowej (KMOiTR),
modernizacja stanowiska badawczego do zmęczenia stykowego (KMOiTR),
zakup oprogramowania dydaktyczno-przemysłowego MTS CNC CAD/CAM do nauki
programowania i programowania obrabiarek sterowanych numerycznie w aktualnej
wersji V7(3) 2010. Nowy: C.NC- symulator toczenia i frezowania wraz z
obligatoryjnym modułem 3D i modułem TopCAM dla opiekuna pracowni. Zestaw 12
licencji sieciowych oraz jedna licencja indywidualna dla opiekuna pracowni
(KMOiTR).
6.1.
Lp.
1
1
2
1
2
3
4
Działalność naukowo-badawcza
Katedra KPT
Nazwa zadania badawczego
Projekty badawcze finansowane przez MNiSZW
Smarowanie mikrołożysk ślizgowych o niekonwencjonalnych powierzchniach.
Działalność statutowa - DS
Wyznaczanie parametrów tribologicznych dla warstw granicznych nienewtonowskich cieczy na
powierzchniach łożysk i mikrołożysk ślizgowych.
Zagadnienia bezpieczeństwa siłowni okrętowej.
Grant Uczelniany - BW
Parametry eksploatacyjne niekonwencjonalnych poprzecznych łożysk ślizgowych w
niestacjonarnych warunkach pracy okrętowych układów napędowych.
Wielowymiarowy model procesu spalania silnika okrętowego dla diagnozowania emisji
związków toksycznych.
Szeregowanie zadań eksploatacyjnych w siłowni okrętowej z wykorzystaniem metody
sztucznej inteligencji algorytmów ewolucyjnych.
Analiza wpływu czynności wykonanych przez operatora na jego bezpieczeństwo w obszarze
zagrożenia.
1
Katedra Siłowni Okrętowych
Projekty badawcze finansowane przez MNiSZW
Działalność statutowa - DS
Diagnostyka systemów okrętowych i eksploatacja okrętowych układów energetycznych.
1
2
3
Grant Uczelniany - BW
Klasyfikacja symulatorów siłowni okrętowej.
Wpływ obciążenia na położenie GMP i miejsce pochodne drugiego rzędu.
Badania warunków pracy pary tribologicznej pierścień tłokowy-tuleja cylindrowa smarowanej
1
132
olejem z dodatkiem preparatu eksploatacyjnego o działaniu chemicznym.
Metodyka doboru parametrów energetycznych siłowni we wstępnym etapie projektowania
statków kontenerowych.
Katedra MOiTR
Projekty badawcze finansowane przez MNiSZW
Dobór technologii natryskiwania cieplnego oraz nagniatania w aspekcie poprawy właściwości
eksploatacyjnych wałów pomp krętnych.
Działalność statutowa - DS
Analiza wpływu technologii na własności elementów maszyn i kadłubów okrętowych.
Grant Uczelniany - BW
Ocena przydatności obróbki nagniataniem do poprawy właściwości eksploatacyjnych wałów
pomp okrętowych.
Analiza możliwości zastosowania budownictwie okrętowym stopu AlZn5Mg1 (7020)
spajanego metoda zgrzewania tarciowego FSW.
Wpływ parametrów technologii otrzymywania oraz obróbki wykańczającej niklowych powłok
wielofazowych na zwiększenie trwałości części maszyn i urządzeń okrętowych.
Badania wpływu parametrów obróbki na temperaturę elementów układu wykonawczego
docierarki jednotarczowej.
Badanie podatności na niszczenie złączy stopów Al-Mg i Al-Zn-Mg spajanych wybranymi
metodami.
Analiza wpływu procesów obróbki plastycznej na wybrane właściwości wyrobów stosowanych
w okrętownictwie.
Katedra Fizyki
Projekty badawcze finansowane przez MNiSZW
4
1
1
1
2
3
4
5
6
1
Działalność statutowa - DS
Bezpieczeństwo środowiska morskiego w odniesieniu do okrętowych materiałów
eksploatacyjnych.
1
Grant Uczelniany – BW
Zastosowanie fluorescencji do określania wpływu środowiska morskiego na wybrane
węglowodory aromatyczne.
Badanie fluorescencji struktur barwników na powierzchni roztworów wodnych.
Analiza przejść elektronowych w atomach helu wzbudzanych zderzeniowo.
Transfer radiacji słonecznej w morzu zanieczyszczonym substancjami olejowymi.
