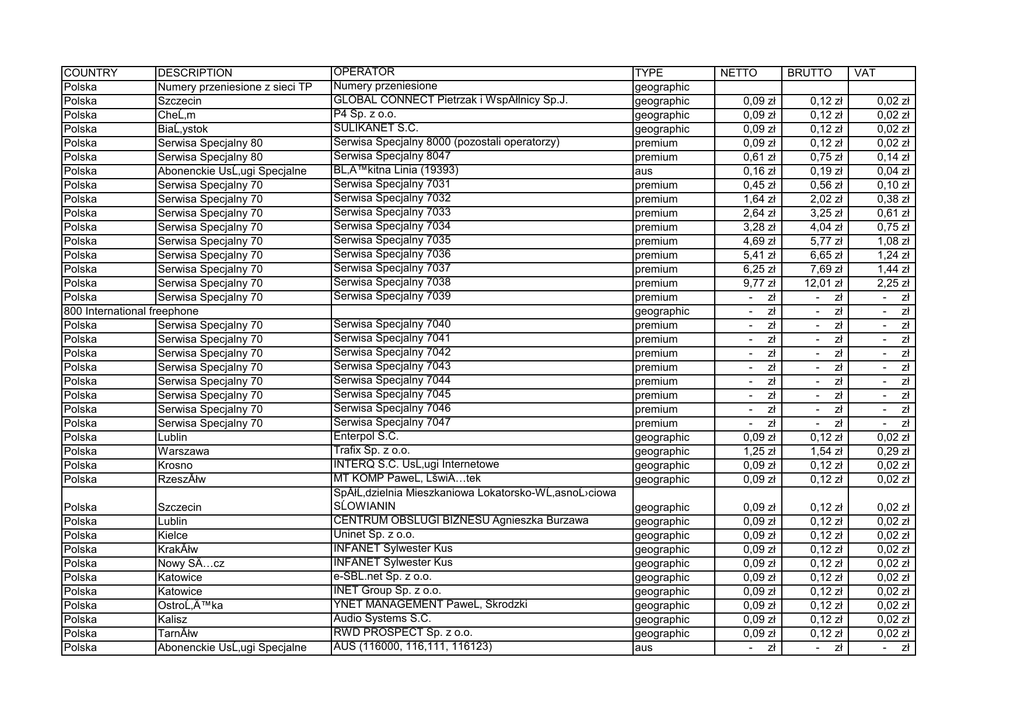
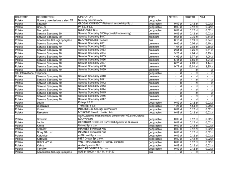
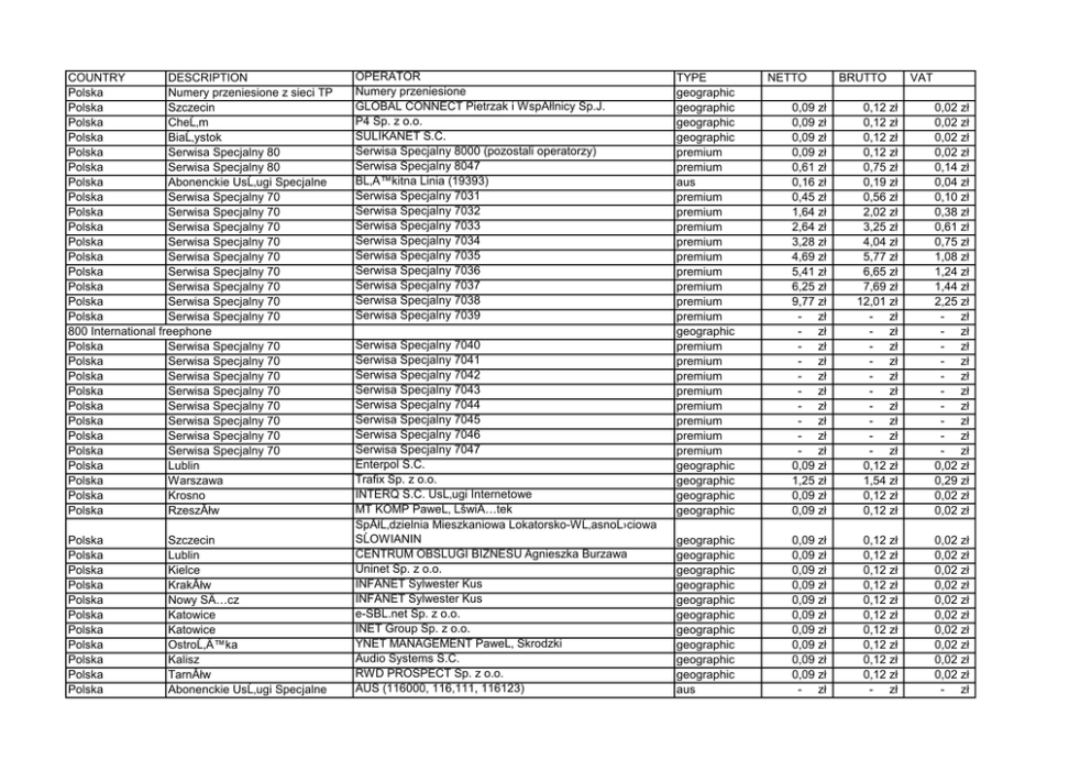
szcegółowy cennik polska - PWX Sp. z oo Operator
Transkrypt
szcegółowy cennik polska - PWX Sp. z oo Operator
COUNTRY DESCRIPTION Polska Numery przeniesione z sieci TP Polska Szczecin Polska CheĹ‚m Polska BiaĹ‚ystok Polska Serwisa Specjalny 80 Polska Serwisa Specjalny 80 Polska Abonenckie UsĹ‚ugi Specjalne Polska Serwisa Specjalny 70 Polska Serwisa Specjalny 70 Polska Serwisa Specjalny 70 Polska Serwisa Specjalny 70 Polska Serwisa Specjalny 70 Polska Serwisa Specjalny 70 Polska Serwisa Specjalny 70 Polska Serwisa Specjalny 70 Polska Serwisa Specjalny 70 800 International freephone Polska Serwisa Specjalny 70 Polska Serwisa Specjalny 70 Polska Serwisa Specjalny 70 Polska Serwisa Specjalny 70 Polska Serwisa Specjalny 70 Polska Serwisa Specjalny 70 Polska Serwisa Specjalny 70 Polska Serwisa Specjalny 70 Polska Lublin Polska Warszawa Polska Krosno Polska RzeszĂłw Polska Polska Polska Polska Polska Polska Polska Polska Polska Polska Polska Szczecin Lublin Kielce KrakĂłw Nowy SÄ…cz Katowice Katowice Ostrołęka Kalisz TarnĂłw Abonenckie UsĹ‚ugi Specjalne OPERATOR Numery przeniesione GLOBAL CONNECT Pietrzak i WspĂłlnicy Sp.J. P4 Sp. z o.o. SULIKANET S.C. Serwisa Specjalny 8000 (pozostali operatorzy) Serwisa Specjalny 8047 Błękitna Linia (19393) Serwisa Specjalny 7031 Serwisa Specjalny 7032 Serwisa Specjalny 7033 Serwisa Specjalny 7034 Serwisa Specjalny 7035 Serwisa Specjalny 7036 Serwisa Specjalny 7037 Serwisa Specjalny 7038 Serwisa Specjalny 7039 Serwisa Specjalny 7040 Serwisa Specjalny 7041 Serwisa Specjalny 7042 Serwisa Specjalny 7043 Serwisa Specjalny 7044 Serwisa Specjalny 7045 Serwisa Specjalny 7046 Serwisa Specjalny 7047 Enterpol S.C. Trafix Sp. z o.o. INTERQ S.C. UsĹ‚ugi Internetowe MT KOMP PaweĹ‚ ĹšwiÄ…tek Spółdzielnia Mieszkaniowa Lokatorsko-WĹ‚asnoĹ›ciowa SĹOWIANIN CENTRUM OBSĹUGI BIZNESU Agnieszka Burzawa Uninet Sp. z o.o. INFANET Sylwester Kus INFANET Sylwester Kus e-SBL.net Sp. z o.o. INET Group Sp. z o.o. YNET MANAGEMENT PaweĹ‚ Skrodzki Audio Systems S.C. RWD PROSPECT Sp. z o.o. AUS (116000, 116,111, 116123) TYPE geographic geographic geographic geographic premium premium aus premium premium premium premium premium premium premium premium premium geographic premium premium premium premium premium premium premium premium geographic geographic geographic geographic geographic geographic geographic geographic geographic geographic geographic geographic geographic geographic aus NETTO BRUTTO VAT 0,09 zł 0,09 zł 0,09 zł 0,09 zł 0,61 zł 0,16 zł 0,45 zł 1,64 zł 2,64 zł 3,28 zł 4,69 zł 5,41 zł 6,25 zł 9,77 zł - zł - zł - zł - zł - zł - zł - zł - zł - zł - zł 0,09 zł 1,25 zł 0,09 zł 0,09 zł 0,12 zł 0,12 zł 0,12 zł 0,12 zł 0,75 zł 0,19 zł 0,56 zł 2,02 zł 3,25 zł 4,04 zł 5,77 zł 6,65 zł 7,69 zł 12,01 zł - zł - zł - zł - zł - zł - zł - zł - zł - zł - zł 0,12 zł 1,54 zł 0,12 zł 0,12 zł 0,02 zł 0,02 zł 0,02 zł 0,02 zł 0,14 zł 0,04 zł 0,10 zł 0,38 zł 0,61 zł 0,75 zł 1,08 zł 1,24 zł 1,44 zł 2,25 zł - zł - zł - zł - zł - zł - zł - zł - zł - zł - zł 0,02 zł 0,29 zł 0,02 zł 0,02 zł 0,09 zł 0,09 zł 0,09 zł 0,09 zł 0,09 zł 0,09 zł 0,09 zł 0,09 zł 0,09 zł 0,09 zł - zł 0,12 zł 0,12 zł 0,12 zł 0,12 zł 0,12 zł 0,12 zł 0,12 zł 0,12 zł 0,12 zł 0,12 zł - zł 0,02 zł 0,02 zł 0,02 zł 0,02 zł 0,02 zł 0,02 zł 0,02 zł 0,02 zł 0,02 zł 0,02 zł - zł Polska Polska Polska Polska Polska Polska Polska Polska Polska Polska Polska Polska Polska Polska Polska Polska Polska Polska Polska Polska Polska Polska Polska Polska Polska Polska Polska Polska Polska Polska Polska Polska Polska Polska Polska Polska Polska Polska Polska Polska Polska Polska Kielce Lublin Katowice GdaĹ„sk Opole Katowice KrakĂłw PrzemyĹ›l KrakĂłw GdaĹ„sk Warszawa Olsztyn Tarnobrzeg Opole Katowice RzeszĂłw Warszawa Bydgoszcz GdaĹ„sk Siedlce CheĹ‚m CzÄ™stochowa Kalisz Konin KrakĂłw Leszno Lublin ĹĂłdĹş Nowy SÄ…cz PoznaĹ„ Radom TarnĂłw ToruĹ„ Zamość Ostrołęka SuwaĹ‚ki Warszawa SuwaĹ‚ki Warszawa Bydgoszcz GdaĹ„sk Katowice KLINIKA KOMPUTERA A. Wolski VIRTUAL TELECOM A. Sergiel, D. Ĺadniak Sp. J. 3S Sp. z o.o. Aiton Caldwell S.A. INTERNET SERWIS Wojciech Bandurowski TYCHY ONLINE MikoĹ‚aj JopczyĹ„ski Fibertech Networks Sp. z o.o. F.H.U. EZ-BIT Tomasz Zakonek ZAX.EU Sp. z o.o. TELKAB Sp. z o.o. VOXBONE SA Telewizja Kablowa BART-SAT Stowarzyszenie KASKO S.C. FHU RACZEK.NET BoĹĽena Rak Firma Informatyczna MIRASOFT Andrzej Szyszka Firma Handlowa Janusz Gomółka Aiton Caldwell S.A. TEL-IT.PL Karol SkibiĹ„ski PCBOOT UsĹ‚ugi Informatyczno-Internetowe RafaĹ‚ Wilk MEDIA TELEKOM Tomasz Korzeniowski Vectra S.A. Vectra S.A. Vectra S.A. Vectra S.A. Vectra S.A. Vectra S.A. Vectra S.A. Vectra S.A. Vectra S.A. Vectra S.A. Vectra S.A. Vectra S.A. Vectra S.A. Vectra S.A. TimPlus S.C. SEJNET RafaĹ‚ SĹ‚awiĹ„ski SAFTEX Grzegorz Gazda Milichsoft RafaĹ‚ Miliszewski Voice Works Sp. z o.o. Voice Works Sp. z o.o. Voice Works Sp. z o.o. Voice Works Sp. z o.o. geographic geographic geographic geographic geographic geographic geographic geographic geographic geographic geographic geographic geographic geographic geographic geographic geographic geographic geographic geographic geographic geographic geographic geographic geographic geographic geographic geographic geographic geographic geographic geographic geographic geographic geographic geographic geographic geographic geographic geographic geographic geographic 0,09 zł 0,09 zł 0,09 zł 0,09 zł 0,09 zł 0,09 zł 0,09 zł 0,09 zł 0,09 zł 0,09 zł 0,09 zł 0,09 zł 0,09 zł 0,09 zł 0,09 zł 0,09 zł 0,09 zł - zł 0,09 zł 0,09 zł 0,09 zł 0,09 zł 0,09 zł 0,09 zł 0,09 zł 0,09 zł 0,09 zł 0,09 zł 0,09 zł 0,09 zł 0,09 zł 0,09 zł 0,09 zł 0,09 zł 0,09 zł 0,09 zł 0,09 zł 0,09 zł 0,09 zł 0,09 zł 0,09 zł 0,09 zł 0,12 zł 0,12 zł 0,12 zł 0,12 zł 0,12 zł 0,12 zł 0,12 zł 0,12 zł 0,12 zł 0,12 zł 0,12 zł 0,12 zł 0,12 zł 0,12 zł 0,12 zł 0,12 zł 0,12 zł - zł 0,12 zł 0,12 zł 0,12 zł 0,12 zł 0,12 zł 0,12 zł 0,12 zł 0,12 zł 0,12 zł 0,12 zł 0,12 zł 0,12 zł 0,12 zł 0,12 zł 0,12 zł 0,12 zł 0,12 zł 0,12 zł 0,12 zł 0,12 zł 0,12 zł 0,12 zł 0,12 zł 0,12 zł 0,02 zł 0,02 zł 0,02 zł 0,02 zł 0,02 zł 0,02 zł 0,02 zł 0,02 zł 0,02 zł 0,02 zł 0,02 zł 0,02 zł 0,02 zł 0,02 zł 0,02 zł 0,02 zł 0,02 zł - zł 0,02 zł 0,02 zł 0,02 zł 0,02 zł 0,02 zł 0,02 zł 0,02 zł 0,02 zł 0,02 zł 0,02 zł 0,02 zł 0,02 zł 0,02 zł 0,02 zł 0,02 zł 0,02 zł 0,02 zł 0,02 zł 0,02 zł 0,02 zł 0,02 zł 0,02 zł 0,02 zł 0,02 zł Polska Polska Polska Polska Polska Polska Polska Polska Polska Polska Polska Polska Polska Polska Polska Polska Polska Polska Polska Polska Polska Polska Polska Polska Polska Polska Polska Polska Polska Polska Polska Polska Polska Polska Polska Polska Polska Polska Polska Polska Polska polska KrakĂłw Lublin ĹĂłdĹş Olsztyn Opole PoznaĹ„ Radom RzeszĂłw Szczecin WrocĹ‚aw Zielona GĂłra Krosno RzeszĂłw RzeszĂłw Zamość Katowice BiaĹ‚a Podlaska TarnĂłw WrocĹ‚aw TarnĂłw Zamość Abonenckie UsĹ‚ugi Specjalne Zamość Warszawa KrakĂłw Lublin Katowice CzÄ™stochowa CiechanĂłw Lublin ĹomĹĽa ĹĂłdĹş Opole Ostrołęka PĹ‚ock PoznaĹ„ Siedlce Sieradz Skierniewice Szczecin WrocĹ‚aw Zielona GĂłra Voice Works Sp. z o.o. Voice Works Sp. z o.o. Voice Works Sp. z o.o. Voice Works Sp. z o.o. Voice Works Sp. z o.o. Voice Works Sp. z o.o. Voice Works Sp. z o.o. Voice Works Sp. z o.o. Voice Works Sp. z o.o. Voice Works Sp. z o.o. UPC Polska Sp. z o.o. WIDE-NET Jacek Wajda ZETO-RZESZĂ“W Sp. z o.o. Aiton Caldwell S.A. Hrubieszowska Telewizja Kablowa S.C. PIEKARY.NET S.C. TAU INTERNET Ĺukasz Chajkaluk P4 Sp. z o.o. P4 Sp. z o.o. INTEGRA PaweĹ‚ MrĂłz PPHU Jan Koper Dobry numer (118 800) Crowley Data Poland Sp. z o.o. ATM S.A. Polmex-Serwis S.C. Ĺšwidman Ostrog.net J.Wałęga & M.MusioĹ‚ Spółka Jawna Netpartner Polska Sp. z o.o. Netpartner Polska Sp. z o.o. Netpartner Polska Sp. z o.o. Netpartner Polska Sp. z o.o. Netpartner Polska Sp. z o.o. Netpartner Polska Sp. z o.o. Netpartner Polska Sp. z o.o. Netpartner Polska Sp. z o.o. Netpartner Polska Sp. z o.o. Netpartner Polska Sp. z o.o. Netpartner Polska Sp. z o.o. Netpartner Polska Sp. z o.o. Netpartner Polska Sp. z o.o. Netpartner Polska Sp. z o.o. Netpartner Polska Sp. z o.o. geographic geographic geographic geographic geographic geographic geographic geographic geographic geographic geographic geographic geographic geographic geographic geographic geographic geographic geographic geographic geographic aus geographic geographic geographic geographic geographic geographic geographic geographic geographic geographic geographic geographic geographic geographic geographic geographic geographic geographic geographic geographic 0,09 zł 0,09 zł 0,09 zł 0,09 zł 0,09 zł 0,09 zł 0,09 zł 0,09 zł 0,09 zł 0,09 zł 0,09 zł 0,09 zł 0,09 zł 0,09 zł 0,09 zł 0,09 zł 0,09 zł 0,09 zł 0,09 zł 0,09 zł 0,09 zł 0,12 zł 0,12 zł 0,12 zł 0,12 zł 0,12 zł 0,12 zł 0,12 zł 0,12 zł 0,12 zł 0,12 zł 0,12 zł 0,12 zł 0,12 zł 0,12 zł 0,12 zł 0,12 zł 0,12 zł 0,12 zł 0,12 zł 0,12 zł 0,12 zł 0,02 zł 0,02 zł 0,02 zł 0,02 zł 0,02 zł 0,02 zł 0,02 zł 0,02 zł 0,02 zł 0,02 zł 0,02 zł 0,02 zł 0,02 zł 0,02 zł 0,02 zł 0,02 zł 0,02 zł 0,02 zł 0,02 zł 0,02 zł 0,02 zł 0,09 zł 0,09 zł 0,09 zł 0,09 zł 0,09 zł 0,09 zł 0,09 zł 0,09 zł 0,09 zł 0,09 zł 0,09 zł 0,09 zł 0,09 zł 0,09 zł 0,09 zł 0,09 zł 0,09 zł 0,09 zł 0,09 zł 0,09 zł 0,12 zł 0,12 zł 0,12 zł 0,12 zł 0,12 zł 0,12 zł 0,12 zł 0,12 zł 0,12 zł 0,12 zł 0,12 zł 0,12 zł 0,12 zł 0,12 zł 0,12 zł 0,12 zł 0,12 zł 0,12 zł 0,12 zł 0,12 zł 0,02 zł 0,02 zł 0,02 zł 0,02 zł 0,02 zł 0,02 zł 0,02 zł 0,02 zł 0,02 zł 0,02 zł 0,02 zł 0,02 zł 0,02 zł 0,02 zł 0,02 zł 0,02 zł 0,02 zł 0,02 zł 0,02 zł 0,02 zł Polska Polska Polska Polska Polska Polska Polska Polska Polska Polska Polska Polska Polska Polska Polska Polska Polska Polska Polska Polska Polska Polska Polska Polska Polska Polska Polska Polska Polska Polska Polska Polska Polska Polska Polska Polska Polska Polska Polska Polska Polska Polska ĹomĹĽa ToruĹ„ Katowice GdaĹ„sk KrakĂłw Krosno TarnĂłw Tarnobrzeg PrzemyĹ›l RzeszĂłw Nowy SÄ…cz Warszawa CiechanĂłw PĹ‚ock Siedlce Ostrołęka Katowice Bielsko-BiaĹ‚a CzÄ™stochowa PĹ‚ock ĹĂłdĹş Sieradz PiotrkĂłw Trybunalski Skierniewice Radom Bydgoszcz WĹ‚ocĹ‚awek ElblÄ…g ToruĹ„ GdaĹ„sk SĹ‚upsk PoznaĹ„ Kalisz Konin Leszno PiĹ‚a Zielona GĂłra WrocĹ‚aw WaĹ‚brzych Jelenia GĂłra Legnica Opole MARKOMP Marek Matejkowski MEGA-NET Marek Markwas E-CALL POLSKA Sp. z o.o. P4 Sp. z o.o. SLICAN Sp. z o.o. SLICAN Sp. z o.o. SLICAN Sp. z o.o. SLICAN Sp. z o.o. SLICAN Sp. z o.o. SLICAN Sp. z o.o. SLICAN Sp. z o.o. SLICAN Sp. z o.o. SLICAN Sp. z o.o. SLICAN Sp. z o.o. SLICAN Sp. z o.o. SLICAN Sp. z o.o. SLICAN Sp. z o.o. SLICAN Sp. z o.o. SLICAN Sp. z o.o. SLICAN Sp. z o.o. SLICAN Sp. z o.o. SLICAN Sp. z o.o. SLICAN Sp. z o.o. SLICAN Sp. z o.o. SLICAN Sp. z o.o. SLICAN Sp. z o.o. SLICAN Sp. z o.o. SLICAN Sp. z o.o. SLICAN Sp. z o.o. SLICAN Sp. z o.o. SLICAN Sp. z o.o. SLICAN Sp. z o.o. SLICAN Sp. z o.o. SLICAN Sp. z o.o. SLICAN Sp. z o.o. SLICAN Sp. z o.o. SLICAN Sp. z o.o. SLICAN Sp. z o.o. SLICAN Sp. z o.o. SLICAN Sp. z o.o. SLICAN Sp. z o.o. SLICAN Sp. z o.o. geographic geographic geographic geographic geographic geographic geographic geographic geographic geographic geographic geographic geographic geographic geographic geographic geographic geographic geographic geographic geographic geographic geographic geographic geographic geographic geographic geographic geographic geographic geographic geographic geographic geographic geographic geographic geographic geographic geographic geographic geographic geographic 0,09 zł 0,09 zł 0,09 zł 0,09 zł 0,09 zł 0,09 zł 0,09 zł 0,09 zł 0,09 zł 0,09 zł 0,09 zł 0,09 zł 0,09 zł 0,09 zł 0,09 zł 0,09 zł 0,09 zł 0,09 zł 0,09 zł 0,09 zł 0,09 zł 0,09 zł 0,09 zł 0,09 zł 0,09 zł 0,09 zł 0,09 zł 0,09 zł 0,09 zł 0,09 zł 0,09 zł 0,09 zł 0,09 zł 0,09 zł 0,09 zł 0,09 zł 0,09 zł 0,09 zł 0,09 zł 0,09 zł 0,09 zł 0,09 zł 0,12 zł 0,12 zł 0,12 zł 0,12 zł 0,12 zł 0,12 zł 0,12 zł 0,12 zł 0,12 zł 0,12 zł 0,12 zł 0,12 zł 0,12 zł 0,12 zł 0,12 zł 0,12 zł 0,12 zł 0,12 zł 0,12 zł 0,12 zł 0,12 zł 0,12 zł 0,12 zł 0,12 zł 0,12 zł 0,12 zł 0,12 zł 0,12 zł 0,12 zł 0,12 zł 0,12 zł 0,12 zł 0,12 zł 0,12 zł 0,12 zł 0,12 zł 0,12 zł 0,12 zł 0,12 zł 0,12 zł 0,12 zł 0,12 zł 0,02 zł 0,02 zł 0,02 zł 0,02 zł 0,02 zł 0,02 zł 0,02 zł 0,02 zł 0,02 zł 0,02 zł 0,02 zł 0,02 zł 0,02 zł 0,02 zł 0,02 zł 0,02 zł 0,02 zł 0,02 zł 0,02 zł 0,02 zł 0,02 zł 0,02 zł 0,02 zł 0,02 zł 0,02 zł 0,02 zł 0,02 zł 0,02 zł 0,02 zł 0,02 zł 0,02 zł 0,02 zł 0,02 zł 0,02 zł 0,02 zł 0,02 zł 0,02 zł 0,02 zł 0,02 zł 0,02 zł 0,02 zł 0,02 zł Polska Polska Polska Polska Polska Polska Polska Polska Polska Polska Polska Polska Polska Polska Polska Polska Polska Polska Polska Polska Polska Polska Polska Polska Polska Polska Polska Polska Polska Polska Polska Polska Polska Polska Polska Polska Polska Polska Polska Polska Polska Polska Lublin CheĹ‚m BiaĹ‚a Podlaska Zamość BiaĹ‚ystok ĹomĹĽa SuwaĹ‚ki Olsztyn Szczecin Koszalin GorzĂłw Wielkopolski KrakĂłw PoznaĹ„ Lublin Abonenckie UsĹ‚ugi Specjalne Abonenckie UsĹ‚ugi Specjalne Abonenckie UsĹ‚ugi Specjalne Konin Katowice Lublin GdaĹ„sk RzeszĂłw ĹĂłdĹş Katowice KrakĂłw Krosno Opole TarnĂłw PiĹ‚a Tarnobrzeg Legnica KrakĂłw WrocĹ‚aw Warszawa Katowice Bielsko-BiaĹ‚a Warszawa PoznaĹ„ RzeszĂłw KrakĂłw CheĹ‚m Katowice SLICAN Sp. z o.o. SLICAN Sp. z o.o. SLICAN Sp. z o.o. SLICAN Sp. z o.o. SLICAN Sp. z o.o. SLICAN Sp. z o.o. SLICAN Sp. z o.o. SLICAN Sp. z o.o. SLICAN Sp. z o.o. SLICAN Sp. z o.o. SLICAN Sp. z o.o. GEMINI INTERNET BartĹ‚omiej Sztefko TONET Tomasz PawaĹ‚owski P4 Sp. z o.o. AUS Grupa I AUS Grupa II AUS Grupa III Nettelekom Sp. z o.o. Milmex Systemy Komputerowe Sp. z o.o. MPWiK WodociÄ…gi PuĹ‚awskie Sp. z o.o. Netpartner Polska Sp. z o.o. Voice Net Sp. z o.o. TELKONET Sp. z o.o. E-Siemianowice Sp. z o.o. NASZASIEC.NET KRAKĂ“W Damian Murzynowski P4 Sp. z o.o. 3S Sp. z o.o. MARKOMP Marcin WĂłjcik P4 Sp. z o.o. STELLA Z.I.T. Sp. z o.o. Nettelekom Sp. z o.o. Connected Sp. z o.o. Forweb S.C. Focus Telecom Polska Sp. z o.o. Syrion Sp. z o.o. SferaNET Sp. z o.o. NSTI Sp. z o.o. INEA S.A. ZakĹ‚ad Teleradiotechniki TELEFON SERWIS Antoni Kois 3S S.A. Aiton Caldwell S.A. Aiton Caldwell S.A. geographic geographic geographic geographic geographic geographic geographic geographic geographic geographic geographic geographic geographic geographic aus aus aus geographic geographic geographic geographic geographic geographic geographic geographic geographic