Zastosowanie fluorescencji do określania wpływu środowiska morskiego na wybrane
węglowodory aromatyczne.
1.
2.
3.
4
5
6.2.
Publikacje
Lp.
Rodzaj publikacji
1.
2.
3.
4.
5.
6.
7.
8.
9.
10.
Książki, skrypty
Monografie i rozprawy
Czasopisma zagraniczne
Czasopisma krajowe
Materiały konferencji międzynarodowych
Materiały konferencji krajowych
Komunikaty
Patenty / wdrożenia
Inne
Liczba punktów według kryteriów oceny
parametrycznej MNiSzW
Liczba w poszczególnych katedrach
KMOiT KF
KPT
KSO
R
0
3
0
0
0
0
0
0
1
1
5
1
29
23
31
7
3
0
0
2
3
0
1
1
0
0
0
0
0
1
1
0
0
0
191
237,5
299,5
30,9
……..
Razem
1
0
8
90
5
5
0
1
1
758,9
133
6.3.
Udział w sympozjach i konferencjach krajowych i zagranicznych
Lp.
Katedra
1.
2.
3.
4.
KPT
KSO
KMOiTR
KF
Konferencje i sympozja krajowe
*
16
12
12
4
Konferencje i sympozja zagraniczne*
5
0
6
4
*podać tylko liczbę (osobo-konferencja)
6.4.
Organizacja sympozjów i konferencji naukowych (krótko opisać)
36th International Scientific Congress on Powertrain and Transport Means European
KONES’2010, Jurata 12-15.09.2010. Konferencja zorganizowana przez Wydział
Mechaniczny Akademii Morskiej w Gdyni. W konferencji uczestniczyło ponad 200
autorów z ponad 250 artykułami z kraju i zagranicy (między innymi: Meksyku, Japoni,
USA, Niemiec, Włoch, Indonezji, Słowacji, Czech, Rumuni).
VII ogólnopolska konferencja Problemy naukowo-techniczne w wyczynowym sporcie
żeglarskim – Konferencja naukowo-techniczna - pokład STS Pogoria – kwiecień 2010.
Konferencja była zorganizowana przez Wydział Mechaniczny Akademii Morskiej w
Gdyni, Wydział Mechaniczny Energetyki i Lotnictwa oraz Wydział Samochodów i
Maszyn Roboczych Politechniki Warszawskiej. Celem konferencji było umożliwienie
prezentacji osiągnięć z zakresu teorii i praktyki z dziedzin związanych z konstrukcją,
technologią i eksploatacją współczesnych jachtów żaglowych oraz wszelkich aspektów
związanych z funkcjonowaniem systemu człowiek - obiekt techniczny -środowisko. W
konferencji uczestniczyło ok. 50 osób, w tym, zgodnie z regułą tej konferencji, ok. 50%
składu stanowili studenci, m.in. 2 studentów z WM AM Gdynia.
7. Koła naukowe
W 2010 roku na Wydziale mechanicznym działały aktywnie 4 studenckie koło naukowe:
NAUTICA, ADVENTURE TEAM, CANOE, CONSTRUCTORS.
Koło naukowe NAUTICA rozpoczęło swą działalność w kwietniu 2005 roku. Powołali je
studenci Wydziału Mechanicznego zainspirowani przez mgr inż. Włodzimierza
Końcewicza obecnego naukowego opiekuna koła.
Do ważniejszych osiągnięć naukowego Koła NAUTICA w roku sprawozdawczym można
zaliczyć:
 czynny udział w VII Ogólnopolskiej Konferencji „Problemy naukowo-techniczne w
wyczynowym sporcie żeglarskim” na pokładzie żaglowca „Pogoria” – na
konferencjach zaprezentowano referaty,
 czynny udział w 36th International Scientific Congress on Powertrain and Transport
Means KONES,
 organizowanie kursów spawalniczych , motorowodnych, wioślarskich.
134
 organizowanie akcji charytatywnych.
Naukowe Koło Podróżnicze „ADVENTURE TEAM” działa na Wydziale Mechanicznym
Akademii Morskiej w Gdyni od lutego 2010 roku.
Istotnymi celami koła są: podnoszenie poziomu wiedzy teoretycznej oraz umiejętności
praktycznych jego członków, umożliwianie wymiany doświadczeń i prezentowanie wyników
własnych prac badawczych, organizowanie i utrzymywanie współpracy z innymi kołami oraz
instytucjami, organizacja szkoleń, warsztatów, konferencji, seminariów, a przy tym
inspirowanie studentów AM w Gdyni do uczestnictwa w studenckim ruchu naukowym.
Od początku działalności koła studentom udało się wziąć udział w wymienionych poniżej
przedsięwzięciach:
− udział w Gdyńskich Warsztatach Podróżniczych „Szerokie Horyzonty”,
− udział oraz skoki na bungee „Delfinalia Akademii Morskiej”,
− udział oraz przedstawianie wahadła Foucaulta „Piknik Naukowy”,
− współpraca w pokazie technik ratowniczych w rejonie falochronu „Piknik Naukowy”,
− udział na imprezie organizowanej przez GOSIR Gdynia „Gdyńska Mila Nurkowa”,
− szkolenie podczas wyjazdu na obóz nurkowy nad jezioro Raduńskie,
− współorganizowanie z kołem naukowym „SEAQUEST” I studenckiej wyprawy
nurkowej na Spitsbergen pod nazwą „Beyond Arctic Circle 2010” z okazji 90lecia
istnienia szkolnictwa morskiego w Polsce,
− pobieranie próbek wody dla Katedry Fizyki, Wydziału Mechanicznego Akademii
Morskiej podczas wyjazdu na Spitsbergen,
− pomoc w badaniach prowadzonych na terenie Spitsbergenu przez pracowników
Katedry Chemii Analitycznej, Wydziału Chemii Politechniki Gdańskiej oraz Instytutu
Geofizyki PAN,
− udział w Gdańskim Festiwalu Przygody „AVENTUREROS”.
Ważnym elementem działalności statutowej koła „ADVENTURE TEAM” jest promocja
uczelni. W tym względzie koło naukowe odbyło wyjazd do Technikum Łączności w Gdańsku
dokonało również:
− relacja z wyprawy na Spitsbergen w „Radiu Gdańsk”,
− relacja z wyprawy na Spitsbergen w magazynie „Wielki Błękit,
− relacja z wyprawy na Spitsbergen w gazecie „Dziennik Bałtycki”,
− relacja z wyprawy na Spitsbergen na stronie sklepu Ticada.
Naukowe Koła Kajakowe „CANOE” powstało w lutym 2010 roku z inicjatywy studentów
Wydziału Mechanicznego AM w Gdyni jako wyraz ich własnych zainteresowań szeroko
pojmowaną tematyką kajakową. Aktualnie w skład Koła wchodzi 11 członków – studentów
różnych wydziałów AM.
Za swoje cele działalności Koło CANOE przyjęło:


podnoszenie poziomu wiedzy teoretycznej oraz umiejętności praktycznych członków,
umożliwianie wymiany doświadczeń i prezentowanie wyników własnych prac
badawczych,
135



organizowanie i utrzymywanie współpracy koła z innymi kołami oraz instytucjami,
organizacja szkoleń, warsztatów, konferencji, seminariów oraz promocja uczelni,
inspirowanie studentów AM w Gdyni do uczestnictwa w studenckim ruchu
naukowym.
Pomimo krótkiego czasu działalności koło naukowe CANOE może się pochwalić istotnymi
dokonaniami:
 szkolenie z zakresu budowy i montażu kajaków typu eskimoskiego w firmie
„Hobbo.net” – dostawcy kajaków w formie zestawów do samodzielnego montażu –
szkolenie trwało 4 dni, łącznie 22 godziny. Brało w nim udział od 4 do 6 członków
Koła,
 szkolenie na basenie z zakresu technik kajakarstwa morskiego: 2 dni, łącznie 5 godzin
dla czterech członków Koła,
 zakup kajaków do samodzielnego montażu i prace przy zagospodarowaniu
pomieszczenia Koła i montażu kajaków – 14 dni, łącznie 232 roboczogodzin członków
Koła,
 szkolenie na wodach mariny jachtowej w Gdyni i w jej pobliżu,
 pokaz technik ratowniczych w rejonie falochronu (podczas XI pikniku na Skwerze
Kościuszki) wraz z fundacją Ratowniczą Rypniewskiego i firmą „Hobbo.net”,
 prezentacja sprzętu podczas XI pikniku na Skwerze Kościuszki,
 prezentacja budowy i działania Silnika Sterlinga podczas XI pikniku na Skwerze
Kościuszki,
tygodniowy spływ kajakowy studentów „Bukowina – Łupawa ‘2010”.