geographic geographic geographic geographic geographic geographic geographic geographic geographic geographic geographic geographic geographic geographic geographic geographic 0,09 zł 0,09 zł 0,09 zł 0,09 zł 0,09 zł 0,09 zł 0,09 zł 0,09 zł 0,09 zł 0,09 zł 0,09 zł 0,09 zł 0,09 zł 0,09 zł 0,16 zł 0,21 zł 3,44 zł 0,09 zł 0,09 zł 0,09 zł 0,09 zł 0,09 zł 0,09 zł 0,09 zł 0,09 zł 0,09 zł 0,09 zł 0,09 zł 0,09 zł 0,09 zł 0,09 zł 0,09 zł 0,09 zł 0,09 zł 0,09 zł 0,09 zł 0,09 zł 0,09 zł 0,09 zł 0,09 zł 0,09 zł 0,09 zł 0,12 zł 0,12 zł 0,12 zł 0,12 zł 0,12 zł 0,12 zł 0,12 zł 0,12 zł 0,12 zł 0,12 zł 0,12 zł 0,12 zł 0,12 zł 0,12 zł 0,19 zł 0,25 zł 4,23 zł 0,12 zł 0,12 zł 0,12 zł 0,12 zł 0,12 zł 0,12 zł 0,12 zł 0,12 zł 0,12 zł 0,12 zł 0,12 zł 0,12 zł 0,12 zł 0,12 zł 0,12 zł 0,12 zł 0,12 zł 0,12 zł 0,12 zł 0,12 zł 0,12 zł 0,12 zł 0,12 zł 0,12 zł 0,12 zł 0,02 zł 0,02 zł 0,02 zł 0,02 zł 0,02 zł 0,02 zł 0,02 zł 0,02 zł 0,02 zł 0,02 zł 0,02 zł 0,02 zł 0,02 zł 0,02 zł 0,04 zł 0,05 zł 0,79 zł 0,02 zł 0,02 zł 0,02 zł 0,02 zł 0,02 zł 0,02 zł 0,02 zł 0,02 zł 0,02 zł 0,02 zł 0,02 zł 0,02 zł 0,02 zł 0,02 zł 0,02 zł 0,02 zł 0,02 zł 0,02 zł 0,02 zł 0,02 zł 0,02 zł 0,02 zł 0,02 zł 0,02 zł 0,02 zł Polska Polska Polska Polska Polska Polska Polska Polska Polska Polska Polska Polska Polska Polska Polska Polska Polska Polska Polska Polska Polska Polska Polska Polska Polska Polska Polska Polska Polska Polska Polska Polska Polska Polska Polska Polska Polska Polska Polska Polska Polska Polska KrakĂłw PoznaĹ„ Szczecin Szczecin WrocĹ‚aw GdaĹ„sk Katowice GdaĹ„sk BiaĹ‚ystok Bielsko-BiaĹ‚a ToruĹ„ Zielona GĂłra Koszalin Kielce Tarnobrzeg WrocĹ‚aw Leszno CzÄ™stochowa Opole KrakĂłw CzÄ™stochowa Opole Warszawa Kalisz Opole Warszawa Bielsko-BiaĹ‚a Katowice Konin KrakĂłw Opole PiotrkĂłw Trybunalski PoznaĹ„ Sieradz ToruĹ„ Warszawa Radom KrakĂłw Krosno Warszawa GdaĹ„sk Katowice Aiton Caldwell S.A. Aiton Caldwell S.A. Aiton Caldwell S.A. AlterTEL Sp. z o.o. AlterTEL Sp. z o.o. CALL3.PL Sp. z o.o. DEBACOM Sp. z o.o. E-CALL POLSKA Sp. z o.o. E-Telko Sp. z o.o. E-Telko Sp. z o.o. E-Telko Sp. z o.o. E-Telko Sp. z o.o. ESPOL Sp. z o.o. FAST-NET S.C. GTS Poland Sp. z o.o. I-TEL Sp. z o.o. INEA S.A. IPTELL Sp. z o.o. IPTELL Sp. z o.o. Mediatel S.A. Multimedia Polska S.A. Multimedia Polska S.A. NetCentrica Sp. z o.o. Nettelekom GK Sp. z o.o. Nettelekom GK Sp. z o.o. Nettelekom GK Sp. z o.o. P4 Sp. z o.o. P4 Sp. z o.o. P4 Sp. z o.o. P4 Sp. z o.o. P4 Sp. z o.o. P4 Sp. z o.o. P4 Sp. z o.o. P4 Sp. z o.o. P4 Sp. z o.o. P4 Sp. z o.o. TARTEL Sp. z o.o. TONET Tomasz PawaĹ‚owski VIATEL Arkadiusz SliwiĹ„ski Voice Net Sp. z o.o. VOXBONE SA VOXBONE SA geographic geographic geographic geographic geographic geographic geographic geographic geographic geographic geographic geographic geographic geographic geographic geographic geographic geographic geographic geographic geographic geographic geographic geographic geographic geographic geographic geographic geographic geographic geographic geographic geographic geographic geographic geographic geographic geographic geographic geographic geographic geographic 0,09 zł 0,09 zł 0,09 zł 0,09 zł 0,09 zł 0,09 zł 0,09 zł 0,09 zł 0,09 zł 0,09 zł 0,09 zł 0,09 zł 0,09 zł 0,09 zł 0,07 zł 0,09 zł 0,09 zł 0,09 zł 0,09 zł 0,09 zł 0,09 zł 0,09 zł 0,09 zł 0,09 zł 0,09 zł 0,09 zł 0,09 zł 0,09 zł 0,09 zł 0,09 zł 0,09 zł 0,09 zł 0,09 zł 0,09 zł 0,09 zł 0,09 zł 0,09 zł 0,09 zł 0,09 zł 0,09 zł 0,09 zł 0,09 zł 0,12 zł 0,12 zł 0,12 zł 0,12 zł 0,12 zł 0,12 zł 0,12 zł 0,12 zł 0,12 zł 0,12 zł 0,12 zł 0,12 zł 0,12 zł 0,12 zł 0,09 zł 0,12 zł 0,12 zł 0,12 zł 0,12 zł 0,12 zł 0,12 zł 0,12 zł 0,12 zł 0,12 zł 0,12 zł 0,12 zł 0,12 zł 0,12 zł 0,12 zł 0,12 zł 0,12 zł 0,12 zł 0,12 zł 0,12 zł 0,12 zł 0,12 zł 0,12 zł 0,12 zł 0,12 zł 0,12 zł 0,12 zł 0,12 zł 0,02 zł 0,02 zł 0,02 zł 0,02 zł 0,02 zł 0,02 zł 0,02 zł 0,02 zł 0,02 zł 0,02 zł 0,02 zł 0,02 zł 0,02 zł 0,02 zł 0,02 zł 0,02 zł 0,02 zł 0,02 zł 0,02 zł 0,02 zł 0,02 zł 0,02 zł 0,02 zł 0,02 zł 0,02 zł 0,02 zł 0,02 zł 0,02 zł 0,02 zł 0,02 zł 0,02 zł 0,02 zł 0,02 zł 0,02 zł 0,02 zł 0,02 zł 0,02 zł 0,02 zł 0,02 zł 0,02 zł 0,02 zł 0,02 zł Polska Polska Polska Polska Polska Polska Polska Polska Polska Polska Polska Polska Polska Polska Polska Polska Polska Polska Polska Polska Polska Polska Polska Polska KrakĂłw Nowy SÄ…cz TarnĂłw Bielsko-BiaĹ‚a Lycamobile Numery stacjonarne Polskie Sieci Cyfrowe AMD Telecom Vectra Voxbone Sat Film Teleena Holding BV NEXTGEN MOBILE LTD UAB VORTUMO Telekomunikacja Novum PKP Polskie Linie Kolejowe MoSoCo MASSPAY Interpremium Net COMPATEL LIMITED EOON CALLFREEDOM Krosno KrakĂłw Polska Polska Polska Polska Polska Polska Polska Polska Polska Polska Polska Polska Polska Polska Polska Polska Polska Katowice Warszawa Warszawa Warszawa Warszawa Warszawa Warszawa Warszawa Warszawa Warszawa Warszawa Warszawa Warszawa Warszawa Warszawa Warszawa Warszawa VOXBONE SA VOXBONE SA World Discount Telecommunication Polska Sp. z o.o. Beskid Media Sp. z o.o. Lycamobile Sp. z o.o. Połączenia stacjonarne Polskie Sieci Cyfrowe Sp. z o.o. AMD Telecom S.A. Vectra S.A. Voxbone S.A. Sat Film Sp. z o.o. i WspĂłlnicy Sp.k. Teleena Holding BV NEXTGEN MOBILE LTD UAB VORTUMO Telekomunikacja Novum PKP Polskie Linie Kolejowe S.A. MoSoCo Sp. z o.o. MASSPAY S.A. Interpremium Net Sp. z o.o. COMPATEL LIMITED EOON Sp. z o.o. CALLFREEDOM Sp. z o.o. FHU COMP-SERWIS RadosĹ‚aw Bilski ISTS Sp. z o.o. PrzedsiÄ™biorstwo ZastosowaĹ„ Elektroniki ASK PaweĹ‚ Szymonek Tpsa Polkomtel S.A. Netia S.A. Telefonia Dialog S.A. MediaTel SA GTS Polska Sp. z o.o. Nettel Systems Sp. z o.o. eTel Polska MNI Telecom S.A. GTS Energis Sp. z o.o. MCX Corponet dataCOM ASTER Sp. z o.o. Spray SFERIA S.A. geographic geographic geographic geographic mobile geographic mobile mobile mobile mobile mobile mobile mobile mobile mobile mobile mobile mobile mobile mobile mobile mobile geographic geographic 0,09 zł 0,09 zł 0,09 zł 0,09 zł 0,14 zł - zł - zł - zł - zł - zł - zł - zł - zł - zł - zł - zł 0,14 zł - zł 0,14 zł - zł - zł - zł - zł - zł 0,12 zł 0,12 zł 0,12 zł 0,12 zł 0,17 zł - zł - zł - zł - zł - zł - zł - zł - zł - zł - zł - zł 0,17 zł - zł 0,17 zł - zł - zł - zł - zł - zł 0,02 zł 0,02 zł 0,02 zł 0,02 zł 0,03 zł - zł - zł - zł - zł - zł - zł - zł - zł - zł - zł - zł 0,03 zł - zł 0,03 zł - zł - zł - zł - zł - zł geographic geographic geographic geographic geographic geographic geographic geographic geographic geographic geographic geographic geographic geographic geographic geographic geographic - zł 0,04 zł 0,09 zł 0,07 zł 0,08 zł 0,09 zł 0,07 zł 0,09 zł 0,09 zł 0,09 zł 0,07 zł 0,09 zł 0,09 zł 0,09 zł 0,09 zł 0,09 zł 0,09 zł - zł 0,05 zł 0,12 zł 0,09 zł 0,10 zł 0,12 zł 0,09 zł 0,12 zł 0,12 zł 0,12 zł 0,09 zł 0,12 zł 0,12 zł 0,12 zł 0,12 zł 0,12 zł 0,12 zł - zł 0,01 zł 0,02 zł 0,02 zł 0,02 zł 0,02 zł 0,02 zł 0,02 zł 0,02 zł 0,02 zł 0,02 zł 0,02 zł 0,02 zł 0,02 zł 0,02 zł 0,02 zł 0,02 zł Polska Polska Polska Polska Polska Polska Polska Polska Polska Polska Polska Polska Polska Polska Polska Polska Polska Polska Polska Polska Polska Polska Polska Polska Polska Polska Polska Polska Polska Polska Polska Polska Polska Polska Polska Polska Polska Polska Polska Polska Polska Polska Warszawa Warszawa Warszawa Warszawa Warszawa Warszawa Warszawa Warszawa Warszawa Warszawa Warszawa Warszawa Warszawa Warszawa Warszawa Warszawa Warszawa Warszawa Warszawa Warszawa Warszawa Warszawa Warszawa Warszawa Warszawa Warszawa Warszawa Warszawa Warszawa Warszawa Warszawa Warszawa Warszawa Warszawa Warszawa Warszawa Warszawa Warszawa Warszawa Warszawa Warszawa Warszawa DĹ‚ugie Rozmowy S.A. Polska Telefonia Cyfrowa (PTC) Sp. z o.o. SMS-Express Telekomunikacja Kolejowa Sp. z o.o. FHU Televoice Piotr Radek EXATEL S.A. Computex Telecommunication Sp. z o.o. NOM E-Telko Sp. z o.o. NASK NEO Telecom Sp. z o.o. EASYCALL.PL Sp. z o.o. BT Poland o2.pl Sp. z o.o. Concept-T Sp. z o.o. Interconect Robert Urbaniak Galena Sp. z o.o. Virtel Sp. Jawna Crowley Data Poland Sp. z o.o. Twoje Media S.C. Elterix S.A. Mobyland Sp. z o.o. UPC Polska Sp. z o.o. Telesonica mdv Sp. z o.o. Elpol Telekom Sp. z o.o. Intelligent Technologies S.A. Vectra S.A. Multimedia Polska S.A. EASYCONNECT Sp. z o.o. MYFON.PL S.C. Twins Net Sp. z o.o. 2A Sp. z o.o. ELART St. Zakrzewski RAXEL Forweb S.C. PTK Centertel Sp. z o.o. GST Internet Sp. z o.o. MTI Mobilna Telefonia Internetowa Sp. z o.o. Metro Internet Sp. z o.o. Hikimori Tech Sp. z o.o. LESZNOWOLA.NET W. P. Bukowski Mazowiecki Operator Systemu Dystrybucyjnego Sp. z o.o. geographic geographic geographic geographic geographic geographic geographic geographic geographic geographic geographic geographic geographic geographic geographic geographic geographic geographic geographic geographic geographic geographic geographic geographic geographic geographic geographic geographic geographic geographic geographic geographic geographic geographic geographic geographic geographic geographic geographic geographic geographic geographic 0,09 zł 0,09 zł 0,09 zł 0,07 zł 0,09 zł 0,08 zł 0,09 zł 0,09 zł 0,09 zł 0,09 zł 0,09 zł 0,09 zł 0,09 zł 0,09 zł 0,09 zł 0,09 zł 0,09 zł 0,09 zł 0,09 zł 0,09 zł 0,09 zł 0,09 zł 0,09 zł 0,09 zł 0,09 zł 0,09 zł 0,09 zł 0,09 zł 0,09 zł 0,09 zł 0,09 zł 0,09 zł 0,09 zł 0,09 zł 0,09 zł 0,09 zł 0,09 zł 0,09 zł 0,09 zł 0,09 zł 0,09 zł 0,09 zł 0,12 zł 0,12 zł 0,12 zł 0,09 zł 0,12 zł 0,10 zł 0,12 zł 0,12 zł 0,12 zł 0,12 zł 0,12 zł 0,12 zł 0,12 zł 0,12 zł 0,12 zł 0,12 zł 0,12 zł 0,12 zł 0,12 zł 0,12 zł 0,12 zł 0,12 zł 0,12 zł 0,12 zł 0,12 zł 0,12 zł 0,12 zł 0,12 zł 0,12 zł 0,12 zł 0,12 zł 0,12 zł 0,12 zł 0,12 zł 0,12 zł 0,12 zł 0,12 zł 0,12 zł 0,12 zł 0,12 zł 0,12 zł 0,12 zł 0,02 zł 0,02 zł 0,02 zł 0,02 zł 0,02 zł 0,02 zł 0,02 zł 0,02 zł 0,02 zł 0,02 zł 0,02 zł 0,02 zł 0,02 zł 0,02 zł 0,02 zł 0,02 zł 0,02 zł 0,02 zł 0,02 zł 0,02 zł 0,02 zł 0,02 zł 0,02 zł 0,02 zł 0,02 zł 0,02 zł 0,02 zł 0,02 zł 0,02 zł 0,02 zł 0,02 zł 0,02 zł 0,02 zł 0,02 zł 0,02 zł 0,02 zł 0,02 zł 0,02 zł 0,02 zł 0,02 zł 0,02 zł 0,02 zł Polska Polska Polska Polska Polska Polska Polska Polska Polska Polska Polska Polska Polska Polska Polska Polska Polska Polska Polska Polska Polska Polska Polska Polska Polska Polska Polska Polska Polska Polska Polska Polska Polska Polska Polska Polska Polska Polska Polska Polska Polska Polska Warszawa Warszawa Warszawa Warszawa Warszawa Warszawa Warszawa Warszawa Warszawa Warszawa Warszawa Warszawa Warszawa Warszawa Warszawa Warszawa Warszawa Warszawa Warszawa Warszawa Warszawa Warszawa Warszawa Warszawa BiaĹ‚a Podlaska BiaĹ‚a Podlaska BiaĹ‚a Podlaska BiaĹ‚a Podlaska BiaĹ‚a Podlaska BiaĹ‚a Podlaska BiaĹ‚a Podlaska BiaĹ‚a Podlaska BiaĹ‚a Podlaska BiaĹ‚a Podlaska BiaĹ‚a Podlaska BiaĹ‚a Podlaska BiaĹ‚a Podlaska BiaĹ‚a Podlaska BiaĹ‚a Podlaska BiaĹ‚a Podlaska BiaĹ‚a Podlaska BiaĹ‚a Podlaska Peoplefone Polska S.A. ZIGZAG Sp. z o.o. Net4All Polska Sp. z o.o. IPTELL Sp. z o.o. NORDISK Polska Sp. z o.o. Air Bites Polska Sp. z o.o. PLJ TELECOM TARTEL Sp. z o.o. TELEGRUPA Sp. z o.o. VARS Sp. z o.o. JMDI J. Maleszko SUPERMEDIA Sp. z o.o. TSPP Sp. z o.o. Telekomunikacja BliĹĽej Sp. z o.o. MediaTel 4B Sp. z o.o. LivingTone S.A. OddziaĹ‚ w Polsce Enter Net Plus Sp. z o.o. MetroLine Sp. z o.o. TeleKontakt24 Sp. z o.o. Inotel S.A. FreecoNet S.A. SIMPLICOM Sp. z o.o. DEREK.NET.PL Tomasz Ĺšwiderek IQ Telecom Sp. z o.o. Tpsa Polkomtel S.A. Multimedia Polska - PoĹ‚udnie S.A. EXATEL S.A. o2.pl Sp. z o.o. Telekontakt24 Sp. z o.o. Vectra S.A. PTK Centertel Sp. z o.o. PTC Sp. z o.o. Peoplefone Polska S.A. Netia S.A. NORDISK Polska Sp. z o.o. FHU EKSPERT W. Szlechta GTS Energis Sp. z o.o. VARS Sp. z o.o. IQ Telecom Sp. z o.o. EASYCALL.PL Sp. z o.o. NASK geographic geographic geographic geographic geographic geographic geographic geographic geographic geographic geographic geographic geographic geographic geographic geographic geographic geographic geographic geographic geographic geographic geographic geographic geographic geographic geographic geographic geographic geographic geographic geographic geographic geographic geographic geographic geographic geographic geographic geographic geographic geographic 0,09 zł 0,09 zł 0,09 zł 0,09 zł 0,09 zł 0,09 zł 0,09 zł 0,09 zł 0,09 zł 0,09 zł 0,09 zł 0,09 zł 0,09 zł 0,09 zł 0,09 zł 0,09 zł 0,09 zł 0,09 zł 0,09 zł 0,09 zł 0,09 zł 0,09 zł 0,09 zł 0,09 zł 0,04 zł 0,09 zł 0,09 zł 0,08 zł 0,09 zł 0,09 zł 0,09 zł 0,09 zł 0,09 zł 0,09 zł 0,07 zł 0,09 zł 0,09 zł 0,07 zł 0,09 zł 0,09 zł 0,09 zł 0,09 zł 0,12 zł 0,12 zł 0,12 zł 0,12 zł 0,12 zł 0,12 zł 0,12 zł 0,12 zł 0,12 zł 0,12 zł 0,12 zł 0,12 zł 0,12 zł 0,12 zł 0,12 zł 0,12 zł 0,12 zł 0,12 zł 0,12 zł 0,12 zł 0,12 zł 0,12 zł 0,12 zł 0,12 zł 0,05 zł 0,12 zł 0,12 zł 0,10 zł 0,12 zł 0,12 zł 0,12 zł 0,12 zł 0,12 zł 0,12 zł 0,09 zł 0,12 zł 0,12 zł 0,09 zł 0,12 zł 0,12 zł 0,12 zł 0,12 zł 0,02 zł 0,02 zł 0,02 zł 0,02 zł 0,02 zł 0,02 zł 0,02 zł 0,02 zł 0,02 zł 0,02 zł 0,02 zł 0,02 zł 0,02 zł 0,02 zł 0,02 zł 0,02 zł 0,02 zł 0,02 zł 0,02 zł 0,02 zł 0,02 zł 0,02 zł 0,02 zł 0,02 zł 0,01 zł 0,02 zł 0,02 zł 0,02 zł 0,02 zł 0,02 zł 0,02 zł 0,02 zł 0,02 zł 0,02 zł 0,02 zł 0,02 zł 0,02 zł 0,02 zł 0,02 zł 0,02 zł 0,02 zł 0,02 zł Polska Polska Polska Polska Polska Polska Polska Polska Polska Polska Polska Polska Polska Polska Polska Polska Polska Polska Polska Polska Polska Polska Polska Polska Polska Polska Polska Polska Polska Polska Polska Polska Polska Polska Polska Polska Polska Polska Polska Polska Polska Polska BiaĹ‚a Podlaska BiaĹ‚ystok BiaĹ‚ystok BiaĹ‚ystok BiaĹ‚ystok BiaĹ‚ystok BiaĹ‚ystok BiaĹ‚ystok BiaĹ‚ystok BiaĹ‚ystok BiaĹ‚ystok BiaĹ‚ystok BiaĹ‚ystok BiaĹ‚ystok BiaĹ‚ystok BiaĹ‚ystok BiaĹ‚ystok BiaĹ‚ystok BiaĹ‚ystok BiaĹ‚ystok BiaĹ‚ystok BiaĹ‚ystok BiaĹ‚ystok BiaĹ‚ystok BiaĹ‚ystok BiaĹ‚ystok BiaĹ‚ystok BiaĹ‚ystok BiaĹ‚ystok BiaĹ‚ystok BiaĹ‚ystok BiaĹ‚ystok BiaĹ‚ystok BiaĹ‚ystok BiaĹ‚ystok BiaĹ‚ystok Bielsko-BiaĹ‚a Bielsko-BiaĹ‚a Bielsko-BiaĹ‚a Bielsko-BiaĹ‚a Bielsko-BiaĹ‚a Bielsko-BiaĹ‚a Telekomunikacja Kolejowa Sp. z o.o. Tpsa Polkomtel S.A. Multimedia Polska - PoĹ‚udnie S.A. MNI Telecom S.A. GTS Polska Sp. z o.o. Netia S.A. EXATEL S.A. Vectra S.A. Telekomunikacja Podlasie GTS Energis Sp. z o.o. NOM o2.pl Sp. z o.o. Telefonia Dialog S.A. Gadu-Gadu S.A. ELART St. Zakrzewski PTC Sp. z o.o. ELPOS Sp. z o.o. Forweb S.C. PTK Centertel Sp. z o.o. JARSAT S.C. Telekomunikacja Kolejowa Sp. z o.o. KOBA K. Baranowski EasyCall.Pl Sp. z o.o. HomeNet Technologies Sp. z o.o. Peoplefone Polska S.A. Intelligent Technologies S.A. Amson