8. Studia podyplomowe
Na Wydziale Mechanicznym nie są prowadzone studia podyplomowe.
9. Sprawy socjalno – bytowe
Stypendia socjalne przyznaje Komisja Stypendialna powołana przez Wydziałowy
Samorząd Studencki. Stypendia były zatwierdzane przez Prodziekana ds. studenckich.
W roku 2010 z pomocy socjalno-bytowej studenci studiów stacjonarnych
i niestacjonarnych korzystali zgodnie z poniższym zestawieniem.
9.1.
Stypendia socjalne i naukowe
Stypendia
Za wyniki w nauce
Socjalne
Mieszkaniowe i wyżywieniowe
Sportowe
Dla osób niepełnosprawnych
Zapomogi i wyrównania
Razem:
Liczba przyznanych
Kwota wypłacona w zł
328
565
227
46
18
21
1222
197 580,00
496 490,00
121 140,8
23 000,00
7 600,00
14 900,00
875 910,8
136
Ogółem Wydziałowa Komisja Stypendialna Wydziału Mechanicznego Akademii
Morskiej w Gdyni przyznała w 2010 roku 1222 stypendiów na łączną sumę
875 910,8złotych.
W 2010 roku fundusz stypendialny składał się z kwoty pieniężnej przyznanej przez
Akademię na Wydział. Pomoc materialną komisja przyznawała na podstawie zaświadczeń
o wysokości dochodów w rodzinie studenta, składanych do Urzędu Skarbowego.
9.2.
Sprawy mieszkaniowe studentów
Potrzeby dotyczące zakwaterowania studentów w akademiku (SDM nr 3) zostały
zaspokojone. W okresie sprawozdawczym z mieszkań w SDM nr 3 od 1 stycznia do
końca czerwca korzystało 110 studentów studiów stacjonarnych i 0 studentów studiów
niestacjonarnych.
10. Współpraca z zagranicą
W roku sprawozdawczym Wydział współpracował z Hochschule Bremerhaven. W
ramach współpracy w zakresie realizacji zadań dydaktycznych w specjalnościach
Inżynieria Eksploatacji Instalacji oraz Eksploatacja Instalacji Przemysłowych dokonano
wymiany wykładowców i grup studenckich. Dr inż. S. Kluj i dr inż. J. Krefft wraz z 14osobową grupą studentów III roku specjalności EIP (studia niestacjonarne) i II roku IEI
(studia stacjonarne) przebywali w Hochschule Bremerhaven (HB). Delegowani
uczestniczyli w spotkaniu z przedstawicielami władz HB i Wydziału Nauk
Stosowanych, zwiedzali laboratoria HB. Delegowani odwiedzili również ośrodki
przemysłowe, tj. terminal kontenerowo-samochodowy, spalarnie śmieci BEG, układy
zasilania szpitala w Bremerhaven, zakład produkcyjny Daimler Chrysler i linie
produkcyjne w browarze Beck's w Bremen.
W ramach współpracy z Hochschule Bremerhaven w celu nawiązania współpracy
naukowo-badawczej w zakresie identyfikacji zanieczyszczeń olejowych w środowisku
morskim:
– Prof. Dr. Oliver Zieliński i Dipl. Ing. Peter Rhode przyjechał do Akademii Morskiej
w Gdyni,
– mgr Emilia Baszanowska i mgr Kamila Rudź wyjechali do Hochschule Bremerhaven
Institute for Marine Resources.
Przedstawiciel Hochschule Bremerhaven, prof. Josef Stockemer, prof. Dieter Lompe,
Prof. Peter Rhode, Prof. Oliver Zieliński w ramach współpracy odwiedzili AM Gdynia.
Spotkania dotyczyły dalszej współpracy, udział w uroczystej inauguracji roku
akademickiego 2010/2011, a także w grudniowym Święcie Szkoły.
W konferencjach zagranicznych w 2010 roku uczestniczyli:
1. Dr inż. H. Nguyen – ESRAEL 2010 Annual conference – Rodos,
2. Mgr K. Rudź – Konferencja Mobile Machines – Kowno,
3. Mgr W. Freda – Konferencja Ocean Optics XX – Anchorage,
137
4. Dr hab. inż. W. Tarełko – Int. Symposium on Safety Science and Technology –
Hangzhou.
Wydział Mechaniczny bierze udział w międzynarodowym programie wymiany studentów
ERASMUS.