Sp. z o.o. NORDISK Polska Sp. z o.o. TARTEL Sp. z o.o. Teleoptimum Sp. z o.o. Crowley Data Poland Sp. z o.o. VARS Sp. z o.o. Telekontakt24 Sp. z o.o. Euronet S.C. NASK Tpsa Polkomtel S.A. Telefonia Dialog S.A. Netia S.A. EXATEL S.A. GTS Polska Sp. z o.o. geographic geographic geographic geographic geographic geographic geographic geographic geographic geographic geographic geographic geographic geographic geographic geographic geographic geographic geographic geographic geographic geographic geographic geographic geographic geographic geographic geographic geographic geographic geographic geographic geographic geographic geographic geographic geographic geographic geographic geographic geographic geographic 0,07 zł 0,04 zł 0,09 zł 0,09 zł 0,09 zł 0,07 zł 0,07 zł 0,08 zł 0,09 zł 0,09 zł 0,07 zł 0,09 zł 0,09 zł 0,08 zł 0,09 zł 0,09 zł 0,09 zł 0,09 zł 0,09 zł 0,09 zł 0,09 zł 0,07 zł 0,09 zł 0,09 zł 0,09 zł 0,09 zł 0,09 zł 0,09 zł 0,09 zł 0,09 zł 0,09 zł 0,09 zł 0,09 zł 0,09 zł 0,09 zł 0,09 zł 0,04 zł 0,09 zł 0,08 zł 0,07 zł 0,08 zł 0,07 zł 0,09 zł 0,05 zł 0,12 zł 0,12 zł 0,12 zł 0,09 zł 0,09 zł 0,10 zł 0,12 zł 0,12 zł 0,09 zł 0,12 zł 0,12 zł 0,10 zł 0,12 zł 0,12 zł 0,12 zł 0,12 zł 0,12 zł 0,12 zł 0,12 zł 0,09 zł 0,12 zł 0,12 zł 0,12 zł 0,12 zł 0,12 zł 0,12 zł 0,12 zł 0,12 zł 0,12 zł 0,12 zł 0,12 zł 0,12 zł 0,12 zł 0,12 zł 0,05 zł 0,12 zł 0,10 zł 0,09 zł 0,10 zł 0,09 zł 0,02 zł 0,01 zł 0,02 zł 0,02 zł 0,02 zł 0,02 zł 0,02 zł 0,02 zł 0,02 zł 0,02 zł 0,02 zł 0,02 zł 0,02 zł 0,02 zł 0,02 zł 0,02 zł 0,02 zł 0,02 zł 0,02 zł 0,02 zł 0,02 zł 0,02 zł 0,02 zł 0,02 zł 0,02 zł 0,02 zł 0,02 zł 0,02 zł 0,02 zł 0,02 zł 0,02 zł 0,02 zł 0,02 zł 0,02 zł 0,02 zł 0,02 zł 0,01 zł 0,02 zł 0,02 zł 0,02 zł 0,02 zł 0,02 zł Polska Polska Polska Polska Polska Polska Polska Polska Polska Polska Polska Polska Polska Polska Polska Polska Polska Polska Polska Polska Polska Polska Polska Polska Polska Polska Polska Polska Polska Polska Polska Polska Polska Polska Polska Polska Polska Polska Polska Polska Polska Polska Bielsko-BiaĹ‚a Bielsko-BiaĹ‚a Bielsko-BiaĹ‚a Bielsko-BiaĹ‚a Bielsko-BiaĹ‚a Bielsko-BiaĹ‚a Bielsko-BiaĹ‚a Bielsko-BiaĹ‚a Bielsko-BiaĹ‚a Bielsko-BiaĹ‚a Bielsko-BiaĹ‚a Bielsko-BiaĹ‚a Bielsko-BiaĹ‚a Bielsko-BiaĹ‚a Bielsko-BiaĹ‚a Bielsko-BiaĹ‚a Bielsko-BiaĹ‚a Bielsko-BiaĹ‚a Bielsko-BiaĹ‚a Bielsko-BiaĹ‚a Bielsko-BiaĹ‚a Bielsko-BiaĹ‚a Bydgoszcz Bydgoszcz Bydgoszcz Bydgoszcz Bydgoszcz Bydgoszcz Bydgoszcz Bydgoszcz Bydgoszcz Bydgoszcz Bydgoszcz Bydgoszcz Bydgoszcz Bydgoszcz Bydgoszcz Bydgoszcz Bydgoszcz Bydgoszcz Bydgoszcz Bydgoszcz GTS Energis Sp. z o.o. o2.pl Sp. z o.o. Vectra S.A. Gadu-Gadu S.A. Concept-T Sp. z o.o. PTC Sp. z o.o. Telekomunikacja Kolejowa Sp. z o.o. PTK Centertel Sp. z o.o. Stream Communications Sp. z o.o. EasyCALL.PL Sp. z o.o. Hyperion S.A. Globitel Sp. z o.o. Peoplefone Polska S.A. Intelligent Technologies S.A. NORDISK Polska Sp. z o.o. Teleoptimum Sp. z o.o. TimPlus S.C. Crowley Data Poland Sp. z o.o. VARS Sp. z o.o. MYFON.PL S.C. Telekontakt24 Sp. z o.o. NASK Tpsa Polkomtel S.A. Netia S.A. GTS Polska Sp. z o.o. GTS Energis Sp. z o.o. Telekomunikacja Kolejowa Sp. z o.o. EXATEL S.A. o2.pl Sp. z o.o. NOM Elterix S.A. E-Telko Sp. z o.o. UPC Polska Sp. z o.o. EASYCALL.PL Sp. z o.o. Telefonia Dialog S.A. Gadu-Gadu S.A. PTC Sp. z o.o. DĹ‚ugie Rozmowy S.A. PTK Centertel Sp. z o.o. Multimedia Polska S.A. Awacom Sp. z o.o. geographic geographic geographic geographic geographic geographic geographic geographic geographic geographic geographic geographic geographic geographic geographic geographic geographic geographic geographic geographic geographic geographic geographic geographic geographic geographic geographic geographic geographic geographic geographic geographic geographic geographic geographic geographic geographic geographic geographic geographic geographic geographic 0,07 zł 0,09 zł 0,09 zł 0,09 zł 0,09 zł 0,09 zł 0,07 zł 0,09 zł 0,09 zł 0,09 zł 0,09 zł 0,09 zł 0,09 zł 0,09 zł 0,09 zł 0,09 zł 0,09 zł 0,09 zł 0,09 zł 0,09 zł 0,09 zł 0,09 zł 0,04 zł 0,09 zł 0,07 zł 0,07 zł 0,07 zł 0,07 zł 0,08 zł 0,09 zł 0,09 zł 0,09 zł 0,09 zł 0,09 zł 0,09 zł 0,08 zł 0,09 zł 0,09 zł 0,09 zł 0,09 zł 0,09 zł 0,09 zł 0,09 zł 0,12 zł 0,12 zł 0,12 zł 0,12 zł 0,12 zł 0,09 zł 0,12 zł 0,12 zł 0,12 zł 0,12 zł 0,12 zł 0,12 zł 0,12 zł 0,12 zł 0,12 zł 0,12 zł 0,12 zł 0,12 zł 0,12 zł 0,12 zł 0,12 zł 0,05 zł 0,12 zł 0,09 zł 0,09 zł 0,09 zł 0,09 zł 0,10 zł 0,12 zł 0,12 zł 0,12 zł 0,12 zł 0,12 zł 0,12 zł 0,10 zł 0,12 zł 0,12 zł 0,12 zł 0,12 zł 0,12 zł 0,12 zł 0,02 zł 0,02 zł 0,02 zł 0,02 zł 0,02 zł 0,02 zł 0,02 zł 0,02 zł 0,02 zł 0,02 zł 0,02 zł 0,02 zł 0,02 zł 0,02 zł 0,02 zł 0,02 zł 0,02 zł 0,02 zł 0,02 zł 0,02 zł 0,02 zł 0,02 zł 0,01 zł 0,02 zł 0,02 zł 0,02 zł 0,02 zł 0,02 zł 0,02 zł 0,02 zł 0,02 zł 0,02 zł 0,02 zł 0,02 zł 0,02 zł 0,02 zł 0,02 zł 0,02 zł 0,02 zł 0,02 zł 0,02 zł 0,02 zł Polska Polska Polska Polska Polska Polska Polska Polska Polska Polska Polska Polska Polska Polska Polska Polska Polska Polska Polska Polska Polska Polska Polska Polska Polska Polska Polska Polska Polska Polska Polska Polska Polska Polska Polska Polska Polska Polska Polska Polska Polska Polska Bydgoszcz Bydgoszcz Bydgoszcz Bydgoszcz Bydgoszcz Bydgoszcz Bydgoszcz Bydgoszcz Bydgoszcz Bydgoszcz Bydgoszcz Bydgoszcz Bydgoszcz Bydgoszcz Bydgoszcz Bydgoszcz Bydgoszcz Bydgoszcz Bydgoszcz CheĹ‚m CheĹ‚m CheĹ‚m CheĹ‚m CheĹ‚m CheĹ‚m CheĹ‚m CheĹ‚m CheĹ‚m CheĹ‚m CheĹ‚m CheĹ‚m CheĹ‚m CheĹ‚m CheĹ‚m CheĹ‚m CheĹ‚m CheĹ‚m CheĹ‚m CheĹ‚m CheĹ‚m CheĹ‚m CiechanĂłw P.K. TELE Sp.J. Servcom Sp. z o.o. Hyperion S.A. Peoplefone Polska S.A. GST Internet Sp. z o.o. Intelligent Technologies S.A. IPTELL Sp. z o.o. NORDISK Polska Sp. z o.o. BTK Gawex Sp. J. MTI Mobilna Telefonia Internetowa Sp. z o.o. TARTEL Sp. z o.o. Crowley Data Poland Sp. z o.o. VARS Sp. z o.o. VECTRA S.A. Teleoptimum Sp. z o.o. Telekontakt24 Sp. z o.o. PHU Televoice Piotr Radek Mobyland Sp. z o.o. NASK Tpsa Polkomtel S.A. Netia S.A. EXATEL S.A. Multimedia Polska S.A. o2.pl Sp. z o.o. ALGO PTI Concept-T Sp. z o.o. PTK Centertel Sp. z o.o. PTC Sp. z o.o. Peoplefone Polska S.A. NORDISK Polska Sp. z o.o. FHU EKSPERT W. Szlechta GTS Energis Sp. z o.o. VARS Sp. z o.o. Hyperion S.A. IQ Telecom Sp. z o.o. UPC Polska Sp. z o.o. EASYCALL.PL Sp. z o.o. Telekontakt24 Sp. z o.o. NASK Telekomunikacja Kolejowa Sp. z o.o. Tpsa geographic geographic geographic geographic geographic geographic geographic geographic geographic geographic geographic geographic geographic geographic geographic geographic geographic geographic geographic geographic geographic geographic geographic geographic geographic geographic geographic geographic geographic geographic geographic geographic geographic geographic geographic geographic geographic geographic geographic geographic geographic geographic 0,09 zł 0,09 zł 0,09 zł 0,09 zł 0,09 zł 0,09 zł 0,09 zł 0,09 zł 0,09 zł 0,09 zł 0,09 zł 0,09 zł 0,09 zł 0,09 zł - zł 0,09 zł 0,09 zł 0,09 zł 0,09 zł 0,04 zł 0,09 zł 0,07 zł 0,08 zł 0,09 zł 0,09 zł 0,09 zł 0,09 zł 0,09 zł 0,09 zł 0,09 zł 0,09 zł - zł 0,07 zł 0,09 zł 0,09 zł - zł 0,09 zł 0,09 zł 0,09 zł 0,09 zł 0,07 zł 0,04 zł 0,12 zł 0,12 zł 0,12 zł 0,12 zł 0,12 zł 0,12 zł 0,12 zł 0,12 zł 0,12 zł 0,12 zł 0,12 zł 0,12 zł 0,12 zł 0,12 zł - zł 0,12 zł 0,12 zł 0,12 zł 0,12 zł 0,05 zł 0,12 zł 0,09 zł 0,10 zł 0,12 zł 0,12 zł 0,12 zł 0,12 zł 0,12 zł 0,12 zł 0,12 zł 0,12 zł - zł 0,09 zł 0,12 zł 0,12 zł - zł 0,12 zł 0,12 zł 0,12 zł 0,12 zł 0,09 zł 0,05 zł 0,02 zł 0,02 zł 0,02 zł 0,02 zł 0,02 zł 0,02 zł 0,02 zł 0,02 zł 0,02 zł 0,02 zł 0,02 zł 0,02 zł 0,02 zł 0,02 zł - zł 0,02 zł 0,02 zł 0,02 zł 0,02 zł 0,01 zł 0,02 zł 0,02 zł 0,02 zł 0,02 zł 0,02 zł 0,02 zł 0,02 zł 0,02 zł 0,02 zł 0,02 zł 0,02 zł - zł 0,02 zł 0,02 zł 0,02 zł - zł 0,02 zł 0,02 zł 0,02 zł 0,02 zł 0,02 zł 0,01 zł Polska Polska Polska Polska Polska Polska Polska Polska Polska Polska Polska Polska Polska Polska Polska Polska Polska Polska Polska Polska Polska Polska Polska Polska Polska Polska Polska Polska Polska Polska Polska Polska Polska Polska Polska Polska Polska Polska Polska Polska Polska Polska CiechanĂłw CiechanĂłw CiechanĂłw CiechanĂłw CiechanĂłw CiechanĂłw CiechanĂłw CiechanĂłw CiechanĂłw CiechanĂłw CiechanĂłw CiechanĂłw CiechanĂłw CiechanĂłw CiechanĂłw CiechanĂłw CiechanĂłw CiechanĂłw CiechanĂłw CiechanĂłw CiechanĂłw CzÄ™stochowa CzÄ™stochowa CzÄ™stochowa CzÄ™stochowa CzÄ™stochowa CzÄ™stochowa CzÄ™stochowa CzÄ™stochowa CzÄ™stochowa CzÄ™stochowa CzÄ™stochowa CzÄ™stochowa CzÄ™stochowa CzÄ™stochowa CzÄ™stochowa CzÄ™stochowa CzÄ™stochowa CzÄ™stochowa CzÄ™stochowa CzÄ™stochowa CzÄ™stochowa Polkomtel S.A. Multimedia Polska - PoĹ‚udnie S.A. EXATEL S.A. GTS Energis Sp. z o.o. o2.pl Sp. z o.o. Gadu-Gadu S.A. Telekontakt24 Sp. z o.o. RAXEL Crowley Data Poland Sp. z o.o. PTK Centertel Sp. z o.o. PTC Sp. z o.o. Peoplefone Polska S.A. Netia S.A. NORDISK Polska Sp. z o.o. VARS Sp. z o.o. Vectra S.A. UPC Polska Sp. z o.o. EASYCALL.PL Sp. z o.o. NASK IQ Telecom Sp. z o.o. Telekomunikacja Kolejowa Sp. z o.o. Tpsa Polkomtel S.A. GTS Polska Sp. z o.o. EXATEL S.A. NOM MNI Telecom S.A. GTS Energis Sp. z o.o. o2.pl Sp. z o.o. Telefonia Dialog S.A. Profiline Sp. z o.o. Gadu-Gadu S.A. Stream Communications Sp. z o.o. PTC Sp. z o.o. Telekomunikacja Kolejowa Sp. z o.o. PTK Centertel Sp. z o.o. GST Internet Sp. z o.o. EasyCall.PL Sp. z o.o. Netia S.A. Hyperion S.A. Peoplefone Polska S.A. Intelligent Technologies S.A. geographic geographic geographic geographic geographic geographic geographic geographic geographic geographic geographic geographic geographic geographic geographic geographic geographic geographic geographic geographic geographic geographic geographic geographic geographic geographic geographic geographic geographic geographic geographic geographic geographic geographic geographic geographic geographic geographic geographic geographic geographic geographic 0,09 zł 0,09 zł 0,08 zł 0,07 zł 0,09 zł 0,09 zł 0,09 zł 0,09 zł 0,09 zł 0,09 zł 0,09 zł 0,09 zł 0,07 zł 0,09 zł 0,09 zł 0,09 zł 0,09 zł 0,09 zł 0,09 zł 0,09 zł 0,07 zł 0,04 zł 0,09 zł 0,07 zł 0,08 zł 0,09 zł 0,09 zł 0,07 zł 0,09 zł 0,08 zł 0,09 zł 0,09 zł 0,09 zł 0,09 zł 0,07 zł 0,09 zł 0,09 zł 0,09 zł 0,07 zł 0,09 zł 0,09 zł 0,09 zł 0,12 zł 0,12 zł 0,10 zł 0,09 zł 0,12 zł 0,12 zł 0,12 zł 0,12 zł 0,12 zł 0,12 zł 0,12 zł 0,12 zł 0,09 zł 0,12 zł 0,12 zł 0,12 zł 0,12 zł 0,12 zł 0,12 zł 0,12 zł 0,09 zł 0,05 zł 0,12 zł 0,09 zł 0,10 zł 0,12 zł 0,12 zł 0,09 zł 0,12 zł 0,10 zł 0,12 zł 0,12 zł 0,12 zł 0,12 zł 0,09 zł 0,12 zł 0,12 zł 0,12 zł 0,09 zł 0,12 zł 0,12 zł 0,12 zł 0,02 zł 0,02 zł 0,02 zł 0,02 zł 0,02 zł 0,02 zł 0,02 zł 0,02 zł 0,02 zł 0,02 zł 0,02 zł 0,02 zł 0,02 zł 0,02 zł 0,02 zł 0,02 zł 0,02 zł 0,02 zł 0,02 zł 0,02 zł 0,02 zł 0,01 zł 0,02 zł 0,02 zł 0,02 zł 0,02 zł 0,02 zł 0,02 zł 0,02 zł 0,02 zł 0,02 zł 0,02 zł 0,02 zł 0,02 zł 0,02 zł 0,02 zł 0,02 zł 0,02 zł 0,02 zł 0,02 zł 0,02 zł 0,02 zł Polska Polska Polska Polska Polska Polska Polska Polska Polska Polska Polska Polska Polska Polska Polska Polska Polska Polska Polska Polska Polska Polska Polska Polska Polska Polska Polska Polska Polska Polska Polska Polska Polska Polska Polska Polska Polska Polska Polska Polska Polska Polska CzÄ™stochowa CzÄ™stochowa CzÄ™stochowa CzÄ™stochowa CzÄ™stochowa CzÄ™stochowa CzÄ™stochowa CzÄ™stochowa CzÄ™stochowa CzÄ™stochowa CzÄ™stochowa ElblÄ…g ElblÄ…g ElblÄ…g ElblÄ…g ElblÄ…g ElblÄ…g ElblÄ…g ElblÄ…g ElblÄ…g ElblÄ…g ElblÄ…g ElblÄ…g ElblÄ…g ElblÄ…g ElblÄ…g ElblÄ…g ElblÄ…g ElblÄ…g ElblÄ…g ElblÄ…g ElblÄ…g ElblÄ…g ElblÄ…g ElblÄ…g GdaĹ„sk GdaĹ„sk GdaĹ„sk GdaĹ„sk GdaĹ„sk GdaĹ„sk GdaĹ„sk NORDISK Polska Sp. z o.o. DĹ‚ugie Rozmowy S.A. Sitel Sp. z o.o. Crowley Data Poland Sp. z o.o. VARS Sp. z o.o. IQ Telecom Sp. z o.o. UPC Polska Sp. z o.o. Nettelekom Sp. z o.o. Telekontakt24 Sp. z o.o. @ALFANET M. MaĹ‚olepszy NASK Tpsa Polkomtel S.A. Telefonia Dialog S.A. Netia S.A. Telekomunikacja Kolejowa Sp. z o.o. EXATEL S.A. GTS Polska Sp. z o.o. Multimedia Polska S.A. o2.pl Sp. z o.o. GTS Energis Sp. z o.o. Vectra S.A. Gadu-Gadu S.A. NASK PTK Centertel Sp. z o.o. PTC Sp. z o.o. Peoplefone Polska S.A. GST Internet Sp. z o.o. EasyCall.PL Sp. z o.o. NORDISK Polska Sp. z o.o. VARS Sp. z o.o. VECTRA S.A. Crowley Data Poland Sp. z o.o. Telekontakt24 Sp. z o.o. IQ Telecom Sp. z o.o. Tpsa Polkomtel S.A. Netia S.A. Elterix Elektrownia Wodna Ĺ»arnowiec Nettel Systems Sp. z o.o. GTS Polska Sp. z o.o. geographic geographic geographic geographic geographic geographic geographic geographic geographic geographic geographic geographic geographic geographic geographic geographic geographic geographic geographic geographic geographic geographic geographic geographic geographic geographic geographic geographic geographic geographic geographic geographic geographic geographic geographic geographic geographic geographic geographic geographic geographic geographic 0,09 zł 0,09 zł 0,09 zł 0,09 zł 0,09 zł 0,09 zł 0,09 zł 0,09 zł 0,09 zł 0,09 zł 0,09 zł 0,04 zł 0,09 zł 0,08 zł 0,07 zł 0,07 zł 0,08 zł 0,07 zł 0,09 zł 0,09 zł 0,07 zł 0,09 zł 0,09 zł 0,09 zł 0,09 zł 0,09 zł 0,09 zł 0,09 zł 0,09 zł 0,09 zł 0,09 zł 0,09 zł 0,09 zł 0,09 zł 0,09 zł 0,04 zł 0,09 zł 0,07 zł 0,09 zł 0,09 zł 0,09 zł 0,07 zł 0,12 zł 0,12 zł 0,12 zł 0,12 zł 0,12 zł 0,12 zł 0,12 zł 0,12 zł 0,12 zł 0,12 zł 0,12 zł 0,05 zł 0,12 zł 0,10 zł 0,09 zł 0,09 zł 0,10 zł 0,09 zł 0,12 zł 0,12 zł 0,09 zł 0,12 zł 0,12 zł 0,12 zł 0,12 zł 0,12 zł 0,12 zł 0,12 zł 0,12 zł 0,12 zł 0,12 zł 0,12 zł 0,12 zł 0,12 zł 0,12 zł 0,05 zł 0,12 zł 0,09 zł 0,12 zł 0,12 zł 0,12 zł 0,09 zł 0,02 zł 0,02 zł 0,02 zł 0,02 zł 0,02 zł 0,02 zł 0,02 zł 0,02 zł 0,02 zł 0,02 zł 0,02 zł 0,01 zł 0,02 zł 0,02 zł 0,02 zł 0,02 zł 0,02 zł 0,02 zł 0,02 zł 0,02 zł 0,02 zł 0,02 zł 0,02 zł 0,02 zł 0,02 zł 0,02 zł 0,02 zł 0,02 zł 0,02 zł 0,02 zł 0,02 zł 0,02 zł 0,02 zł 0,02 zł 0,02 zł 0,01 zł 0,02 zł 0,02 zł 0,02 zł 0,02 zł 0,02 zł 0,02 zł Polska Polska Polska Polska Polska Polska Polska Polska Polska Polska Polska Polska Polska Polska Polska Polska Polska Polska Polska Polska Polska Polska Polska Polska Polska Polska Polska Polska Polska Polska Polska Polska Polska Polska Polska Polska Polska Polska Polska Polska Polska Polska GdaĹ„sk GdaĹ„sk GdaĹ„sk GdaĹ„sk GdaĹ„sk GdaĹ„sk GdaĹ„sk GdaĹ„sk GdaĹ„sk GdaĹ„sk GdaĹ„sk GdaĹ„sk GdaĹ„sk GdaĹ„sk GdaĹ„sk GdaĹ„sk GdaĹ„sk GdaĹ„sk GdaĹ„sk GdaĹ„sk GdaĹ„sk GdaĹ„sk GdaĹ„sk GdaĹ„sk GdaĹ„sk GdaĹ„sk GdaĹ„sk GdaĹ„sk GdaĹ„sk GdaĹ„sk GdaĹ„sk GdaĹ„sk GdaĹ„sk GdaĹ„sk GdaĹ„sk GdaĹ„sk