W 2010 roku w ramach programu Erasmus prof. M. Szwabowicz przebywał w Vigo –
Hiszpania, natomiast prof. W. Tarełko przebywali w La Laguna – Hiszpania.
W roku akademickim 2009/2010 (od wrzesień 2009 do stycznia 2010) 3 studentów
Wydziału Mechanicznego przebywało w Hiszpanii, natomiast w okresie od październik
2009 do lipca 2010 3 studentów przebywało w Niemczech (Hochschule Bremerhaven).
W roku akademickim 2010/2011 (od wrzesień 2010 do lutego 2011) 3 studentów WM
przebywało w Hiszpanii.
Z zagranicy przybyło na Wydział Mechaniczny w roku akademickim 2009/2010 15
studentów z Hiszpanii, natomiast w roku akademickim 2010/2011 10 studentów również
z Hiszpanii (La Launa, Bilbao, Da Coruna, Cadiz).
W celu przeprowadzenia wykładów oraz rozwijania współpracy Prof. M. Szwabowicz
przebywa w Poitiers – Francja w okresie od 3.09 do 4.10 na zaproszenie tamtejszej
uczelni. Efektem współpracy naukowej z prof. Claudem Vallée był napisany wspólny
artykuł.
Na początku listopada, w ramach realizacji grantu MNiSW, na Wydziale Mechanicznym
goszczono dr inż. Andrei KHUDOLEY i Uladzislau Chykunou z A.V. Luikov Heat and
Mass Transfer Institute Białoruskiej Akademii Nauk.
W dniach 26-28.05 prof. dr hab. inż. A. Charchalis i dr inż. R. Pawletko przebywali w
Maritime College Cuxhaven w celu nawiązania współpracy i zapoznania się z tamtejszym
laboratorium dydaktycznym.
11. Finanse wydziału
11.1. Inwestycje i remonty na wydziale
W planie finansowo-rzeczowym na rok 2010 przeznaczono na remonty 450 000zł.,
natomiast wydano kwotę 377 402zł. Mniejsze wydatki były wynikiem min. nie
dostarczenia w terminie przez biuro projektowe dokumentacji remontowo- budowlanej dot.
budynków laboratoryjnych H i I. Dodatkowo uzyskano z funduszy uczelnianych 38 669 zł
jako dofinansowanie kosztów wymiany okien w budynkach laboratoryjnych.
Zakres prac remontowych obejmował:
- remont kapitalny Lab. Okrętowych Mechanizmów i Urządzeń Pomocniczych,
- adaptacja pomieszczenia A107 na laboratorium komputerowe,
- wymiana instalacji elektrycznej w budynku I poziom 0,
- remont 8 pomieszczeń pracowniczych,
- malowanie korytarza w budynku H,
- wymiana okien z pojedynczą szybą w budynkach H i I (32 okna)
138
Podsumowując działalność remontową można stwierdzić że w 2010 roku udało się
zrealizować wszystkie podstawowe zaplanowane cele poza uzyskaniem dokumentacji
remontowo-budowlanej.
11.2.
Wyniki finansowe
Wydział zakończył rok finansowy 2010 deficytem w wysokości 39 142 zł, przy
przewidywanym w planie finansowo-rzeczowym deficytem 58 090 zł. Ponieważ w roku
finansowym 2009 wypracowano nadwyżkę, deficyt będzie można spłacić z dochodów
roku 2009.
12. Inne ważniejsze osiągnięcia wydziału
12.1.
Działalność sportowa, rekreacyjna i kulturalna
Działalność sportowa i rekreacyjna powiązana jest z programem nauczania realizowanym
przez Studium Wychowania Fizycznego i Sportu. Prowadzi ono różnego rodzaju zajęcia
fakultatywne, sekcje sportowe i imprezy, np. spartakiady, imprezy z okazji Dni Morza,
Święta Akademii, itp., w których uczestniczą studenci Wydziału.
W maju 2010r. student V roku Wydziału Mechanicznego – Dawid Janczewski
startując na Mistrzostwach Polski Szkół Wyższych w trójboju siłowym w Łodzi zdobył
srebrny medal w kat. 120 kg – osiągając wynik 675 kg. Ten sam zawodnik wraz z
drużyną zdobył złoty medal w typie „Akademie” na ww. mistrzostwach. Dawid
Janczewski jest podstawowym zawodnikiem sekcji trójboju siłowego. W sekcji trójboju
siłowego aktywnie ćwiczą również studenci:
- Mateusz Rogoś – II r.