GdaĹ„sk GdaĹ„sk GdaĹ„sk GdaĹ„sk GdaĹ„sk GdaĹ„sk GTS Energis Sp. z o.o. Mobyland Sp. z o.o. Telekomunikacja Kolejowa Sp. z o.o. VECTRA S.A. EXATEL S.A. E-Telko Sp. z o.o. Multimedia Polska S.A. HomeNet Technologies Sp. z o.o. NOM EASYCALL.PL Sp. z o.o. o2.pl Sp. z o.o. PrzedsiÄ™biorstwo DEWIZA S.A. PTC Sp. z o.o. UPC Polska Sp. z o.o. Telewizja Kablowa CHOPIN Sp. j. Telefonia Dialog S.A. Artnet Sp. z o.o. Crowley Data Poland Sp. z o.o. Vectra S.A. ZarzÄ…d Morskiego Portu Gdynia S.A. NASK PLAST-COM Gadu-Gadu S.A. Concept-T Sp. z o.o. E-IMG Internet Multimedia Group Forweb S.C. PHU VOLTA PTK Centertel Sp. z o.o. Teletronik A. Stachecki JARSAT S.C. LAN.NET.PL S.C. SFERIA S.A. T.K. SATRA Sp. z o.o. Peoplefone Polska S.A. GST Internet Sp. z o.o. Intelligent Technologies S.A. IPTELL Sp. z o.o. MetroPlay TGI Sp. z o.o. MTI Mobilna Telefonia Internetowa Sp. z o.o. TARTEL Sp. z o.o. VARS Sp. z o.o. AS-SAT Marcin Dariusz Prymas geographic geographic geographic geographic geographic geographic geographic geographic geographic geographic geographic geographic geographic geographic geographic geographic geographic geographic geographic geographic geographic geographic geographic geographic geographic geographic geographic geographic geographic geographic geographic geographic geographic geographic geographic geographic geographic geographic geographic geographic geographic geographic 0,07 zł 0,09 zł 0,07 zł 0,09 zł 0,08 zł 0,09 zł 0,09 zł 0,09 zł 0,09 zł 0,09 zł 0,09 zł 0,09 zł 0,09 zł 0,09 zł 0,09 zł 0,08 zł 0,09 zł 0,09 zł 0,09 zł 0,09 zł 0,09 zł 0,09 zł 0,09 zł 0,09 zł 0,09 zł 0,09 zł 0,09 zł 0,09 zł 0,09 zł 0,09 zł 0,09 zł 0,09 zł 0,09 zł 0,09 zł 0,09 zł 0,09 zł 0,09 zł 0,09 zł 0,09 zł 0,09 zł 0,09 zł 0,09 zł 0,09 zł 0,12 zł 0,09 zł 0,12 zł 0,10 zł 0,12 zł 0,12 zł 0,12 zł 0,12 zł 0,12 zł 0,12 zł 0,12 zł 0,12 zł 0,12 zł 0,12 zł 0,10 zł 0,12 zł 0,12 zł 0,12 zł 0,12 zł 0,12 zł 0,12 zł 0,12 zł 0,12 zł 0,12 zł 0,12 zł 0,12 zł 0,12 zł 0,12 zł 0,12 zł 0,12 zł 0,12 zł 0,12 zł 0,12 zł 0,12 zł 0,12 zł 0,12 zł 0,12 zł 0,12 zł 0,12 zł 0,12 zł 0,12 zł 0,02 zł 0,02 zł 0,02 zł 0,02 zł 0,02 zł 0,02 zł 0,02 zł 0,02 zł 0,02 zł 0,02 zł 0,02 zł 0,02 zł 0,02 zł 0,02 zł 0,02 zł 0,02 zł 0,02 zł 0,02 zł 0,02 zł 0,02 zł 0,02 zł 0,02 zł 0,02 zł 0,02 zł 0,02 zł 0,02 zł 0,02 zł 0,02 zł 0,02 zł 0,02 zł 0,02 zł 0,02 zł 0,02 zł 0,02 zł 0,02 zł 0,02 zł 0,02 zł 0,02 zł 0,02 zł 0,02 zł 0,02 zł 0,02 zł Polska Polska Polska Polska Polska Polska Polska Polska Polska Polska Polska Polska Polska Polska Polska Polska Polska Polska Polska Polska Polska Polska Polska Polska Polska Polska Polska Polska Polska Polska Polska Polska Polska Polska Polska Polska Polska Polska Polska Polska Polska Polska GdaĹ„sk GdaĹ„sk GdaĹ„sk GdaĹ„sk GdaĹ„sk GdaĹ„sk GdaĹ„sk GdaĹ„sk GdaĹ„sk GdaĹ„sk GdaĹ„sk GorzĂłw Wielkopolski GorzĂłw Wielkopolski GorzĂłw Wielkopolski GorzĂłw Wielkopolski GorzĂłw Wielkopolski GorzĂłw Wielkopolski GorzĂłw Wielkopolski GorzĂłw Wielkopolski GorzĂłw Wielkopolski GorzĂłw Wielkopolski GorzĂłw Wielkopolski GorzĂłw Wielkopolski GorzĂłw Wielkopolski GorzĂłw Wielkopolski GorzĂłw Wielkopolski GorzĂłw Wielkopolski GorzĂłw Wielkopolski GorzĂłw Wielkopolski GorzĂłw Wielkopolski GorzĂłw Wielkopolski GorzĂłw Wielkopolski GorzĂłw Wielkopolski GorzĂłw Wielkopolski GorzĂłw Wielkopolski GorzĂłw Wielkopolski GorzĂłw Wielkopolski GorzĂłw Wielkopolski Jelenia GĂłra Jelenia GĂłra Jelenia GĂłra Jelenia GĂłra MediaTel 4B Sp. z o.o. BIALL-NET Sp. z o.o. Enter Net Plus Sp. z o.o. Teleoptimum Sp. z o.o. Telekontakt24 Sp. z o.o. FreecoNet S.A. Inotel S.A. PHU Televoice Piotr Radek LIMES S.C. LedEnergy.pl Filip Nowicki Stream Communications Sp. z o.o. Tpsa Polkomtel S.A. Multimedia Polska - ZachĂłd Sp. z o.o. Netia S.A. GTS Polska Sp. z o.o. EXATEL S.A. o2.pl Sp. z o.o. Telefonia Dialog S.A. Gadu-Gadu S.A. PTC Sp. z o.o. Vectra S.A. PTK Centertel Sp. z o.o. GST Internet Sp. z o.o. Peoplefone Polska S.A. NORDISK Polska Sp. z o.o. Telekomunikacja Kolejowa Sp. z o.o. Hyperion S.A. MetroLine Sp. z o.o. GTS Energis Sp. z o.o. EasyCall.pl Sp. z o.o. VARS Sp. z o.o. VECTRA S.A. SpTelek Sp. z o.o. Crowley Data Poland Sp. z o.o. Telekontakt24 Sp. z o.o. NASK IQ Telecom Sp. z o.o. Tpsa Polkomtel S.A. Telefonia Dialog S.A. EXATEL S.A. geographic geographic geographic geographic geographic geographic geographic geographic geographic geographic geographic geographic geographic geographic geographic geographic geographic geographic geographic geographic geographic geographic geographic geographic geographic geographic geographic geographic geographic geographic geographic geographic geographic geographic geographic geographic geographic geographic geographic geographic geographic geographic - zł 0,09 zł 0,09 zł 0,09 zł 0,09 zł 0,09 zł 0,09 zł 0,09 zł 0,09 zł 0,09 zł 0,09 zł 0,04 zł 0,09 zł 0,09 zł 0,07 zł 0,07 zł 0,08 zł 0,09 zł 0,08 zł 0,09 zł 0,09 zł 0,09 zł 0,09 zł 0,09 zł 0,09 zł 0,09 zł 0,07 zł 0,09 zł 0,09 zł 0,07 zł 0,09 zł 0,09 zł 0,09 zł 0,09 zł 0,09 zł 0,09 zł 0,09 zł 0,09 zł 0,04 zł 0,09 zł 0,08 zł 0,08 zł - zł 0,12 zł 0,12 zł 0,12 zł 0,12 zł 0,12 zł 0,12 zł 0,12 zł 0,12 zł 0,12 zł 0,12 zł 0,05 zł 0,12 zł 0,12 zł 0,09 zł 0,09 zł 0,10 zł 0,12 zł 0,10 zł 0,12 zł 0,12 zł 0,12 zł 0,12 zł 0,12 zł 0,12 zł 0,12 zł 0,09 zł 0,12 zł 0,12 zł 0,09 zł 0,12 zł 0,12 zł 0,12 zł 0,12 zł 0,12 zł 0,12 zł 0,12 zł 0,12 zł 0,05 zł 0,12 zł 0,10 zł 0,10 zł - zł 0,02 zł 0,02 zł 0,02 zł 0,02 zł 0,02 zł 0,02 zł 0,02 zł 0,02 zł 0,02 zł 0,02 zł 0,01 zł 0,02 zł 0,02 zł 0,02 zł 0,02 zł 0,02 zł 0,02 zł 0,02 zł 0,02 zł 0,02 zł 0,02 zł 0,02 zł 0,02 zł 0,02 zł 0,02 zł 0,02 zł 0,02 zł 0,02 zł 0,02 zł 0,02 zł 0,02 zł 0,02 zł 0,02 zł 0,02 zł 0,02 zł 0,02 zł 0,02 zł 0,01 zł 0,02 zł 0,02 zł 0,02 zł Polska Polska Polska Polska Polska Polska Polska Polska Polska Polska Polska Polska Polska Polska Polska Polska Polska Polska Polska Polska Polska Polska Polska Polska Polska Polska Polska Polska Polska Polska Polska Polska Polska Polska Polska Polska Polska Polska Polska Polska Polska Polska Jelenia GĂłra Jelenia GĂłra Jelenia GĂłra Jelenia GĂłra Jelenia GĂłra Jelenia GĂłra Jelenia GĂłra Jelenia GĂłra Jelenia GĂłra Jelenia GĂłra Jelenia GĂłra Jelenia GĂłra Jelenia GĂłra Jelenia GĂłra Jelenia GĂłra Jelenia GĂłra Jelenia GĂłra Jelenia GĂłra Jelenia GĂłra Jelenia GĂłra Jelenia GĂłra Kalisz Kalisz Kalisz Kalisz Kalisz Kalisz Kalisz Kalisz Kalisz Kalisz Kalisz Kalisz Kalisz Kalisz Kalisz Kalisz Kalisz Kalisz Kalisz Kalisz Kalisz GTS Energis Sp. z o.o. o2.pl Sp. z o.o. Vectra S.A. GTS Polska Sp. z o.o. Gadu-Gadu S.A. Concept-T Sp. z o.o. PTC Sp. z o.o. PTK Centertel Sp. z o.o. Peoplefone Polska S.A. EasyCall.PL Sp. z o.o. Netia S.A. AZART-SAT P.U.H. TomkĂłw Sp. z o.o. VARS Sp. z o.o. ELART St. Zakrzewski EASYCALL.PL Sp. z o.o. Telekontakt24 Sp. z o.o. Inotel S.A. NASK IQ Telecom Sp. z o.o. Telekomunikacja Kolejowa Sp. z o.o. Tpsa Polkomtel S.A. Netia S.A. EXATEL S.A. GTS Energis Sp. z o.o. Multimedia Polska S.A. o2.pl Sp. z o.o. GTS Polska Sp. z o.o. UPC Polska Sp. z o.o. Telefonia Dialog S.A. Gadu-Gadu S.A. Concept-T Sp. z o.o. PrzedsiÄ™biorstwo PROMAX Sp.J. PTC Sp. z o.o. Telekomunikacja Kolejowa Sp. z o.o. PTK Centertel Sp. z o.o. EasyCall.PL Sp. z o.o. JARSAT S.C. Peoplefone Polska S.A. Intelligent Technologies S.A. NORDISK Polska Sp. z o.o. geographic geographic geographic geographic geographic geographic geographic geographic geographic geographic geographic geographic geographic geographic geographic geographic geographic geographic geographic geographic geographic geographic geographic geographic geographic geographic geographic geographic geographic geographic geographic geographic geographic geographic geographic geographic geographic geographic geographic geographic geographic geographic 0,07 zł 0,09 zł 0,09 zł 0,07 zł 0,09 zł 0,09 zł 0,09 zł 0,09 zł 0,09 zł 0,09 zł 0,07 zł 0,09 zł 0,09 zł 0,09 zł 0,09 zł 0,09 zł 0,09 zł 0,09 zł 0,09 zł 0,09 zł 0,07 zł 0,04 zł 0,09 zł 0,07 zł 0,08 zł 0,07 zł 0,09 zł 0,09 zł 0,07 zł 0,09 zł 0,08 zł 0,09 zł 0,09 zł 0,09 zł 0,09 zł 0,07 zł 0,09 zł 0,09 zł 0,09 zł 0,09 zł 0,09 zł 0,09 zł 0,09 zł 0,12 zł 0,12 zł 0,09 zł 0,12 zł 0,12 zł 0,12 zł 0,12 zł 0,12 zł 0,12 zł 0,09 zł 0,12 zł 0,12 zł 0,12 zł 0,12 zł 0,12 zł 0,12 zł 0,12 zł 0,12 zł 0,12 zł 0,09 zł 0,05 zł 0,12 zł 0,09 zł 0,10 zł 0,09 zł 0,12 zł 0,12 zł 0,09 zł 0,12 zł 0,10 zł 0,12 zł 0,12 zł 0,12 zł 0,12 zł 0,09 zł 0,12 zł 0,12 zł 0,12 zł 0,12 zł 0,12 zł 0,12 zł 0,02 zł 0,02 zł 0,02 zł 0,02 zł 0,02 zł 0,02 zł 0,02 zł 0,02 zł 0,02 zł 0,02 zł 0,02 zł 0,02 zł 0,02 zł 0,02 zł 0,02 zł 0,02 zł 0,02 zł 0,02 zł 0,02 zł 0,02 zł 0,02 zł 0,01 zł 0,02 zł 0,02 zł 0,02 zł 0,02 zł 0,02 zł 0,02 zł 0,02 zł 0,02 zł 0,02 zł 0,02 zł 0,02 zł 0,02 zł 0,02 zł 0,02 zł 0,02 zł 0,02 zł 0,02 zł 0,02 zł 0,02 zł 0,02 zł Polska Polska Polska Polska Polska Polska Polska Polska Polska Polska Polska Polska Polska Polska Polska Polska Polska Polska Polska Polska Polska Polska Polska Polska Polska Polska Polska Polska Polska Polska Polska Polska Polska Polska Polska Polska Polska Polska Polska Polska Polska Polska Kalisz Kalisz Kalisz Kalisz Kalisz Kalisz Kalisz Katowice Katowice Katowice Katowice Katowice Katowice Katowice Katowice Katowice Katowice Katowice Katowice Katowice Katowice Katowice Katowice Katowice Katowice Katowice Katowice Katowice Katowice Katowice Katowice Katowice Katowice Katowice Katowice Katowice Katowice Katowice Katowice Katowice Katowice Katowice TimPlus S.C. Crowley Data Poland Sp. z o.o. VARS Sp. z o.o. DĹ‚ugie Rozmowy S.A. IQ Telecom Sp. z o.o. TeleKontakt24 Sp. z o.o. NASK Tpsa Polkomtel S.A. Netia S.A. ERTEL Centralny OĹ›rodek Informatyki GĂłrnictwa Katowicki Holding WÄ™glowy Multimedia Polska S.A. GTS Polska Sp. z o.o. GTS Energis Sp. z o.o. Telekomunikacja Kolejowa Sp. z o.o. EXATEL S.A. E-Telko Sp. z o.o. OPEN-NET S.A. PK Telecom Sp. z o.o. EL-CUK NOM Kompania WÄ™glowa S.A. o2.pl Sp. z o.o. Galena Sp. z o.o. Elterix S.A. FONE SP. z o.o. Crowley Data Poland Sp. z o.o. PTC Sp. z o.o. UPC Polska Sp. z o.o. EASYCALL.PL Sp. z o.o. PPHU BMJ Sp. j. CETO Sp. z o.o. Media-Com Sp. z o.o. Vectra S.A. NASK Telefonia Dialog S.A. NETIS Sp. z o.o. Gadu-Gadu S.A. G-NET S.C. Leon Sp. z o.o. geographic geographic geographic geographic geographic geographic geographic geographic geographic geographic geographic geographic geographic geographic geographic geographic geographic geographic geographic geographic geographic geographic geographic geographic geographic geographic geographic geographic geographic geographic geographic geographic geographic geographic geographic geographic geographic geographic geographic geographic geographic geographic 0,09 zł 0,09 zł 0,09 zł 0,09 zł 0,09 zł 0,09 zł 0,09 zł 0,04 zł 0,09 zł 0,07 zł 0,09 zł 0,09 zł 0,09 zł 0,09 zł 0,07 zł 0,07 zł 0,07 zł 0,08 zł 0,09 zł 0,09 zł 0,09 zł 0,09 zł 0,09 zł 0,09 zł 0,09 zł 0,09 zł 0,09 zł 0,09 zł 0,09 zł 0,09 zł 0,09 zł 0,09 zł 0,09 zł 0,09 zł 0,09 zł 0,09 zł 0,09 zł 0,08 zł 0,09 zł 0,09 zł 0,09 zł 0,09 zł 0,12 zł 0,12 zł 0,12 zł 0,12 zł 0,12 zł 0,12 zł 0,12 zł 0,05 zł 0,12 zł 0,09 zł 0,12 zł 0,12 zł 0,12 zł 0,12 zł 0,09 zł 0,09 zł 0,09 zł 0,10 zł 0,12 zł 0,12 zł 0,12 zł 0,12 zł 0,12 zł 0,12 zł 0,12 zł 0,12 zł 0,12 zł 0,12 zł 0,12 zł 0,12 zł 0,12 zł 0,12 zł 0,12 zł 0,12 zł 0,12 zł 0,12 zł 0,12 zł 0,10 zł 0,12 zł 0,12 zł 0,12 zł 0,12 zł 0,02 zł 0,02 zł 0,02 zł 0,02 zł 0,02 zł 0,02 zł 0,02 zł 0,01 zł 0,02 zł 0,02 zł 0,02 zł 0,02 zł 0,02 zł 0,02 zł 0,02 zł 0,02 zł 0,02 zł 0,02 zł 0,02 zł 0,02 zł 0,02 zł 0,02 zł 0,02 zł 0,02 zł 0,02 zł 0,02 zł 0,02 zł 0,02 zł 0,02 zł 0,02 zł 0,02 zł 0,02 zł 0,02 zł 0,02 zł 0,02 zł 0,02 zł 0,02 zł 0,02 zł 0,02 zł 0,02 zł 0,02 zł 0,02 zł Polska Polska Polska Polska Polska Polska Polska Polska Polska Polska Polska Polska Polska Polska Polska Polska Polska Polska Polska Polska Polska Polska Polska Polska Polska Polska Polska Polska Polska Polska Polska Polska Polska Polska Polska Polska Polska Polska Polska Polska Polska Polska Katowice Katowice Katowice Katowice Katowice Katowice Katowice Katowice Katowice Katowice Katowice Katowice Katowice Katowice Katowice Katowice Katowice Katowice Katowice Katowice Katowice Katowice Katowice Katowice Katowice Katowice Katowice Katowice Katowice Katowice Katowice Katowice Katowice Katowice Katowice Kielce Kielce Kielce Kielce Kielce Kielce Kielce Stream Communications Sp. z o.o. PikoNet Sp. z o.o. Forweb S.C. Sitel Sp. z o.o. PTK Centertel Sp. z o.o. SFERIA S.A. STRONG-PC T. Piekarski Air Bites Polska Sp. z o.o. Hyperion S.A. Peoplefone Polska S.A. ZIGZAG Sp. z o.o. Intelligent Technologies S.A. IPTELL Sp. z o.o. Sileman Sp. z o.o. NORDISK Polska Sp. z o.o. DĹ‚ugie Rozmowy S.A. MTI Mobilna Telefonia Internetowa Sp. z o.o. TimPlus S.C. TOYA Sp. z o.o. VARS Sp. z o.o. MYFON.PL S.C. BETASOFT Sp. z o.o. MediaTel 4B Sp. z o.o. Tartel Sp. z o.o. Enter Net Plus Sp. z o.o. Teleoptimum Sp. z o.o. Nettelekom Sp. z o.o. Trafix Sp. z o.o. NGM Sp. z o.o. Mobyland Sp. z o.o. FHU Televoice Piotr Radek Inotel S.A. FreecoNet S.A. Telekontakt24 Sp. z o.o. Proxnet Sp. J. Tpsa Polkomtel S.A. Netia S.A. MNI Telecom S.A. GTS Polska Sp. z o.o. EXATEL S.A. Vectra S.A. geographic geographic geographic geographic geographic geographic geographic geographic geographic geographic geographic geographic geographic geographic geographic geographic geographic geographic geographic geographic geographic geographic geographic geographic geographic geographic geographic geographic geographic geographic geographic geographic geographic geographic geographic geographic geographic geographic geographic geographic geographic geographic 0,09 zł 0,09 zł 0,09 zł 0,09 zł 0,09 zł 0,09 zł 0,09 zł 0,09 zł 0,09 zł 0,09 zł 0,09 zł 0,09 zł 0,09 zł 0,09 zł 0,09 zł 0,09 zł 0,09 zł 0,09 zł 0,09 zł 0,09 zł 0,09 zł 0,09 zł - zł 0,09 zł 0,09 zł 0,09 zł 0,09 zł 0,09 zł 0,09 zł 0,09 zł 0,09 zł 0,09 zł 0,09 zł 0,09 zł 0,09 zł 0,04 zł 0,09 zł 0,07 zł 0,09 zł 0,07 zł 0,08 zł 0,09 zł 0,12 zł 0,12 zł 0,12 zł 0,12 zł 0,12 zł 0,12 zł 0,12 zł 0,12 zł 0,12 zł 0,12 zł 0,12 zł 0,12 zł 0,12 zł 0,12 zł 0,12 zł 0,12 zł 0,12 zł 0,12 zł 0,12 zł 0,12 zł 0,12 zł 0,12 zł - zł 0,12 zł 0,12 zł 0,12 zł 0,12 zł 0,12 zł 0,12 zł 0,12 zł 0,12 zł 0,12 zł 0,12 zł 0,12 zł 0,12 zł 0,05 zł 0,12 zł 0,09 zł 0,12 zł 0,09 zł 0,10 zł 0,12 zł 0,02 zł 0,02 zł 0,02 zł 0,02 zł 0,02 zł 0,02 zł 0,02 zł 0,02 zł 0,02 zł 0,02 zł 0,02 zł 0,02 zł 0,02 zł 0,02 zł 0,02 zł 0,02 zł 0,02 zł 0,02 zł 0,02 zł 0,02 zł 0,02 zł 0,02 zł - zł 0,02 zł 0,02 zł 0,02 zł 0,02 zł 0,02 zł 0,02 zł 0,02 zł 0,02 zł 0,02 zł 0,02 zł 0,02 zł 0,02 zł 0,01 zł 0,02 zł 0,02 zł 0,02 zł 0,02 zł 0,02 zł 0,02 zł Polska Polska Polska Polska Polska Polska Polska Polska Polska Polska Polska Polska Polska Polska Polska Polska Polska Polska Polska Polska Polska Polska Polska Polska Polska Polska Polska Polska Polska Polska Polska Polska Polska Polska Polska Polska Polska Polska Polska Polska Polska Polska Kielce Kielce Kielce Kielce Kielce Kielce Kielce Kielce Kielce Kielce Kielce Kielce Kielce Kielce Kielce Kielce Kielce Kielce Kielce Kielce Kielce Kielce Konin Konin Konin Konin Konin Konin Konin Konin Konin Konin Konin Konin Konin Konin Konin Konin Konin Konin Konin Konin GTS Energis Sp. z o.o. o2.pl Sp. z o.o. UPC Polska Sp. z o.o. Telefonia Dialog S.A. Gadu-Gadu S.A. Nettelekom Sp. z o.o. PTC Sp. z o.o. NASK ALGO PTI Concept-T Sp. z o.o. PTK Centertel Sp. z o.o. Telekomunikacja Kolejowa Sp. z o.o. Hyperion S.A. Peoplefone Polska S.A. EasyCall.PL Sp. z o.o. NORDISK Polska Sp. z o.o. TARTEL Sp. z o.o. TELKONET Sp. z o.o. Crowley Data Poland Sp. z o.o. VARS Sp. z o.o. Teleoptimum Sp. z o.o. Telekontakt24 Sp. z o.o. Tpsa Polkomtel S.A. Elterix Multimedia Polska - PoĹ‚udnie S.A. Netia S.A. Telekomunikacja Kolejowa Sp. z o.o. EXATEL S.A. NOM o2.pl Sp. z o.o. Telewizja Kablowa PoznaĹ„ S.A. GTS Polska Sp. z o.o. Telefonia Dialog S.A. Gadu-Gadu S.A. MYFON.PL S.C. PTK Centertel Sp. z o.o. PTC Sp. z o.o. GST Internet Sp. z o.o. Peoplefone Polska S.A. NORDISK Polska Sp. z o.o. GTS Energis Sp. z o.o. geographic geographic geographic geographic geographic geographic geographic geographic geographic geographic geographic geographic geographic geographic geographic geographic geographic geographic geographic geographic geographic geographic geographic geographic geographic geographic geographic geographic geographic geographic geographic geographic geographic geographic geographic geographic geographic geographic geographic geographic geographic geographic 0,07 zł 0,09 zł 0,09 zł 0,08 zł 0,09 zł 0,09 zł 0,09 zł 0,09 zł 0,09 zł - zł 0,09 zł 0,07 zł 0,09 zł 0,09 zł 0,09 zł 0,09 zł 0,09 zł 0,09 zł 0,09 zł 0,09 zł 0,09 zł 0,09 zł 0,04 zł 0,09 zł 0,09 zł 0,09 zł 0,07 zł 0,07 zł 0,08 zł 0,09 zł 0,09 zł 0,09 zł 0,07 zł 0,08 zł 0,09 zł 0,09 zł 0,09 zł 0,09 zł 0,09 zł 0,09 zł 0,09 zł 0,07 zł 0,09 zł 0,12 zł 0,12 zł 0,10 zł 0,12 zł 0,12 zł 0,12 zł 0,12 zł 0,12 zł - zł 0,12 zł 0,09 zł 0,12 zł 0,12 zł 0,12 zł 0,12 zł 0,12 zł 0,12 zł 0,12 zł 0,12 zł 0,12 zł 0,12 zł 0,05 zł 0,12 zł 0,12 zł 0,12 zł 0,09 zł 0,09 zł 0,10 zł 0,12 zł 0,12 zł 0,12 zł 0,09 zł 0,10 zł 0,12 zł 0,12 zł 0,12 zł 0,12 zł 0,12 zł 0,12 zł 0,12 zł 0,09 zł 0,02 zł 0,02 zł 0,02 zł 0,02 zł 0,02 zł 0,02 zł 0,02 zł 0,02 zł 0,02 zł - zł 0,02 zł 0,02 zł 0,02 zł 0,02 zł 0,02 zł 0,02 zł 0,02 zł 0,02 zł 0,02 zł 0,02 zł 0,02 zł 0,02 zł 0,01 zł 0,02 zł 0,02 zł 0,02 zł 0,02 zł 0,02 zł 0,02 zł 0,02 zł 0,02 zł 0,02 zł 0,02 zł 0,02 zł 0,02 zł 0,02 zł 0,02 zł 0,02 zł 0,02 zł 0,02 zł 0,02 zł 0,02 zł Polska Polska Polska Polska Polska Polska Polska Polska Polska Polska Polska Polska Polska Polska Polska Polska Polska Polska Polska Polska Polska Polska Polska Polska Polska Polska Polska Polska Polska Polska Polska Polska Polska Polska Polska Polska Polska Polska Polska Polska Polska Polska Konin Konin Konin Konin Konin Koszalin Koszalin Koszalin Koszalin Koszalin Koszalin Koszalin Koszalin Koszalin Koszalin Koszalin Koszalin Koszalin Koszalin Koszalin Koszalin Koszalin Koszalin Koszalin Koszalin Koszalin Koszalin Koszalin Koszalin Koszalin Koszalin KrakĂłw KrakĂłw KrakĂłw KrakĂłw KrakĂłw KrakĂłw KrakĂłw KrakĂłw KrakĂłw KrakĂłw KrakĂłw VARS Sp. z o.o. EASYCALL.PL Sp. z o.o. Telekontakt24 Sp. z o.o. NASK IQ Telecom Sp. z o.o. Tpsa Polkomtel S.A. Netia S.A. GTS Polska Sp. z o.o. Telekomunikacja Kolejowa Sp. z o.o. EXATEL S.A. NOM GTS Energis Sp. z o.o. o2.pl Sp. z o.o. Vectra S.A. Telefonia Dialog S.A. Gadu-Gadu S.A. Gawex Media Sp. z o.o. NASK PTK Centertel Sp. z o.o. PTC Sp. z o.o. JARSAT S.C. TK KOĹOBRZEG Agencja UsĹ‚ugowo-Reklamowa Sp. z o.o. Peoplefone Polska S.A. EasyCall.PL Sp. z o.o. NORDISK Polska Sp. z o.o. Telewizja Kablowa Koszalin Sp. z o.o. Crowley Data Poland Sp. z o.o. VARS Sp. z o.o. IQ Telecom Sp. z o.o. Telekontakt24 Sp. z o.o. Tpsa Polkomtel S.A. Netia S.A. GTS Polska Sp. z o.o. GTS Energis Sp. z o.o. FHU Televoice Piotr Radek Telekomunikacja Kolejowa Sp. z o.o. EXATEL S.A. E-Telko Sp. z o.o. PK Telecom Poland Sp. z o.o. NOM geographic geographic geographic geographic geographic geographic geographic geographic geographic geographic geographic geographic geographic geographic geographic geographic geographic geographic geographic geographic geographic geographic geographic geographic geographic geographic geographic geographic geographic geographic geographic geographic geographic geographic geographic geographic geographic geographic geographic geographic geographic geographic 0,09 zł 0,09 zł 0,09 zł 0,09 zł 0,09 zł 0,04 zł 0,09 zł 0,07 zł 0,07 zł 0,07 zł 0,08 zł 0,09 zł 0,07 zł 0,09 zł 0,09 zł 0,08 zł 0,09 zł 0,09 zł 0,09 zł 0,09 zł 0,09 zł 0,09 zł 0,09 zł 0,09 zł 0,09 zł 0,09 zł 0,09 zł 0,09 zł 0,09 zł 0,09 zł 0,09 zł 0,04 zł 0,09 zł 0,07 zł 0,07 zł 0,07 zł 0,09 zł 0,07 zł 0,08 zł 0,09 zł 0,09 zł 0,09 zł 0,12 zł 0,12 zł 0,12 zł 0,12 zł 0,12 zł 0,05 zł 0,12 zł 0,09 zł 0,09 zł 0,09 zł 0,10 zł 0,12 zł 0,09 zł 0,12 zł 0,12 zł 0,10 zł 0,12 zł 0,12 zł 0,12 zł 0,12 zł 0,12 zł 0,12 zł 0,12 zł 0,12 zł 0,12 zł 0,12 zł 0,12 zł 0,12 zł 0,12 zł 0,12 zł 0,12 zł 0,05 zł 0,12 zł 0,09 zł 0,09 zł 0,09 zł 0,12 zł 0,09 zł 0,10 zł 0,12 zł 0,12 zł 0,12 zł 0,02 zł 0,02 zł 0,02 zł 0,02 zł 0,02 zł 0,01 zł 0,02 zł 0,02 zł 0,02 zł 0,02 zł 0,02 zł 0,02 zł 0,02 zł 0,02 zł 0,02 zł 0,02 zł 0,02 zł 0,02 zł 0,02 zł 0,02 zł 0,02 zł 0,02 zł 0,02 zł 0,02 zł 0,02 zł 0,02 zł 0,02 zł 0,02 zł 0,02 zł 0,02 zł 0,02 zł 0,01 zł 0,02 zł 0,02 zł 0,02 zł 0,02 zł 0,02 zł 0,02 zł 0,02 zł 0,02 zł 0,02 zł 0,02 zł Polska Polska Polska Polska Polska Polska Polska Polska Polska Polska Polska Polska Polska Polska Polska Polska Polska Polska Polska Polska Polska Polska Polska Polska Polska Polska Polska Polska Polska Polska Polska Polska Polska Polska Polska Polska Polska Polska Polska Polska Polska Polska KrakĂłw KrakĂłw KrakĂłw KrakĂłw KrakĂłw KrakĂłw KrakĂłw KrakĂłw KrakĂłw KrakĂłw KrakĂłw KrakĂłw KrakĂłw KrakĂłw KrakĂłw KrakĂłw KrakĂłw KrakĂłw KrakĂłw KrakĂłw KrakĂłw KrakĂłw KrakĂłw KrakĂłw KrakĂłw KrakĂłw KrakĂłw KrakĂłw KrakĂłw KrakĂłw KrakĂłw KrakĂłw KrakĂłw KrakĂłw KrakĂłw KrakĂłw KrakĂłw KrakĂłw Krosno Krosno Krosno Krosno o2.pl Sp. z o.o. Elterix S.A. AZ Soft S.A. DĹ‚ugie Rozmowy S.A. UPC Polska Sp. z o.o. EASYCALL.PL Sp. z o.o. Crowley Data Poland Sp. z o.o. Aster Sp. z o.o. GH Net S.C. Telefonia Dialog S.A. NASK Gadu-Gadu S.A. PTC Sp. z o.o. RADIO-TELECOM A. ZaĹ‚uski PikoNet Sp. z o.o. Stream Communications Sp. z o.o. Forweb S.C. PTK Centertel Sp. z o.o. GST Internet Sp. z o.o. SFERIA S.A. Air Bites Polska Sp. z o.o. Hyperion S.A. Peoplefone Polska S.A. Intelligent Technologies S.A. IPTELL Sp. z o.o. NORDISK Polska Sp. z o.o. MTI Mobilna Telefonia Internetowa Sp. z o.o. TARTEL Sp. z o.o. VARS Sp. z o.o. City Partner Sp. z o.o. Enter Net Plus Sp. z o.o. Teleoptimum Sp. z o.o. TimPlus S.C. MYFON.PL S.C. Telekontakt24 Sp. z o.o. FreecoNet S.A. Inotel S.A. Mobyland Sp. z o.o. Tpsa Polkomtel S.A. Multimedia Polska - PoĹ‚udnie TELGAM geographic geographic geographic geographic geographic geographic geographic geographic geographic geographic geographic geographic geographic geographic geographic geographic geographic geographic geographic geographic geographic geographic geographic geographic geographic geographic geographic geographic geographic geographic geographic geographic geographic geographic geographic geographic geographic geographic geographic geographic geographic geographic 0,09 zł 0,09 zł 0,09 zł 0,09 zł 0,09 zł 0,09 zł 0,09 zł 0,09 zł 0,09 zł 0,08 zł 0,09 zł 0,09 zł 0,09 zł 0,09 zł 0,09 zł 0,09 zł 0,09 zł 0,09 zł 0,09 zł 0,09 zł 0,09 zł 0,09 zł 0,09 zł 0,09 zł 0,09 zł 0,09 zł 0,09 zł 0,09 zł 0,09 zł 0,09 zł 0,09 zł 0,09 zł 0,09 zł 0,09 zł 0,09 zł 0,09 zł 0,09 zł 0,09 zł 0,04 zł 0,09 zł 0,09 zł 0,09 zł 0,12 zł 0,12 zł 0,12 zł 0,12 zł 0,12 zł 0,12 zł 0,12 zł 0,12 zł 0,12 zł 0,10 zł 0,12 zł 0,12 zł 0,12 zł 0,12 zł 0,12 zł 0,12 zł 0,12 zł 0,12 zł 0,12 zł 0,12 zł 0,12 zł 0,12 zł 0,12 zł 0,12 zł 0,12 zł 0,12 zł 0,12 zł 0,12 zł 0,12 zł 0,12 zł 0,12 zł 0,12 zł 0,12 zł 0,12 zł 0,12 zł 0,12 zł 0,12 zł 0,12 zł 0,05 zł 0,12 zł 0,12 zł 0,12 zł 0,02 zł 0,02 zł 0,02 zł 0,02 zł 0,02 zł 0,02 zł 0,02 zł 0,02 zł 0,02 zł 0,02 zł 0,02 zł 0,02 zł 0,02 zł 0,02 zł 0,02 zł 0,02 zł 0,02 zł 0,02 zł 0,02 zł 0,02 zł 0,02 zł 0,02 zł 0,02 zł 0,02 zł 0,02 zł 0,02 zł 0,02 zł 0,02 zł 0,02 zł 0,02 zł 0,02 zł 0,02 zł 0,02 zł 0,02 zł 0,02 zł 0,02 zł 0,02 zł 0,02 zł 0,01 zł 0,02 zł 0,02 zł 0,02 zł Polska Polska Polska Polska Polska Polska Polska Polska Polska Polska Polska Polska Polska Polska Polska Polska Polska Polska Polska Polska Polska Polska Polska Polska Polska Polska Polska Polska Polska Polska Polska Polska Polska Polska Polska Polska Polska Polska Polska Polska Polska Polska Krosno Krosno Krosno Krosno Krosno Krosno Krosno Krosno Krosno Krosno Krosno Krosno Krosno Krosno Krosno Krosno Krosno Krosno Krosno Krosno Krosno Krosno Legnica Legnica Legnica Legnica Legnica Legnica Legnica Legnica Legnica Legnica Legnica Legnica Legnica Legnica Legnica Legnica Legnica Legnica Legnica Legnica EXATEL S.A. Vectra S.A. o2.pl Sp. z o.o. GTS Polska Sp. z o.o. Telefonia Dialog S.A. Gadu-Gadu S.A. NASK Stream Communications Sp. z o.o. PTK Centertel Sp. z o.o. PTC Sp. z o.o. Air Bites Polska Sp. z o.o. Peoplefone Polska S.A. Netia S.A. NORDISK Polska Sp. z o.o. Forweb S.C. GTS Energis Sp. z o.o. VARS Sp. z o.o. IQ Telecom Sp. z o.o. EASYCALL.PL Sp. z o.o. Nettelekom Sp. z o.o. Telekontakt24 Sp. z o.o. Telekomunikacja Kolejowa Sp. z o.o. Tpsa Polkomtel S.A. Telefonia Dialog S.A. GTS Polska Sp. z o.o. EXATEL S.A. Vectra S.A. PTC Sp. z o.o. GTS Energis Sp. z o.o. o2.pl Sp. z o.o. UPC Polska Sp. z o.o. Gadu-Gadu S.A. Master Sp. z o.o. EASYCALL.PL Sp. z o.o. PTK Centertel Sp. z o.o. Peoplefone Polska S.A. Netia S.A. VARS Sp. z o.o. Telekontakt24 Sp. z o.o. Inotel S.A. NASK geographic geographic geographic geographic geographic geographic geographic geographic geographic geographic geographic geographic geographic geographic geographic geographic geographic geographic geographic geographic geographic geographic geographic geographic geographic geographic geographic geographic geographic geographic geographic geographic geographic geographic geographic geographic geographic geographic geographic geographic geographic geographic 0,08 zł 0,09 zł 0,09 zł 0,07 zł 0,08 zł 0,09 zł 0,09 zł 0,09 zł 0,09 zł 0,09 zł 0,09 zł 0,09 zł 0,07 zł 0,09 zł 0,09 zł 0,07 zł 0,09 zł 0,09 zł 0,09 zł 0,09 zł 0,09 zł 0,07 zł 0,04 zł 0,09 zł 0,08 zł 0,07 zł 0,08 zł 0,09 zł 0,09 zł 0,07 zł 0,09 zł 0,09 zł 0,09 zł 0,09 zł 0,09 zł 0,09 zł 0,09 zł 0,07 zł 0,09 zł 0,09 zł 0,09 zł 0,09 zł 0,10 zł 0,12 zł 0,12 zł 0,09 zł 0,10 zł 0,12 zł 0,12 zł 0,12 zł 0,12 zł 0,12 zł 0,12 zł 0,12 zł 0,09 zł 0,12 zł 0,12 zł 0,09 zł 0,12 zł 0,12 zł 0,12 zł 0,12 zł 0,12 zł 0,09 zł 0,05 zł 0,12 zł 0,10 zł 0,09 zł 0,10 zł 0,12 zł 0,12 zł 0,09 zł 0,12 zł 0,12 zł 0,12 zł 0,12 zł 0,12 zł 0,12 zł 0,12 zł 0,09 zł 0,12 zł 0,12 zł 0,12 zł 0,12 zł 0,02 zł 0,02 zł 0,02 zł 0,02 zł 0,02 zł 0,02 zł 0,02 zł 0,02 zł 0,02 zł 0,02 zł 0,02 zł 0,02 zł 0,02 zł 0,02 zł 0,02 zł 0,02 zł 0,02 zł 0,02 zł 0,02 zł 0,02 zł 0,02 zł 0,02 zł 0,01 zł 0,02 zł 0,02 zł 0,02 zł 0,02 zł 0,02 zł 0,02 zł 0,02 zł 0,02 zł 0,02 zł 0,02 zł 0,02 zł 0,02 zł 0,02 zł 0,02 zł 0,02 zł 0,02 zł 0,02 zł 0,02 zł 0,02 zł Polska Polska Polska Polska Polska Polska Polska Polska Polska Polska Polska Polska Polska Polska Polska Polska Polska Polska Polska Polska Polska Polska Polska Polska Polska Polska Polska Polska Polska Polska Polska Polska Polska Polska Polska Polska Polska Polska Polska Polska Polska Polska Legnica Legnica Leszno Leszno Leszno Leszno Leszno Leszno Leszno Leszno Leszno Leszno Leszno Leszno Leszno Leszno Leszno Leszno Leszno Leszno Leszno Leszno Leszno Leszno Leszno Lublin Lublin Lublin Lublin Lublin Lublin Lublin Lublin Lublin Lublin Lublin Lublin Lublin Lublin Lublin Lublin Lublin IQ Telecom Sp. z o.o. Telekomunikacja Kolejowa Sp. z o.o. Tpsa Polkomtel S.A. Multimedia Polska - PoĹ‚udnie S.A. EXATEL S.A. GTS Energis Sp. z o.o. o2.pl Sp. z o.o. GTS Polska Sp. z o.o. Concept-T Sp. z o.o. PTK Centertel Sp. z o.o. PTC Sp. z o.o. Peoplefone Polska S.A. Netia S.A. NORDISK Polska Sp. z o.o. Telekomunikacja Kolejowa Sp. z o.o. EasyCall.Pl Sp. z o.o. VARS Sp. z o.o. DĹ‚ugie Rozmowy S.A. ZIGZAG Sp. z o.o. UPC Polska Sp. z o.o. Crowley Data Poland Sp. z o.o. Telekontakt24 Sp. z o.o. NASK IQ Telecom Sp. z o.o. Tpsa Polkomtel S.A. Netia S.A. Elterix GTS Polska Sp. z o.o. Telekomunikacja Kolejowa Sp. z o.o. EXATEL S.A. GTS Energis Sp. z o.o. NOM o2.pl Sp. z o.o. Multimedia Polska S.A. E-Telko Sp. z o.o. EASYCALL.PL Sp. z o.o. Telefonia Dialog S.A. Europejska Telefonia Cyfrowa Sp. z o.o. Gadu-Gadu S.A. PTC Sp. z o.o. geographic geographic geographic geographic geographic geographic geographic geographic geographic geographic geographic geographic geographic geographic geographic geographic geographic geographic geographic geographic geographic geographic geographic geographic geographic geographic geographic geographic geographic geographic geographic geographic geographic geographic geographic geographic geographic geographic geographic geographic geographic geographic 0,09 zł 0,07 zł 0,04 zł 0,09 zł 0,09 zł 0,08 zł 0,07 zł 0,09 zł 0,07 zł 0,09 zł 0,09 zł 0,09 zł 0,09 zł 0,07 zł 0,09 zł 0,07 zł 0,09 zł 0,09 zł 0,09 zł 0,09 zł 0,09 zł 0,09 zł 0,09 zł 0,09 zł 0,09 zł 0,04 zł 0,09 zł 0,07 zł 0,09 zł 0,07 zł 0,07 zł 0,08 zł 0,07 zł 0,09 zł 0,09 zł 0,09 zł 0,09 zł 0,09 zł 0,08 zł 0,09 zł 0,09 zł 0,09 zł 0,12 zł 0,09 zł 0,05 zł 0,12 zł 0,12 zł 0,10 zł 0,09 zł 0,12 zł 0,09 zł 0,12 zł 0,12 zł 0,12 zł 0,12 zł 0,09 zł 0,12 zł 0,09 zł 0,12 zł 0,12 zł 0,12 zł 0,12 zł 0,12 zł 0,12 zł 0,12 zł 0,12 zł 0,12 zł 0,05 zł 0,12 zł 0,09 zł 0,12 zł 0,09 zł 0,09 zł 0,10 zł 0,09 zł 0,12 zł 0,12 zł 0,12 zł 0,12 zł 0,12 zł 0,10 zł 0,12 zł 0,12 zł 0,12 zł 0,02 zł 0,02 zł 0,01 zł 0,02 zł 0,02 zł 0,02 zł 0,02 zł 0,02 zł 0,02 zł 0,02 zł 0,02 zł 