- Szymon Nowak – III r.
Wszyscy ww. startowali w zawodach dla uczczenia 90 lat szkolnictwa morskiego w
Polsce pod hasłem „ Dźwigniemy 90 ton na 90-lecie Szkolnictwa Morskiego w Polsce”.
Wśród kobiet na Wydziale Mechanicznym wyróżnić należy studentkę I roku Katarzynę
Wontor, która jest czołową zawodniczką sekcji piłki siatkowej kobiet.
Mirosław Majcher – V r. jest od wielu lat wyróżniającym się studentem Wydziału
Mechanicznego w żeglarstwie.
12.2.
Inne
Pod koniec roku 2010 Wydział Mechaniczny otrzymał decyzje o finansowaniu grantu
aparaturowego z FNiTP w wysokości 2 485 000 zł. Aparatura naukowo badawcza
zostanie zakupiona w 2011 roku.
W 2010 roku Katedra Fizyki przeprowadziła w ramach programu „Rozwijaj Żagle
Akademio!”:
– cykl wykładów z fizyki dla młodzieży szkól średnich,
139
– dodatkowe zajęcia z fizyki (wykłady, ćwiczenia i laboratoria) dla studentów I roku
Wydziału Mechanicznego, Wydziału Elektrycznego i Wydziału Nawigacyjnego.
W 2010 roku zakupiono aparaturę i sprzęt:
- z funduszy Wydziałowych o wartości 260 409 złotych (między innymi: obrabiarkę,
komputery, urządzenia wentylacyjno- wyciągowe do spawalni, oprogramowanie),
- z funduszu działalności statutowych, badań własnych i grantów o wartości 252 664,42
zł,
- materiały eksploatacyjne o wartości 167 389 zł.
13. Realizacja celów zaplanowanych w roku poprzednim
W roku 2010 zostały zrealizowane następujące cele planowane:
- wymieniono część okien w budynku I i H,
- wymieniono instalację elektryczną w budynku I poziom 0,
- dokonano remontu kapitalnego
lab. Okrętowych Mechanizmów i Urządzeń
Pomocniczych,
- wykonano remont 3 sanitariatów i pomieszczenia sprężarek,
- dokonano adaptacji pomieszczenia A107 na laboratorium,
- wymalowano korytarz w budynku H,
- dokonano zakupu aparatury naukowej i dydaktycznej na kwotę większą niż planowano,
- na Wydziale Mechanicznym odbyły się dwie obrony prac doktorskich z planowanych
trzech,
- w 2010 roku nie uzyskano stopnia dr habilitowanego oraz tytułu profesora,
- składane były wnioski do MNiSzW z czego wniosek aparaturowy został przyznany na
kwotę 2485000zł.
14. Planowane cele / zadania na rok następny
Władze Wydziału Mechanicznego planują zintensyfikować rozwój młodej kadry naukowej
oraz podjąć działania w celu zwiększenia liczby młodych doktorów habilitowanych lub
profesorów na Wydziale Mechanicznym. Planowane jest również zwiększenie liczby
składanych wniosków zarówno do MNiSW jak i EU. W 2011 roku planowane są
minimum: jedna obrona pracy habilitacyjnej i 3 prace doktorskie.
Władze Wydziału Mechanicznego, w miarę możliwości finansowych planują rozwój i
unowocześnianie bazy dydaktycznej.
Ze środków własnych Wydziału (w przypadku utrzymania dotacji na poziomie ub. roku)
planuje się przeprowadzenie remontów na kwotę ok. 300 000 zł a mianowicie:
- kontynuowanie wymiany okien w budynkach H, I i spawalni,
- remont sali A219,
- remont 5 pomieszczeń pracowniczych,
- adaptacja uzyskanych pomieszczeń w budynku I na pracownie badawcze,
140
kapitalny remont pomieszczeń na parterze bud. H polegający na likwidacji ścianek
działowych palnych, wymiana instalacji elektrycznej, wymiana drzwi wejściowych do
laboratoriów, remont posadzek itp.,
- adaptacja 3 pomieszczeń na jedną salę laboratoryjną.
W 2011 roku planowane są zakupy aparatury i sprzętu naukowo dydaktycznego na kwotę
2 485 000 zł ze środków FNiTP oraz ok. 30 000 do 60 000 złotych z funduszy Wydziału.
-
Dziekan Wydziału Mechanicznego
Prof. dr hab. inż. Adam Charchalis