0,02 zł 0,02 zł 0,02 zł 0,02 zł 0,02 zł 0,02 zł 0,02 zł 0,02 zł 0,02 zł 0,02 zł 0,02 zł 0,02 zł 0,02 zł 0,02 zł 0,01 zł 0,02 zł 0,02 zł 0,02 zł 0,02 zł 0,02 zł 0,02 zł 0,02 zł 0,02 zł 0,02 zł 0,02 zł 0,02 zł 0,02 zł 0,02 zł 0,02 zł 0,02 zł 0,02 zł Polska Polska Polska Polska Polska Polska Polska Polska Polska Polska Polska Polska Polska Polska Polska Polska Polska Polska Polska Polska Polska Polska Polska Polska Polska Polska Polska Polska Polska Polska Polska Polska Polska Polska Polska Polska Polska Polska Polska Polska Polska Polska Lublin Lublin Lublin Lublin Lublin Lublin Lublin Lublin Lublin Lublin Lublin Lublin Lublin Lublin Lublin Lublin Lublin Lublin Lublin Lublin Lublin Lublin ĹomĹĽa ĹomĹĽa ĹomĹĽa ĹomĹĽa ĹomĹĽa ĹomĹĽa ĹomĹĽa ĹomĹĽa ĹomĹĽa ĹomĹĽa ĹomĹĽa ĹomĹĽa ĹomĹĽa ĹomĹĽa ĹomĹĽa ĹomĹĽa ĹomĹĽa ĹomĹĽa ĹomĹĽa ĹomĹĽa Z.A. PuĹ‚awy S.A. UPC Polska Sp. z o.o. Crowley Data Poland Sp. z o.o. PuĹ‚awska Spółdzielnia Mieszkaniowa PTK Centertel Sp. z o.o. Hyperion S.A. Peoplefone Polska S.A. LUBMAN UMCS Sp. z o.o. Intelligent Technologies S.A. IPTELL Sp. z o.o. NORDISK Polska Sp. z o.o. MTI Mobilna Telefonia Internetowa Sp. z o.o. Telewizja Kablowa Ĺšwidnik Sp. z o.o. TARTEL Sp. z o.o. VARS Sp. z o.o. DĹ‚ugie Rozmowy S.A. NPLAY Sp. z o.o. IQ Telecom Sp. z o.o. Telekontakt24 Sp. z o.o. Mobyland Sp. z o.o. NASK LedEnergy.pl Filip Nowicki Tpsa Polkomtel S.A. MNI Telecom S.A. o2.pl Sp. z o.o. EXATEL S.A. Vectra S.A. Tel. Kablowa DIPOL Sp. z o.o. PTK Centertel Sp. z o.o. PTC Sp. z o.o. GST Internet Sp. z o.o. Multimedia Polska S.A. JARSAT S.C. Peoplefone Polska S.A. Netia S.A. IST S.C. NORDISK Polska Sp. z o.o. GTS Energis Sp. z o.o. VARS Sp. z o.o. EASYCALL.PL Sp. z o.o. Telekontakt24 Sp. z o.o. geographic geographic geographic geographic geographic geographic geographic geographic geographic geographic geographic geographic geographic geographic geographic geographic geographic geographic geographic geographic geographic geographic geographic geographic geographic geographic geographic geographic geographic geographic geographic geographic geographic geographic geographic geographic geographic geographic geographic geographic geographic geographic 0,09 zł 0,09 zł 0,09 zł 0,09 zł 0,09 zł 0,09 zł 0,09 zł 0,09 zł 0,09 zł 0,09 zł 0,09 zł 0,09 zł 0,09 zł 0,09 zł 0,09 zł 0,09 zł 0,09 zł 0,09 zł 0,09 zł 0,09 zł 0,09 zł 0,09 zł 0,04 zł 0,09 zł 0,09 zł 0,09 zł 0,08 zł 0,09 zł 0,09 zł 0,09 zł 0,09 zł 0,09 zł 0,09 zł 0,09 zł 0,09 zł 0,07 zł 0,09 zł 0,09 zł 0,07 zł 0,09 zł 0,09 zł 0,09 zł 0,12 zł 0,12 zł 0,12 zł 0,12 zł 0,12 zł 0,12 zł 0,12 zł 0,12 zł 0,12 zł 0,12 zł 0,12 zł 0,12 zł 0,12 zł 0,12 zł 0,12 zł 0,12 zł 0,12 zł 0,12 zł 0,12 zł 0,12 zł 0,12 zł 0,12 zł 0,05 zł 0,12 zł 0,12 zł 0,12 zł 0,10 zł 0,12 zł 0,12 zł 0,12 zł 0,12 zł 0,12 zł 0,12 zł 0,12 zł 0,12 zł 0,09 zł 0,12 zł 0,12 zł 0,09 zł 0,12 zł 0,12 zł 0,12 zł 0,02 zł 0,02 zł 0,02 zł 0,02 zł 0,02 zł 0,02 zł 0,02 zł 0,02 zł 0,02 zł 0,02 zł 0,02 zł 0,02 zł 0,02 zł 0,02 zł 0,02 zł 0,02 zł 0,02 zł 0,02 zł 0,02 zł 0,02 zł 0,02 zł 0,02 zł 0,01 zł 0,02 zł 0,02 zł 0,02 zł 0,02 zł 0,02 zł 0,02 zł 0,02 zł 0,02 zł 0,02 zł 0,02 zł 0,02 zł 0,02 zł 0,02 zł 0,02 zł 0,02 zł 0,02 zł 0,02 zł 0,02 zł 0,02 zł Polska Polska Polska Polska Polska Polska Polska Polska Polska Polska Polska Polska Polska Polska Polska Polska Polska Polska Polska Polska Polska Polska Polska Polska Polska Polska Polska Polska Polska Polska Polska Polska Polska Polska Polska Polska Polska Polska Polska Polska Polska Polska ĹomĹĽa ĹomĹĽa ĹomĹĽa ĹomĹĽa ĹĂłdĹş ĹĂłdĹş ĹĂłdĹş ĹĂłdĹş ĹĂłdĹş ĹĂłdĹş ĹĂłdĹş ĹĂłdĹş ĹĂłdĹş ĹĂłdĹş ĹĂłdĹş ĹĂłdĹş ĹĂłdĹş ĹĂłdĹş ĹĂłdĹş ĹĂłdĹş ĹĂłdĹş ĹĂłdĹş ĹĂłdĹş ĹĂłdĹş ĹĂłdĹş ĹĂłdĹş ĹĂłdĹş ĹĂłdĹş ĹĂłdĹş ĹĂłdĹş ĹĂłdĹş ĹĂłdĹş ĹĂłdĹş ĹĂłdĹş ĹĂłdĹş ĹĂłdĹş ĹĂłdĹş ĹĂłdĹş ĹĂłdĹş ĹĂłdĹş ĹĂłdĹş ĹĂłdĹş Inotel S.A. NASK IQ Telecom Sp. z o.o. Telekomunikacja Kolejowa Sp. z o.o. Tpsa Polkomtel S.A. Telefonia Dialog S.A. MNI Telecom S.A. Multimedia Polska - PoĹ‚udnie S.A. GTS Polska Sp. z o.o. Netia S.A. GTS Energis Sp. z o.o. UPC Polska Sp. z o.o. Multimedia Polska S.A. Profiline Sp. z o.o. Telekomunikacja Kolejowa Sp. z o.o. EXATEL S.A. SFERIA S.A. o2.pl Sp. z o.o. NOM Elterix S.A. E-Telko Sp. z o.o. EASYCALL.PL Sp. z o.o. CETO Sp. z o.o. Crowley Data Poland Sp. z o.o. Gadu-Gadu S.A. PTC Sp. z o.o. NASK Forweb S.C. Globitel Sp. z o.o. PTK Centertel Sp. z o.o. GST Internet Sp. z o.o. Hyperion S.A. Peoplefone Polska S.A. Intelligent Technologies S.A. IPTELL Sp. z o.o. INSITE Sp. z o.o. NORDISK Polska Sp. z o.o. MTI Mobilna Telefonia Internetowa Sp. z o.o. GRS Sp. z o.o. TARTEL Sp. z o.o. TOYA Sp. z o.o. geographic geographic geographic geographic geographic geographic geographic geographic geographic geographic geographic geographic geographic geographic geographic geographic geographic geographic geographic geographic geographic geographic geographic geographic geographic geographic geographic geographic geographic geographic geographic geographic geographic geographic geographic geographic geographic geographic geographic geographic geographic geographic 0,09 zł 0,09 zł 0,09 zł 0,07 zł 0,04 zł 0,09 zł 0,08 zł 0,09 zł 0,09 zł 0,07 zł 0,07 zł 0,07 zł 0,09 zł 0,09 zł 0,09 zł 0,07 zł 0,08 zł 0,09 zł 0,09 zł 0,09 zł 0,09 zł 0,09 zł 0,09 zł 0,09 zł 0,09 zł 0,09 zł 0,09 zł 0,09 zł 0,09 zł 0,09 zł 0,09 zł 0,09 zł 0,09 zł 0,09 zł 0,09 zł 0,09 zł 0,09 zł 0,09 zł 0,09 zł 0,09 zł 0,09 zł 0,09 zł 0,12 zł 0,12 zł 0,12 zł 0,09 zł 0,05 zł 0,12 zł 0,10 zł 0,12 zł 0,12 zł 0,09 zł 0,09 zł 0,09 zł 0,12 zł 0,12 zł 0,12 zł 0,09 zł 0,10 zł 0,12 zł 0,12 zł 0,12 zł 0,12 zł 0,12 zł 0,12 zł 0,12 zł 0,12 zł 0,12 zł 0,12 zł 0,12 zł 0,12 zł 0,12 zł 0,12 zł 0,12 zł 0,12 zł 0,12 zł 0,12 zł 0,12 zł 0,12 zł 0,12 zł 0,12 zł 0,12 zł 0,12 zł 0,12 zł 0,02 zł 0,02 zł 0,02 zł 0,02 zł 0,01 zł 0,02 zł 0,02 zł 0,02 zł 0,02 zł 0,02 zł 0,02 zł 0,02 zł 0,02 zł 0,02 zł 0,02 zł 0,02 zł 0,02 zł 0,02 zł 0,02 zł 0,02 zł 0,02 zł 0,02 zł 0,02 zł 0,02 zł 0,02 zł 0,02 zł 0,02 zł 0,02 zł 0,02 zł 0,02 zł 0,02 zł 0,02 zł 0,02 zł 0,02 zł 0,02 zł 0,02 zł 0,02 zł 0,02 zł 0,02 zł 0,02 zł 0,02 zł 0,02 zł Polska Polska Polska Polska Polska Polska Polska Polska Polska Polska Polska Polska Polska Polska Polska Polska Polska Polska Polska Polska Polska Polska Polska Polska Polska Polska Polska Polska Polska Polska Polska Polska Polska Polska Polska Polska Polska Polska Polska Polska Polska Polska ĹĂłdĹş ĹĂłdĹş ĹĂłdĹş ĹĂłdĹş ĹĂłdĹş ĹĂłdĹş ĹĂłdĹş ĹĂłdĹş Nowy SÄ…cz Nowy SÄ…cz Nowy SÄ…cz Nowy SÄ…cz Nowy SÄ…cz Nowy SÄ…cz Nowy SÄ…cz Nowy SÄ…cz Nowy SÄ…cz Nowy SÄ…cz Nowy SÄ…cz Nowy SÄ…cz Nowy SÄ…cz Nowy SÄ…cz Nowy SÄ…cz Nowy SÄ…cz Nowy SÄ…cz Nowy SÄ…cz Nowy SÄ…cz Nowy SÄ…cz Nowy SÄ…cz Nowy SÄ…cz Nowy SÄ…cz Nowy SÄ…cz Nowy SÄ…cz Olsztyn Olsztyn Olsztyn Olsztyn Olsztyn Olsztyn Olsztyn Olsztyn Olsztyn VARS Sp. z o.o. IQ Telecom Sp. z o.o. MediaTel 4B Sp. z o.o. Enter Net Plus Sp. z o.o. Telekontakt24 Sp. z o.o. Mobyland Sp. z o.o. DEREK.NET.PL Tomasz Ĺšwiderek LedEnergy.pl Filip Nowicki Tpsa Polkomtel S.A. Telbeskid EXATEL S.A. Regionalna TVK L. IwaĹ„ski GTS Energis Sp. z o.o. o2.pl Sp. z o.o. GTS Polska Sp. z o.o. Telefonia Dialog S.A. Gadu-Gadu S.A. TK INSAT S.C. Concept-T Sp. z o.o. PTC Sp. z o.o. PTK Centertel Sp. z o.o. GST Internet Sp. z o.o. Netia S.A. Peoplefone Polska S.A. NORDISK Polska Sp. z o.o. VARS Sp. z o.o. DĹ‚ugie Rozmowy S.A. EASYCALL.PL Sp. z o.o. IQ Telecom Sp. z o.o. Telekontakt24 Sp. z o.o. NASK Telekomunikacja Kolejowa Sp. z o.o. Tpsa Polkomtel S.A. Netia S.A. Telekomunikacja Kolejowa Sp. z o.o. Vectra S.A. EXATEL S.A. GTS Energis Sp. z o.o. GTS Polska Sp. z o.o. NOM geographic geographic geographic geographic geographic geographic geographic geographic geographic geographic geographic geographic geographic geographic geographic geographic geographic geographic geographic geographic geographic geographic geographic geographic geographic geographic geographic geographic geographic geographic geographic geographic geographic geographic geographic geographic geographic geographic geographic geographic geographic geographic 0,09 zł - zł - zł 0,09 zł 0,09 zł 0,09 zł 0,09 zł 0,09 zł 0,04 zł 0,09 zł 0,09 zł 0,08 zł 0,09 zł 0,07 zł 0,09 zł 0,07 zł 0,08 zł 0,09 zł 0,09 zł 0,09 zł 0,09 zł 0,09 zł 0,09 zł 0,07 zł 0,09 zł 0,09 zł 0,09 zł 0,09 zł 0,09 zł 0,09 zł 0,09 zł 0,09 zł 0,07 zł 0,04 zł 0,09 zł 0,07 zł 0,07 zł 0,09 zł 0,08 zł 0,07 zł 0,07 zł 0,09 zł 0,12 zł - zł - zł 0,12 zł 0,12 zł 0,12 zł 0,12 zł 0,12 zł 0,05 zł 0,12 zł 0,12 zł 0,10 zł 0,12 zł 0,09 zł 0,12 zł 0,09 zł 0,10 zł 0,12 zł 0,12 zł 0,12 zł 0,12 zł 0,12 zł 0,12 zł 0,09 zł 0,12 zł 0,12 zł 0,12 zł 0,12 zł 0,12 zł 0,12 zł 0,12 zł 0,12 zł 0,09 zł 0,05 zł 0,12 zł 0,09 zł 0,09 zł 0,12 zł 0,10 zł 0,09 zł 0,09 zł 0,12 zł 0,02 zł - zł - zł 0,02 zł 0,02 zł 0,02 zł 0,02 zł 0,02 zł 0,01 zł 0,02 zł 0,02 zł 0,02 zł 0,02 zł 0,02 zł 0,02 zł 0,02 zł 0,02 zł 0,02 zł 0,02 zł 0,02 zł 0,02 zł 0,02 zł 0,02 zł 0,02 zł 0,02 zł 0,02 zł 0,02 zł 0,02 zł 0,02 zł 0,02 zł 0,02 zł 0,02 zł 0,02 zł 0,01 zł 0,02 zł 0,02 zł 0,02 zł 0,02 zł 0,02 zł 0,02 zł 0,02 zł 0,02 zł Polska Polska Polska Polska Polska Polska Polska Polska Polska Polska Polska Polska Polska Polska Polska Polska Polska Polska Polska Polska Polska Polska Polska Polska Polska Polska Polska Polska Polska Polska Polska Polska Polska Polska Polska Polska Polska Polska Polska Polska Polska Polska Olsztyn Olsztyn Olsztyn Olsztyn Olsztyn Olsztyn Olsztyn Olsztyn Olsztyn Olsztyn Olsztyn Olsztyn Olsztyn Olsztyn Olsztyn Olsztyn Olsztyn Olsztyn Olsztyn Olsztyn Olsztyn Opole Opole Opole Opole Opole Opole Opole Opole Opole Opole Opole Opole Opole Opole Opole Opole Opole Opole Opole Opole Opole o2.pl Sp. z o.o. Multimedia Polska S.A. E-Telko Sp. z o.o. EASYCALL.PL Sp. z o.o. Telefonia Dialog S.A. Gadu-Gadu S.A. PTC Sp. z o.o. Sieć LoVo NASK PTK Centertel Sp. z o.o. Peoplefone Polska S.A. GST Internet Sp. z o.o. Intelligent Technologies S.A. IPTELL Sp. z o.o. MetroPlay TGI Sp. z o.o. NORDISK Polska Sp. z o.o. MTI Mobilna Telefonia Internetowa Sp. z o.o. Crowley Data Poland Sp. z o.o. VARS Sp. z o.o. Inotel S.A. IQ Telecom Sp. z o.o. Tpsa Polkomtel S.A. Netia S.A. GTS Polska Sp. z o.o. PTC Sp. z o.o. EXATEL S.A. NOM GTS Energis Sp. z o.o. NASK Telekontakt24 Sp. z o.o. o2.pl Sp. z o.o. UPC Polska Sp. z o.o. Telefonia Dialog S.A. Gadu-Gadu S.A. VECTRA S.A. PTK Centertel Sp. z o.o. City-Sat Gordzielik Sp. z o.o. Air Bites Polska Sp. z o.o. Hyperion S.A. Telekomunikacja Kolejowa Sp. z o.o. Peoplefone Polska S.A. geographic geographic geographic geographic geographic geographic geographic geographic geographic geographic geographic geographic geographic geographic geographic geographic geographic geographic geographic geographic geographic geographic geographic geographic geographic geographic geographic geographic geographic geographic geographic geographic geographic geographic geographic geographic geographic geographic geographic geographic geographic geographic 0,09 zł 0,09 zł 0,09 zł 0,09 zł 0,08 zł 0,09 zł 0,09 zł 0,09 zł 0,09 zł 0,09 zł 0,09 zł 0,09 zł 0,09 zł 0,09 zł 0,09 zł 0,09 zł 0,09 zł 0,09 zł 0,09 zł 0,09 zł 0,09 zł 0,04 zł 0,09 zł 0,07 zł 0,07 zł 0,09 zł 0,08 zł 0,09 zł 0,07 zł 0,09 zł 0,09 zł 0,09 zł 0,09 zł 0,08 zł 0,09 zł 0,09 zł 0,09 zł 0,09 zł 0,09 zł 0,09 zł 0,07 zł 0,09 zł 0,12 zł 0,12 zł 0,12 zł 0,12 zł 0,10 zł 0,12 zł 0,12 zł 0,12 zł 0,12 zł 0,12 zł 0,12 zł 0,12 zł 0,12 zł 0,12 zł 0,12 zł 0,12 zł 0,12 zł 0,12 zł 0,12 zł 0,12 zł 0,12 zł 0,05 zł 0,12 zł 0,09 zł 0,09 zł 0,12 zł 0,10 zł 0,12 zł 0,09 zł 0,12 zł 0,12 zł 0,12 zł 0,12 zł 0,10 zł 0,12 zł 0,12 zł 0,12 zł 0,12 zł 0,12 zł 0,12 zł 0,09 zł 0,12 zł 0,02 zł 0,02 zł 0,02 zł 0,02 zł 0,02 zł 0,02 zł 0,02 zł 0,02 zł 0,02 zł 0,02 zł 0,02 zł 0,02 zł 0,02 zł 0,02 zł 0,02 zł 0,02 zł 0,02 zł 0,02 zł 0,02 zł 0,02 zł 0,02 zł 0,01 zł 0,02 zł 0,02 zł 0,02 zł 0,02 zł 0,02 zł 0,02 zł 0,02 zł 0,02 zł 0,02 zł 0,02 zł 0,02 zł 0,02 zł 0,02 zł 0,02 zł 0,02 zł 0,02 zł 0,02 zł 0,02 zł 0,02 zł 0,02 zł Polska Polska Polska Polska Polska Polska Polska Polska Polska Polska Polska Polska Polska Polska Polska Polska Polska Polska Polska Polska Polska Polska Polska Polska Polska Polska Polska Polska Polska Polska Polska Polska Polska Polska Polska Polska Polska Polska Polska Polska Polska Polska Opole Opole Opole Opole Opole Opole Opole Opole Opole Opole Ostrołęka Ostrołęka Ostrołęka Ostrołęka Ostrołęka Ostrołęka Ostrołęka Ostrołęka Ostrołęka Ostrołęka Ostrołęka Ostrołęka Ostrołęka Ostrołęka Ostrołęka Ostrołęka Ostrołęka Ostrołęka Ostrołęka Ostrołęka Ostrołęka Ostrołęka Ostrołęka Ostrołęka Ostrołęka PiĹ‚a PiĹ‚a PiĹ‚a PiĹ‚a PiĹ‚a PiĹ‚a PiĹ‚a EasyCall.PL Sp. z o.o. AZART-SAT P.U.H. NORDISK Polska Sp. z o.o. TimPlus S.C. TARTEL Sp. z o.o. ZPHU VIDEO-SAT R. Zawilski Crowley Data Poland Sp. z o.o. VARS Sp. z o.o. IQ Telecom Sp. z o.o. Stream Telecommunications Sp. z o.o. Tpsa Polkomtel S.A. Multimedia Polska - PoĹ‚udnie S.A. EXATEL S.A. NOM SFERIA S.A. Multimedia Polska S.A. o2.pl Sp. z o.o. GTS Polska Sp. z o.o. GTS Energis Sp. z o.o. Telefonia Dialog S.A. Gadu-Gadu S.A. Telekontakt24 Sp. z o.o. PTK Centertel Sp. z o.o. PTC Sp. z o.o. GST Internet Sp. z o.o. Peoplefone Polska S.A. Netia S.A. NORDISK Polska Sp. z o.o. KOMPUTER-TECH K. SiegieĹ„ VARS Sp. z o.o. EASYCALL.PL Sp. z o.o. NASK IQ Telecom Sp. z o.o. Telekomunikacja Kolejowa Sp. z o.o. Tpsa Polkomtel S.A. Netia S.A. EXATEL S.A. GTS Polska Sp. z o.o. GTS Energis Sp. z o.o. o2.pl Sp. z o.o. geographic geographic geographic geographic geographic geographic geographic geographic geographic geographic geographic geographic geographic geographic geographic geographic geographic geographic geographic geographic geographic geographic geographic geographic geographic geographic geographic geographic geographic geographic geographic geographic geographic geographic geographic geographic geographic geographic geographic geographic geographic geographic 0,09 zł 0,09 zł 0,09 zł 0,09 zł 0,09 zł 0,09 zł 0,09 zł 0,09 zł 0,09 zł 0,09 zł 0,04 zł 0,09 zł 0,09 zł 0,08 zł 0,09 zł 0,09 zł 0,09 zł 0,09 zł 0,07 zł 0,07 zł 0,08 zł 0,09 zł 0,09 zł 0,09 zł 0,09 zł 0,09 zł 0,09 zł 0,07 zł 0,09 zł 0,09 zł 0,09 zł 0,09 zł 0,09 zł 0,09 zł 0,07 zł 0,04 zł 0,09 zł 0,07 zł 0,08 zł 0,07 zł 0,07 zł 0,09 zł 0,12 zł 0,12 zł 0,12 zł 0,12 zł 0,12 zł 0,12 zł 0,12 zł 0,12 zł 0,12 zł 0,12 zł 0,05 zł 0,12 zł 0,12 zł 0,10 zł 0,12 zł 0,12 zł 0,12 zł 0,12 zł 0,09 zł 0,09 zł 0,10 zł 0,12 zł 0,12 zł 0,12 zł 0,12 zł 0,12 zł 0,12 zł 0,09 zł 0,12 zł 0,12 zł 0,12 zł 0,12 zł 0,12 zł 0,12 zł 0,09 zł 0,05 zł 0,12 zł 0,09 zł 0,10 zł 0,09 zł 0,09 zł 0,12 zł 0,02 zł 0,02 zł 0,02 zł 0,02 zł 0,02 zł 0,02 zł 0,02 zł 0,02 zł 0,02 zł 0,02 zł 0,01 zł 0,02 zł 0,02 zł 0,02 zł 0,02 zł 0,02 zł 0,02 zł 0,02 zł 0,02 zł 0,02 zł 0,02 zł 0,02 zł 0,02 zł 0,02 zł 0,02 zł 0,02 zł 0,02 zł 0,02 zł 0,02 zł 0,02 zł 0,02 zł 0,02 zł 0,02 zł 0,02 zł 0,02 zł 0,01 zł 0,02 zł 0,02 zł 0,02 zł 0,02 zł 0,02 zł 0,02 zł Polska Polska Polska Polska Polska Polska Polska Polska Polska Polska Polska Polska Polska Polska Polska Polska Polska Polska Polska Polska Polska Polska Polska Polska Polska Polska Polska Polska Polska Polska Polska Polska Polska Polska Polska Polska Polska Polska Polska Polska Polska Polska PiĹ‚a PiĹ‚a PiĹ‚a PiĹ‚a PiĹ‚a PiĹ‚a PiĹ‚a PiĹ‚a PiĹ‚a PiĹ‚a PiĹ‚a PiĹ‚a PiĹ‚a PiĹ‚a PiĹ‚a PiĹ‚a PiĹ‚a PiotrkĂłw Trybunalski PiotrkĂłw Trybunalski PiotrkĂłw Trybunalski PiotrkĂłw Trybunalski PiotrkĂłw Trybunalski PiotrkĂłw Trybunalski PiotrkĂłw Trybunalski PiotrkĂłw Trybunalski PiotrkĂłw Trybunalski PiotrkĂłw Trybunalski PiotrkĂłw Trybunalski PiotrkĂłw Trybunalski PiotrkĂłw Trybunalski PiotrkĂłw Trybunalski PiotrkĂłw Trybunalski PiotrkĂłw Trybunalski PiotrkĂłw Trybunalski PiotrkĂłw Trybunalski PiotrkĂłw Trybunalski PiotrkĂłw Trybunalski PiotrkĂłw Trybunalski PiotrkĂłw Trybunalski PiotrkĂłw Trybunalski PiotrkĂłw Trybunalski PiotrkĂłw Trybunalski Vectra S.A. Telefonia Dialog S.A. Gadu-Gadu S.A. ASTA-NET PTK Centertel Sp. z o.o. PTC Sp. z o.o. GST Internet Sp. z o.o. Peoplefone Polska S.A. NORDISK Polska Sp. z o.o. VARS Sp. z o.o. DĹ‚ugie Rozmowy S.A. EASYCALL.PL Sp. z o.o. Enter Net Plus Sp. z o.o. Telekontakt24 Sp. z o.o. NASK IQ Telecom Sp. z o.o. Telekomunikacja Kolejowa Sp. z o.o. Tpsa Polkomtel S.A. MNI Telecom S.A. ARREKS KWB BeĹ‚chatĂłw Multimedia Polska S.A. GTS Polska Sp. z o.o. EXATEL S.A. Vectra S.A. o2.pl Sp. z o.o. UPC Polska Sp. z o.o. Telefonia Dialog S.A. Gadu-Gadu S.A. Profiline Sp. z o.o. Forweb S.C. PTK Centertel Sp. z o.o. PTC Sp. z o.o. GST Internet Sp. z o.o. Netia S.A. Hyperion S.A. Peoplefone Polska S.A. DOLSAT Sp. z o.o. NORDISK Polska Sp. z o.o. TOYA Sp. z o.o. GTS Energis Sp. z o.o. geographic geographic geographic geographic geographic geographic geographic geographic geographic geographic geographic geographic geographic geographic geographic geographic geographic geographic geographic geographic geographic geographic geographic geographic geographic geographic geographic geographic geographic geographic geographic geographic geographic geographic geographic geographic geographic geographic geographic geographic geographic geographic 0,09 zł 0,08 zł 0,09 zł 0,09 zł 0,09 zł 0,09 zł 0,09 zł 0,09 zł 0,09 zł 0,09 zł 0,09 zł 0,09 zł 0,09 zł 0,09 zł 0,09 zł 0,09 zł 0,07 zł 0,04 zł 0,09 zł 0,09 zł 0,09 zł 0,09 zł 0,09 zł 0,07 zł 0,08 zł 0,09 zł 0,09 zł 0,09 zł 0,08 zł 0,09 zł 0,09 zł 0,09 zł 0,09 zł 0,09 zł 0,09 zł 0,07 zł 0,09 zł 0,09 zł 0,09 zł 0,09 zł 0,09 zł 0,07 zł 0,12 zł 0,10 zł 0,12 zł 0,12 zł 0,12 zł 0,12 zł 0,12 zł 0,12 zł 0,12 zł 0,12 zł 0,12 zł 0,12 zł 0,12 zł 0,12 zł 0,12 zł 0,12 zł 0,09 zł 0,05 zł 0,12 zł 0,12 zł 0,12 zł 0,12 zł 0,12 zł 0,09 zł 0,10 zł 0,12 zł 0,12 zł 0,12 zł 0,10 zł 0,12 zł 0,12 zł 0,12 zł 0,12 zł 0,12 zł 0,12 zł 0,09 zł 0,12 zł 0,12 zł 0,12 zł 0,12 zł 0,12 zł 0,09 zł 0,02 zł 0,02 zł 0,02 zł 0,02 zł 0,02 zł 0,02 zł 0,02 zł 0,02 zł 0,02 zł 0,02 zł 0,02 zł 0,02 zł 0,02 zł 0,02 zł 0,02 zł 0,02 zł 0,02 zł 0,01 zł 0,02 zł 0,02 zł 0,02 zł 0,02 zł 0,02 zł 0,02 zł 0,02 zł 0,02 zł 0,02 zł 0,02 zł 0,02 zł 0,02 zł 0,02 zł 0,02 zł 0,02 zł 0,02 zł 0,02 zł 0,02 zł 0,02 zł 0,02 zł 0,02 zł 0,02 zł 0,02 zł 0,02 zł Polska Polska Polska Polska Polska Polska Polska Polska Polska Polska Polska Polska Polska Polska Polska Polska Polska Polska Polska Polska Polska Polska Polska Polska Polska Polska Polska Polska Polska Polska Polska Polska Polska Polska Polska Polska Polska Polska Polska Polska Polska Polska PiotrkĂłw Trybunalski PiotrkĂłw Trybunalski PiotrkĂłw Trybunalski PiotrkĂłw Trybunalski PiotrkĂłw Trybunalski PiotrkĂłw Trybunalski PiotrkĂłw Trybunalski PiotrkĂłw Trybunalski PĹ‚ock PĹ‚ock PĹ‚ock PĹ‚ock PĹ‚ock PĹ‚ock PĹ‚ock PĹ‚ock PĹ‚ock PĹ‚ock PĹ‚ock PĹ‚ock PĹ‚ock PĹ‚ock PĹ‚ock PĹ‚ock PĹ‚ock PĹ‚ock PĹ‚ock PĹ‚ock PĹ‚ock PĹ‚ock PĹ‚ock PĹ‚ock PĹ‚ock PĹ‚ock PoznaĹ„ PoznaĹ„ PoznaĹ„ PoznaĹ„ PoznaĹ„ PoznaĹ„ PoznaĹ„ PoznaĹ„ VARS Sp. z o.o. EASYCALL.PL Sp. z o.o. Telekontakt24 Sp. z o.o. @ALFANET M. MaĹ‚olepszy NASK DEREK.NET.PL Tomasz Ĺšwiderek IQ Telecom Sp. z o.o. Telekomunikacja Kolejowa Sp. z o.o. Tpsa Polkomtel S.A. Petrotel Sp. z o.o. Multimedia Polska S.A. GTS Polska Sp. z o.o. EXATEL S.A. Crowley Data Poland Sp. z o.o. o2.pl Sp. z o.o. Telefonia Dialog S.A. Gadu-Gadu S.A. NASK PTC Sp. z o.o. Vectra S.A. PTK Centertel Sp. z o.o. Netia S.A. Hyperion S.A. Telekomunikacja Kolejowa Sp. z o.o. Peoplefone Polska S.A. NORDISK Polska Sp. z o.o. EasyCall.Pl Sp. z o.o. TOYA Sp. z o.o. GTS Energis Sp. z o.o. VARS Sp. z o.o. VECTRA S.A. Telekontakt24 Sp. z o.o. IQ Telecom Sp. z o.o. Tpsa Polkomtel S.A. Netia S.A. Telefony Opalenickie GTS Polska Sp. z o.o. GTS Energis Sp. z o.o. Telekontakt24 Sp. z o.o. Telekomunikacja Kolejowa Sp. z o.o. geographic geographic geographic geographic geographic geographic geographic geographic geographic geographic geographic geographic geographic geographic geographic geographic geographic geographic geographic geographic geographic geographic geographic geographic geographic geographic geographic geographic geographic geographic geographic geographic geographic geographic geographic geographic geographic geographic geographic geographic geographic geographic 0,09 zł 0,09 zł 0,09 zł 0,09 zł 0,09 zł 0,09 zł 0,09 zł 0,07 zł 0,04 zł 0,09 zł 0,09 zł 0,09 zł 0,07 zł 0,08 zł 0,09 zł 0,09 zł 0,08 zł 0,09 zł 0,09 zł 0,09 zł 0,09 zł 0,09 zł 0,07 zł 0,09 zł 0,07 zł 0,09 zł 0,09 zł 0,09 zł 0,09 zł 0,07 zł 0,09 zł 0,09 zł 0,09 zł 0,09 zł 0,04 zł 0,09 zł 0,07 zł 0,09 zł 0,07 zł 0,07 zł 0,09 zł 0,07 zł 0,12 zł 0,12 zł 0,12 zł 0,12 zł 0,12 zł 0,12 zł 0,12 zł 0,09 zł 0,05 zł 0,12 zł 0,12 zł 0,12 zł 0,09 zł 0,10 zł 0,12 zł 0,12 zł 0,10 zł 0,12 zł 0,12 zł 0,12 zł 0,12 zł 0,12 zł 0,09 zł 0,12 zł 0,09 zł 0,12 zł 0,12 zł 0,12 zł 0,12 zł 0,09 zł 0,12 zł 0,12 zł 0,12 zł 0,12 zł 0,05 zł 0,12 zł 0,09 zł 0,12 zł 0,09 zł 0,09 zł 0,12 zł 0,09 zł 0,02 zł 0,02 zł 0,02 zł 0,02 zł 0,02 zł 0,02 zł 0,02 zł 0,02 zł 0,01 zł 0,02 zł 0,02 zł 0,02 zł 0,02 zł 0,02 zł 0,02 zł 0,02 zł 0,02 zł 0,02 zł 0,02 zł 0,02 zł 0,02 zł 0,02 zł 0,02 zł 0,02 zł 0,02 zł 0,02 zł 0,02 zł 0,02 zł 0,02 zł 0,02 zł 0,02 zł 0,02 zł 0,02 zł 0,02 zł 0,01 zł 0,02 zł 0,02 zł 0,02 zł 0,02 zł 0,02 zł 0,02 zł 0,02 zł Polska Polska Polska Polska Polska Polska Polska Polska Polska Polska Polska Polska Polska Polska Polska Polska Polska Polska Polska Polska Polska Polska Polska Polska Polska Polska Polska Polska Polska Polska Polska Polska Polska Polska Polska Polska Polska Polska Polska Polska Polska Polska PoznaĹ„ PoznaĹ„ PoznaĹ„ PoznaĹ„ PoznaĹ„ PoznaĹ„ PoznaĹ„ PoznaĹ„ PoznaĹ„ PoznaĹ„ PoznaĹ„ PoznaĹ„ PoznaĹ„ PoznaĹ„ PoznaĹ„ PoznaĹ„ PoznaĹ„ PoznaĹ„ PoznaĹ„ PoznaĹ„ PoznaĹ„ PoznaĹ„ PoznaĹ„ PoznaĹ„ PoznaĹ„ PoznaĹ„ PoznaĹ„ PoznaĹ„ PoznaĹ„ PoznaĹ„ PoznaĹ„ PoznaĹ„ PoznaĹ„ PoznaĹ„ PoznaĹ„ PoznaĹ„ PoznaĹ„ PoznaĹ„ PrzemyĹ›l PrzemyĹ›l PrzemyĹ›l PrzemyĹ›l EXATEL S.A. E-Telko Sp. z o.o. NOM o2.pl Sp. z o.o. Elterix S.A. PTC Sp. z o.o. EASYCALL.PL Sp. z o.o. Echostar Studio ZTS Internet Cable Provider Sp. z o.o. Crowley Data Poland Sp. z o.o. Telefonia Dialog S.A. NASK TESAT Sp. z o.o. Gadu-Gadu S.A. Servcom Sp. z o.o. Globitel Sp. z o.o. UPC Polska Sp. z o.o. Forweb S.C. PTK Centertel Sp. z o.o. GST Internet Sp. z o.o. SFERIA S.A. DĹ‚ugie Rozmowy S.A. Peoplefone Polska S.A. Intelligent Technologies S.A. East & West Sp. z o.o. IPTELL Sp. z o.o. NORDISK Polska Sp. z o.o. MTI Mobilna Telefonia Internetowa Sp. z o.o. TARTEL Sp. z o.o. VARS Sp. z o.o. Multimedia Polska S.A. SpTelek Sp. z o.o. MediaTel 4B Sp. z o.o. IQ Telecom Sp. z o.o. Enter Net Plus Sp. z o.o. FreecoNet S.A. Inotel S.A. Mobyland Sp. z o.o. Tpsa Polkomtel S.A. Multimedia Polska - PoĹ‚udnie GTS Energis Sp. z o.o. geographic geographic geographic geographic geographic geographic geographic geographic geographic geographic geographic geographic geographic geographic geographic geographic geographic geographic geographic geographic geographic geographic geographic geographic geographic geographic geographic geographic geographic geographic geographic geographic geographic geographic geographic geographic geographic geographic geographic geographic geographic geographic 0,08 zł 0,09 zł 0,09 zł 0,09 zł 0,09 zł 0,09 zł 0,09 zł 0,09 zł 0,09 zł 0,09 zł 0,08 zł 0,09 zł 0,09 zł 0,09 zł 0,09 zł 0,09 zł 0,09 zł 0,09 zł 0,09 zł 0,09 zł 0,09 zł 0,09 zł 0,09 zł 0,09 zł 0,09 zł 0,09 zł 0,09 zł 0,09 zł 0,09 zł 0,09 zł 0,09 zł 0,09 zł - zł 0,09 zł 0,09 zł 0,09 zł 0,09 zł 0,09 zł 0,04 zł 0,09 zł 0,09 zł 0,07 zł 0,10 zł 0,12 zł 0,12 zł 0,12 zł 0,12 zł 0,12 zł 0,12 zł 0,12 zł 0,12 zł 0,12 zł 0,10 zł 0,12 zł 0,12 zł 0,12 zł 0,12 zł 0,12 zł 0,12 zł 0,12 zł 0,12 zł 0,12 zł 0,12 zł 0,12 zł 0,12 zł 0,12 zł 0,12 zł 0,12 zł 0,12 zł 0,12 zł 0,12 zł 0,12 zł 0,12 zł 0,12 zł - zł 0,12 zł 0,12 zł 0,12 zł 0,12 zł 0,12 zł 0,05 zł 0,12 zł 0,12 zł 0,09 zł 0,02 zł 0,02 zł 0,02 zł 0,02 zł 0,02 zł 0,02 zł 0,02 zł 0,02 zł 0,02 zł 0,02 zł 0,02 zł 0,02 zł 0,02 zł 0,02 zł 0,02 zł 0,02 zł 0,02 zł 0,02 zł 0,02 zł 0,02 zł 0,02 zł 0,02 zł 0,02 zł 0,02 zł 0,02 zł 0,02 zł 0,02 zł 0,02 zł 0,02 zł 0,02 zł 0,02 zł 0,02 zł - zł 0,02 zł 0,02 zł 0,02 zł 0,02 zł 0,02 zł 0,01 zł 0,02 zł 0,02 zł 0,02 zł Polska Polska Polska Polska Polska Polska Polska Polska Polska Polska Polska Polska Polska Polska Polska Polska Polska Polska Polska Polska Polska Polska Polska Polska Polska Polska Polska Polska Polska Polska Polska Polska Polska Polska Polska Polska Polska Polska Polska Polska Polska Polska PrzemyĹ›l PrzemyĹ›l PrzemyĹ›l PrzemyĹ›l PrzemyĹ›l PrzemyĹ›l PrzemyĹ›l PrzemyĹ›l PrzemyĹ›l PrzemyĹ›l PrzemyĹ›l PrzemyĹ›l PrzemyĹ›l PrzemyĹ›l PrzemyĹ›l PrzemyĹ›l Radom Radom Radom Radom Radom Radom Radom Radom Radom Radom Radom Radom Radom Radom Radom Radom Radom Radom Radom Radom Radom Radom Radom Radom Radom Radom EXATEL S.A. o2.pl Sp. z o.o. PTC Sp. z o.o. ZIGZAG Sp. z o.o. PTK Centertel Sp. z o.o. Telekomunikacja Kolejowa Sp. z o.o. Peoplefone Polska S.A. EasyCall.PL Sp. z o.o. Netia S.A. TOYA Sp. z o.o. Crowley Data Poland Sp. z o.o. VARS Sp. z o.o. Hyperion S.A. IQ Telecom Sp. z o.o. Telekontakt24 Sp. z o.o. NASK Tpsa Polkomtel S.A. MNI Telecom S.A. Elektrownia Kozienice Netia S.A. EXATEL S.A. Vectra S.A. NOM GTS Polska Sp. z o.o. GTS Energis Sp. z o.o. o2.pl Sp. z o.o. Telefonia Dialog S.A. Gadu-Gadu S.A. ALGO PTI Concept-T Sp. z o.o. PTC Sp. z o.o. Telekomunikacja Kolejowa Sp. z o.o. PTK Centertel Sp. z o.o. EASYCALL.PL Sp. z o.o. Peoplefone Polska S.A. Intelligent Technologies S.A. NORDISK Polska Sp. z o.o. Crowley Data Poland Sp. z o.o. VARS Sp. z o.o. Trafix Sp. z o.o. GH NET Sp. J. geographic geographic geographic geographic geographic geographic geographic geographic geographic geographic geographic geographic geographic geographic geographic geographic geographic geographic geographic geographic geographic geographic geographic geographic geographic geographic geographic geographic geographic geographic geographic geographic geographic geographic geographic geographic geographic geographic geographic geographic geographic geographic 0,08 zł 0,09 zł 0,09 zł 0,09 zł 0,09 zł 0,07 zł 0,09 zł 0,09 zł 0,07 zł 0,09 zł 0,09 zł 0,09 zł 0,09 zł 0,09 zł 0,09 zł 0,09 zł 0,04 zł 0,09 zł 0,09 zł 0,09 zł 0,07 zł 0,08 zł 0,09 zł 0,09 zł 0,07 zł 0,07 zł 0,09 zł 0,08 zł 0,09 zł 0,09 zł 0,09 zł 0,09 zł 0,07 zł 0,09 zł 0,09 zł 0,09 zł 0,09 zł 0,09 zł 0,09 zł 0,09 zł 0,09 zł 0,09 zł 0,10 zł 0,12 zł 0,12 zł 0,12 zł 0,12 zł 0,09 zł 0,12 zł 0,12 zł 0,09 zł 0,12 zł 0,12 zł 0,12 zł 0,12 zł 0,12 zł 0,12 zł 0,12 zł 0,05 zł 0,12 zł 0,12 zł 0,12 zł 0,09 zł 0,10 zł 0,12 zł 0,12 zł 0,09 zł 0,09 zł 0,12 zł 0,10 zł 0,12 zł 0,12 zł 0,12 zł 0,12 zł 0,09 zł 0,12 zł 0,12 zł 0,12 zł 0,12 zł 0,12 zł 0,12 zł 0,12 zł 0,12 zł 0,12 zł 0,02 zł 0,02 zł 0,02 zł 0,02 zł 0,02 zł 0,02 zł 0,02 zł 0,02 zł 0,02 zł 0,02 zł 0,02 zł 0,02 zł 0,02 zł 0,02 zł 0,02 zł 0,02 zł 0,01 zł 0,02 zł 0,02 zł 0,02 zł 0,02 zł 0,02 zł 0,02 zł 0,02 zł 0,02 zł 0,02 zł 0,02 zł 0,02 zł 0,02 zł 0,02 zł 0,02 zł 0,02 zł 0,02 zł 0,02 zł 0,02 zł 0,02 zł 0,02 zł 0,02 zł 0,02 zł 0,02 zł 0,02 zł 0,02 zł Polska Polska Polska Polska Polska Polska Polska Polska Polska Polska Polska Polska Polska Polska Polska Polska Polska Polska Polska Polska Polska Polska Polska Polska Polska Polska Polska Polska Polska Polska Polska Polska Polska Polska Polska Polska Polska Polska Polska Polska Polska Polska Radom Radom Radom Radom RzeszĂłw RzeszĂłw RzeszĂłw RzeszĂłw RzeszĂłw RzeszĂłw RzeszĂłw RzeszĂłw RzeszĂłw RzeszĂłw RzeszĂłw RzeszĂłw RzeszĂłw RzeszĂłw RzeszĂłw RzeszĂłw RzeszĂłw RzeszĂłw RzeszĂłw RzeszĂłw RzeszĂłw RzeszĂłw RzeszĂłw RzeszĂłw RzeszĂłw RzeszĂłw RzeszĂłw RzeszĂłw RzeszĂłw RzeszĂłw RzeszĂłw RzeszĂłw RzeszĂłw RzeszĂłw RzeszĂłw RzeszĂłw RzeszĂłw Siedlce Telekontakt24 Sp. z o.o. GIGA KOMPUTER Ilona SkupieĹ„ NASK IQ Telecom Sp. z o.o. Tpsa Polkomtel S.A. Spółdzielnia Telekomunikacyjna Wist Multimedia Polska - PoĹ‚udnie S.A. Multimedia Polska S.A. OkrÄ™gowa Spółdzielnia Telefoniczna w Tyczynie GTS Polska Sp. z o.o. Netia S.A. EXATEL S.A. Vectra S.A. GTS Energis Sp. z o.o. Telekomunikacja Kolejowa Sp. z o.o. o2.pl Sp. z o.o. E-Telko Sp. z o.o. EASYCALL.PL Sp. z o.o. UPC Polska Sp. z o.o. Intertele S.A. Crowley Data Poland Sp. z o.o. Telefonia Dialog S.A. Gadu-Gadu S.A. IPT Internet Bezprzew. Czajen K. Czaja Concept-T Sp. z o.o. PTC Sp. z o.o. PTK Centertel Sp. z o.o. NORDISK Polska Sp. z o.o. InFast Sp. z o.o. Hyperion S.A. Peoplefone Polska S.A. Intelligent Technologies S.A. CETO Sp. z o.o. IPTELL Sp. z o.o. MTI Mobilna Telefonia Internetowa Sp. z o.o. VARS Sp. z o.o. IQ Telecom Sp. z o.o. Telekontakt24 Sp. z o.o. NASK Tpsa geographic geographic geographic geographic geographic geographic geographic geographic geographic geographic geographic geographic geographic geographic geographic geographic geographic geographic geographic geographic geographic geographic geographic geographic geographic geographic geographic geographic geographic geographic geographic geographic geographic geographic geographic geographic geographic geographic geographic geographic geographic geographic 0,09 zł 0,09 zł 0,09 zł 0,09 zł 0,04 zł 0,09 zł 0,09 zł 0,09 zł 0,09 zł 0,09 zł 0,07 zł 0,07 zł 0,08 zł 0,09 zł 0,07 zł 0,07 zł 0,09 zł 0,09 zł 0,09 zł 0,09 zł 0,09 zł 0,09 zł 0,08 zł 0,09 zł 0,09 zł 0,09 zł 0,09 zł 0,09 zł 0,09 zł 0,09 zł 0,09 zł 0,09 zł 0,09 zł 0,09 zł 0,09 zł 0,09 zł 0,09 zł 0,09 zł 0,09 zł 0,09 zł 0,09 zł 0,04 zł 0,12 zł 0,12 zł 0,12 zł 0,12 zł 0,05 zł 0,12 zł 0,12 zł 0,12 zł 0,12 zł 0,12 zł 0,09 zł 0,09 zł 0,10 zł 0,12 zł 0,09 zł 0,09 zł 0,12 zł 0,12 zł 0,12 zł 0,12 zł 0,12 zł 0,12 zł 0,10 zł 0,12 zł 0,12 zł 0,12 zł 0,12 zł 0,12 zł 0,12 zł 0,12 zł 0,12 zł 0,12 zł 0,12 zł 0,12 zł 0,12 zł 0,12 zł 0,12 zł 0,12 zł 0,12 zł 0,12 zł 0,12 zł 0,05 zł 0,02 zł 0,02 zł 0,02 zł 0,02 zł 0,01 zł 0,02 zł 0,02 zł 0,02 zł 0,02 zł 0,02 zł 0,02 zł 0,02 zł 0,02 zł 0,02 zł 0,02 zł 0,02 zł 0,02 zł 0,02 zł 0,02 zł 0,02 zł 0,02 zł 0,02 zł 0,02 zł 0,02 zł 0,02 zł 0,02 zł 0,02 zł 0,02 zł 0,02 zł 0,02 zł 0,02 zł 0,02 zł 0,02 zł 0,02 zł 0,02 zł 0,02 zł 0,02 zł 0,02 zł 0,02 zł 0,02 zł 0,02 zł 0,01 zł Polska Polska Polska Polska Polska Polska Polska Polska Polska Polska Polska Polska Polska Polska Polska Polska Polska Polska Polska Polska Polska Polska Polska Polska Polska Polska Polska Polska Polska Polska Polska Polska Polska Polska Polska Polska Polska Polska Polska Polska Polska Polska Siedlce Siedlce Siedlce Siedlce Siedlce Siedlce Siedlce Siedlce Siedlce Siedlce Siedlce Siedlce Siedlce Siedlce Siedlce Siedlce Siedlce Siedlce Siedlce Siedlce Siedlce Siedlce Siedlce Siedlce Siedlce Sieradz Sieradz Sieradz Sieradz Sieradz Sieradz Sieradz Sieradz Sieradz Sieradz Sieradz Sieradz Sieradz Sieradz Sieradz Sieradz Sieradz Polkomtel S.A. Multimedia Polska - PoĹ‚udnie S.A. Telefony Podlaskie Netia S.A. EXATEL S.A. o2.pl Sp. z o.o. UPC Polska Sp. z o.o. Vectra S.A. ZIGZAG Sp. z o.o. PTC Sp. z o.o. Forweb S.C. PTK Centertel Sp. z o.o. GTS Energis Sp. z o.o. Telekomunikacja Kolejowa Sp. z o.o. Peoplefone Polska S.A. EasyCall.PL Sp. z o.o. Nettel Systems Sp. z o.o. NORDISK Polska Sp. z o.o. NASK Crowley Data Poland Sp. z o.o. VARS Sp. z o.o. VECTRA S.A. Teleoptimum Sp. z o.o. Metro Internet Sp. z o.o. Telekontakt24 Sp. z o.o. Tpsa Polkomtel S.A. ZwiÄ…zek Gmin Ziemi WieluĹ„skiej Multimedia Polska - PoĹ‚udnie S.A. EXATEL S.A. o2.pl Sp. z o.o. ZIGZAG Sp. z o.o. Vectra S.A. Gadu-Gadu S.A. PTK Centertel Sp. z o.o. PTC Sp. z o.o. Peoplefone Polska S.A. Netia S.A. NORDISK Polska Sp. z o.o. Telekomunikacja Kolejowa Sp. z o.o. EasyCall.Pl Sp. z o.o. GTS Energis Sp. z o.o. geographic geographic geographic geographic geographic geographic geographic geographic geographic geographic geographic geographic geographic geographic geographic geographic geographic geographic geographic geographic geographic geographic geographic geographic geographic geographic geographic geographic geographic geographic geographic geographic geographic geographic geographic geographic geographic geographic geographic geographic geographic geographic 0,09 zł 0,09 zł 0,09 zł 0,07 zł 0,08 zł 0,09 zł 0,09 zł 0,09 zł 0,09 zł 0,09 zł 0,09 zł 0,09 zł 0,07 zł 0,07 zł 0,09 zł 0,09 zł 0,09 zł 0,09 zł 0,09 zł 0,09 zł 0,09 zł 0,09 zł 0,09 zł 0,09 zł 0,09 zł 0,04 zł 0,09 zł 0,09 zł 0,09 zł 0,08 zł 0,09 zł 0,09 zł 0,09 zł 0,09 zł 0,09 zł 0,09 zł 0,09 zł 0,07 zł 0,09 zł 0,07 zł 0,09 zł 0,07 zł 0,12 zł 0,12 zł 0,12 zł 0,09 zł 0,10 zł 0,12 zł 0,12 zł 0,12 zł 0,12 zł 0,12 zł 0,12 zł 0,12 zł 0,09 zł 0,09 zł 0,12 zł 0,12 zł 0,12 zł 0,12 zł 0,12 zł 0,12 zł 0,12 zł 0,12 zł 0,12 zł 0,12 zł 0,12 zł 0,05 zł 0,12 zł 0,12 zł 0,12 zł 0,10 zł 0,12 zł 0,12 zł 0,12 zł 0,12 zł 0,12 zł 0,12 zł 0,12 zł 0,09 zł 0,12 zł 0,09 zł 0,12 zł 0,09 zł 0,02 zł 0,02 zł 0,02 zł 0,02 zł 0,02 zł 0,02 zł 0,02 zł 0,02 zł 0,02 zł 0,02 zł 0,02 zł 0,02 zł 0,02 zł 0,02 zł 0,02 zł 0,02 zł 0,02 zł 0,02 zł 0,02 zł 0,02 zł 0,02 zł 0,02 zł 0,02 zł 0,02 zł 0,02 zł 0,01 zł 0,02 zł 0,02 zł 0,02 zł 0,02 zł 0,02 zł 0,02 zł 0,02 zł 0,02 zł 0,02 zł 0,02 zł 0,02 zł 0,02 zł 0,02 zł 0,02 zł 0,02 zł 0,02 zł Polska Polska Polska Polska Polska Polska Polska Polska Polska Polska Polska Polska Polska Polska Polska Polska Polska Polska Polska Polska Polska Polska Polska Polska Polska Polska Polska Polska Polska Polska Polska Polska Polska Polska Polska Polska Polska Polska Polska Polska Polska Polska Sieradz Sieradz Sieradz Sieradz Sieradz Sieradz Skierniewice Skierniewice Skierniewice Skierniewice Skierniewice Skierniewice Skierniewice Skierniewice Skierniewice Skierniewice Skierniewice Skierniewice Skierniewice Skierniewice Skierniewice Skierniewice Skierniewice Skierniewice Skierniewice Skierniewice Skierniewice Skierniewice Skierniewice Skierniewice Skierniewice Skierniewice SĹ‚upsk SĹ‚upsk SĹ‚upsk SĹ‚upsk SĹ‚upsk SĹ‚upsk SĹ‚upsk SĹ‚upsk SĹ‚upsk SĹ‚upsk VARS Sp. z o.o. ELART St. Zakrzewski Crowley Data Poland Sp. z o.o. Telekontakt24 Sp. z o.o. NASK IQ Telecom Sp. z o.o. Tpsa Polkomtel S.A. Multimedia Polska S.A. GTS Polska Sp. z o.o. EXATEL S.A. GTS Energis Sp. z o.o. o2.pl Sp. z o.o. ZIGZAG Sp. z o.o. TimPlus S.C. Vectra S.A. PTK Centertel Sp. z o.o. PTC Sp. z o.o. Telekomunikacja Kolejowa Sp. z o.o. INTERDOM P. JesioĹ‚owski Peoplefone Polska S.A. EasyCall.PL Sp. z o.o. Netia S.A. NORDISK Polska Sp. z o.o. MetroLine Sp. z o.o. Crowley Data Poland Sp. z o.o. VARS Sp. z o.o. VECTRA S.A. Telekontakt24 Sp. z o.o. ITV MEDIA T. Barlak IQ Telecom Sp. z o.o. NASK Tpsa Polkomtel S.A. Netia S.A. GTS Polska Sp. z o.o. EXATEL S.A. o2.pl Sp. z o.o. Vectra S.A. Gadu-Gadu S.A. Gawex Media Sp. z o.o. Petrus Polska Sp. z o.o. geographic geographic geographic geographic geographic geographic geographic geographic geographic geographic geographic geographic geographic geographic geographic geographic geographic geographic geographic geographic geographic geographic geographic geographic geographic geographic geographic geographic geographic geographic geographic geographic geographic geographic geographic geographic geographic geographic geographic geographic geographic geographic 0,09 zł 0,09 zł 0,09 zł 0,09 zł 0,09 zł 0,09 zł 0,04 zł 0,09 zł 0,09 zł 0,07 zł 0,08 zł 0,07 zł 0,09 zł 0,09 zł 0,09 zł 0,09 zł 0,09 zł 0,09 zł 0,07 zł 0,09 zł 0,09 zł 0,09 zł 0,07 zł 0,09 zł 0,09 zł 0,09 zł 0,09 zł 0,09 zł 0,09 zł 0,09 zł 0,09 zł 0,09 zł 0,04 zł 0,09 zł 0,07 zł 0,07 zł 0,08 zł 0,09 zł 0,09 zł 0,09 zł 0,09 zł 0,09 zł 0,12 zł 0,12 zł 0,12 zł 0,12 zł 0,12 zł 0,12 zł 0,05 zł 0,12 zł 0,12 zł 0,09 zł 0,10 zł 0,09 zł 0,12 zł 0,12 zł 0,12 zł 0,12 zł 0,12 zł 0,12 zł 0,09 zł 0,12 zł 0,12 zł 0,12 zł 0,09 zł 0,12 zł 0,12 zł 0,12 zł 0,12 zł 0,12 zł 0,12 zł 0,12 zł 0,12 zł 0,12 zł 0,05 zł 0,12 zł 0,09 zł 0,09 zł 0,10 zł 0,12 zł 0,12 zł 0,12 zł 0,12 zł 0,12 zł 0,02 zł 0,02 zł 0,02 zł 0,02 zł 0,02 zł 0,02 zł 0,01 zł 0,02 zł 0,02 zł 0,02 zł 0,02 zł 0,02 zł 0,02 zł 0,02 zł 0,02 zł 0,02 zł 0,02 zł 0,02 zł 0,02 zł 0,02 zł 0,02 zł 0,02 zł 0,02 zł 0,02 zł 0,02 zł 0,02 zł 0,02 zł 0,02 zł 0,02 zł 0,02 zł 0,02 zł 0,02 zł 0,01 zł 0,02 zł 0,02 zł 0,02 zł 0,02 zł 0,02 zł 0,02 zł 0,02 zł 0,02 zł 0,02 zł Polska Polska Polska Polska Polska Polska Polska Polska Polska Polska Polska Polska Polska Polska Polska Polska Polska Polska Polska Polska Polska Polska Polska Polska Polska Polska Polska Polska Polska Polska Polska Polska Polska Polska Polska Polska Polska Polska Polska Polska Polska Polska SĹ‚upsk SĹ‚upsk SĹ‚upsk SĹ‚upsk SĹ‚upsk SĹ‚upsk SĹ‚upsk SĹ‚upsk SĹ‚upsk SĹ‚upsk SĹ‚upsk SĹ‚upsk SĹ‚upsk SĹ‚upsk SĹ‚upsk SĹ‚upsk SuwaĹ‚ki SuwaĹ‚ki SuwaĹ‚ki SuwaĹ‚ki SuwaĹ‚ki SuwaĹ‚ki SuwaĹ‚ki SuwaĹ‚ki SuwaĹ‚ki SuwaĹ‚ki SuwaĹ‚ki SuwaĹ‚ki SuwaĹ‚ki SuwaĹ‚ki SuwaĹ‚ki SuwaĹ‚ki SuwaĹ‚ki SuwaĹ‚ki SuwaĹ‚ki SuwaĹ‚ki SuwaĹ‚ki SuwaĹ‚ki SuwaĹ‚ki SuwaĹ‚ki Szczecin Szczecin IQ Telecom Sp. z o.o. TELEZET E. Zdrojek Telekontakt24 Sp. z o.o. PTK Centertel Sp. z o.o. PTC Sp. z o.o. JARSAT S.C. Telekomunikacja Kolejowa Sp. z o.o. Peoplefone Polska S.A. EasyCall.PL Sp. z o.o. PPH RENE WiesĹ‚aw Kolatowicz NORDISK Polska Sp. z o.o. GTS Energis Sp. z o.o. VARS Sp. z o.o. Hyperion S.A. Crowley Data Poland Sp. z o.o. NASK Tpsa Polkomtel S.A. Netia S.A. EXATEL S.A. NOM Multimedia Polska S.A. o2.pl Sp. z o.o. Vectra S.A. Gadu-Gadu S.A. TOYA Sp. z o.o. PTK Centertel Sp. z o.o. PTC Sp. z o.o. JARSAT S.C. Air Bites Polska Sp. z o.o. Stream Communications Sp. z o.o. Peoplefone Polska S.A. NORDISK Polska Sp. z o.o. FHU Televoice Piotr Radek GTS Energis Sp. z o.o. VARS Sp. z o.o. EASYCALL.PL Sp. z o.o. Telekontakt24 Sp. z o.o. NASK Telekomunikacja Kolejowa Sp. z o.o. Tpsa Polkomtel S.A. geographic geographic geographic geographic geographic geographic geographic geographic geographic geographic geographic geographic geographic geographic geographic geographic geographic geographic geographic geographic geographic geographic geographic geographic geographic geographic geographic geographic geographic geographic geographic geographic geographic geographic geographic geographic geographic geographic geographic geographic geographic geographic 0,09 zł 0,09 zł 0,09 zł 0,09 zł 0,09 zł 0,09 zł 0,07 zł 0,09 zł 0,09 zł 0,09 zł 0,09 zł 0,07 zł 0,09 zł 0,09 zł 0,09 zł 0,09 zł 0,04 zł 0,09 zł 0,07 zł 0,08 zł 0,09 zł 0,09 zł 0,09 zł 0,09 zł 0,09 zł 0,09 zł 0,09 zł 0,09 zł 0,09 zł 0,09 zł 0,09 zł 0,09 zł 0,09 zł 0,09 zł 0,07 zł 0,09 zł 0,09 zł 0,09 zł 0,09 zł 0,07 zł 0,04 zł 0,09 zł 0,12 zł 0,12 zł 0,12 zł 0,12 zł 0,12 zł 0,12 zł 0,09 zł 0,12 zł 0,12 zł 0,12 zł 0,12 zł 0,09 zł 0,12 zł 0,12 zł 0,12 zł 0,12 zł 0,05 zł 0,12 zł 0,09 zł 0,10 zł 0,12 zł 0,12 zł 0,12 zł 0,12 zł 0,12 zł 0,12 zł 0,12 zł 0,12 zł 0,12 zł 0,12 zł 0,12 zł 0,12 zł 0,12 zł 0,12 zł 0,09 zł 0,12 zł 0,12 zł 0,12 zł 0,12 zł 0,09 zł 0,05 zł 0,12 zł 0,02 zł 0,02 zł 0,02 zł 0,02 zł 0,02 zł 0,02 zł 0,02 zł 0,02 zł 0,02 zł 0,02 zł 0,02 zł 0,02 zł 0,02 zł 0,02 zł 0,02 zł 0,02 zł 0,01 zł 0,02 zł 0,02 zł 0,02 zł 0,02 zł 0,02 zł 0,02 zł 0,02 zł 0,02 zł 0,02 zł 0,02 zł 0,02 zł 0,02 zł 0,02 zł 0,02 zł 0,02 zł 0,02 zł 0,02 zł 0,02 zł 0,02 zł 0,02 zł 0,02 zł 0,02 zł 0,02 zł 0,01 zł 0,02 zł Polska Polska Polska Polska Polska Polska Polska Polska Polska Polska Polska Polska Polska Polska Polska Polska Polska Polska Polska Polska Polska Polska Polska Polska Polska Polska Polska Polska Polska Polska Polska Polska Polska Polska Polska Polska Polska Polska Polska Polska Polska Polska Szczecin Szczecin Szczecin Szczecin Szczecin Szczecin Szczecin Szczecin Szczecin Szczecin Szczecin Szczecin Szczecin Szczecin Szczecin Szczecin Szczecin Szczecin Szczecin Szczecin Szczecin Szczecin Szczecin Szczecin Szczecin Szczecin Szczecin Szczecin Szczecin Szczecin Szczecin Szczecin Szczecin Szczecin Szczecin Szczecin Tarnobrzeg Tarnobrzeg Tarnobrzeg Tarnobrzeg Tarnobrzeg Tarnobrzeg Multimedia Polska - ZachĂłd Sp. z o.o. GTS Polska Sp. z o.o. Netia S.A. GTS Energis Sp. z o.o. Telekomunikacja Kolejowa Sp. z o.o. EXATEL S.A. VECTRA S.A. o2.pl Sp. z o.o. Elterix S.A. E-Telko Sp. z o.o. UPC Polska Sp. z o.o. EASYCALL.PL Sp. z o.o. Telefonia Dialog S.A. Gadu-Gadu S.A. PTC Sp. z o.o. Concept-T Sp. z o.o. Vectra S.A. ESPOL Sp. z o.o. PTK Centertel Sp. z o.o. GLOBAL CONNECT Pietrzak i Wsp. Sp.J. Peoplefone Polska S.A. Intelligent Technologies S.A. IPTELL Sp. z o.o. NASK NORDISK Polska Sp. z o.o. MTI Mobilna Telefonia Internetowa Sp. z o.o. TARTEL Sp. z o.o. Crowley Data Poland Sp. z o.o. VARS Sp. z o.o. Asternet Sp. z o.o. Teleoptimum Sp. z o.o. MYFON.PL S.C. Telekontakt24 Sp. z o.o. FHU Televoice Piotr Radek Mobyland Sp. z o.o. IQ Telecom Sp. z o.o. Tpsa Polkomtel S.A. MNI Telecom S.A. EXATEL S.A. Multimedia Polska S.A. o2.pl Sp. z o.o. geographic geographic geographic geographic geographic geographic geographic geographic geographic geographic geographic geographic geographic geographic geographic geographic geographic geographic geographic geographic geographic geographic geographic geographic geographic geographic geographic geographic geographic geographic geographic geographic geographic geographic geographic geographic geographic geographic geographic geographic geographic geographic 0,09 zł 0,07 zł 0,07 zł 0,07 zł 0,07 zł 0,08 zł 0,09 zł 0,09 zł 0,09 zł 0,09 zł 0,09 zł 0,09 zł 0,08 zł 0,09 zł 0,09 zł 0,09 zł 0,09 zł 0,09 zł 0,09 zł 0,09 zł 0,09 zł 0,09 zł 0,09 zł 0,09 zł 0,09 zł 0,09 zł 0,09 zł 0,09 zł 0,09 zł 0,09 zł 0,09 zł 0,09 zł 0,09 zł 0,09 zł 0,09 zł 0,09 zł 0,04 zł 0,09 zł 0,09 zł 0,08 zł 0,09 zł 0,09 zł 0,12 zł 0,09 zł 0,09 zł 0,09 zł 0,09 zł 0,10 zł 0,12 zł 0,12 zł 0,12 zł 0,12 zł 0,12 zł 0,12 zł 0,10 zł 0,12 zł 0,12 zł 0,12 zł 0,12 zł 0,12 zł 0,12 zł 0,12 zł 0,12 zł 0,12 zł 0,12 zł 0,12 zł 0,12 zł 0,12 zł 0,12 zł 0,12 zł 0,12 zł 0,12 zł 0,12 zł 0,12 zł 0,12 zł 0,12 zł 0,12 zł 0,12 zł 0,05 zł 0,12 zł 0,12 zł 0,10 zł 0,12 zł 0,12 zł 0,02 zł 0,02 zł 0,02 zł 0,02 zł 0,02 zł 0,02 zł 0,02 zł 0,02 zł 0,02 zł 0,02 zł 0,02 zł 0,02 zł 0,02 zł 0,02 zł 0,02 zł 0,02 zł 0,02 zł 0,02 zł 0,02 zł 0,02 zł 0,02 zł 0,02 zł 0,02 zł 0,02 zł 0,02 zł 0,02 zł 0,02 zł 0,02 zł 0,02 zł 0,02 zł 0,02 zł 0,02 zł 0,02 zł 0,02 zł 0,02 zł 0,02 zł 0,01 zł 0,02 zł 0,02 zł 0,02 zł 0,02 zł 0,02 zł Polska Polska Polska Polska Polska Polska Polska Polska Polska Polska Polska Polska Polska Polska Polska Polska Polska Polska Polska Polska Polska Polska Polska Polska Polska Polska Polska Polska Polska Polska Polska Polska Polska Polska Polska Polska Polska Polska Polska Polska Polska Polska Tarnobrzeg Tarnobrzeg Tarnobrzeg Tarnobrzeg Tarnobrzeg Tarnobrzeg Tarnobrzeg Tarnobrzeg Tarnobrzeg Tarnobrzeg Tarnobrzeg Tarnobrzeg Tarnobrzeg Tarnobrzeg Tarnobrzeg Tarnobrzeg Tarnobrzeg Tarnobrzeg Tarnobrzeg Tarnobrzeg TarnĂłw TarnĂłw TarnĂłw TarnĂłw TarnĂłw TarnĂłw TarnĂłw TarnĂłw TarnĂłw TarnĂłw TarnĂłw TarnĂłw TarnĂłw TarnĂłw TarnĂłw TarnĂłw TarnĂłw TarnĂłw TarnĂłw TarnĂłw TarnĂłw TarnĂłw NASK Czajen K. Czaja DIANA TK Sp.J. ZIGZAG Sp. z o.o. PTC Sp. z o.o. Gadu-Gadu S.A. PTK Centertel Sp. z o.o. SIS Sp. z o.o. Telekomunikacja Kolejowa Sp. z o.o. Netia S.A. Peoplefone Polska S.A. EasyCall.PL Sp. z o.o. Tarnobrzeska Sp-nia Mieszk. NORDISK Polska Sp. z o.o. Crowley Data Poland Sp. z o.o. GTS Energis Sp. z o.o. VARS Sp. z o.o. Vectra S.A. IQ Telecom Sp. z o.o. Telekontakt24 Sp. z o.o. Tpsa Polkomtel S.A. Multimedia Polska - PoĹ‚udnie S.A. Netia S.A. Tarnowski OĹ›rodek Informacyjny NASK EXATEL S.A. GTS Polska Sp. z o.o. Internet Solutions GTS Energis Sp. z o.o. o2.pl Sp. z o.o. MTK S.TAR-TV Sp. z o.o. Multimedia Polska S.A. Telefonia Dialog S.A. Gadu-Gadu S.A. IPT Internet Bezprzew. Telekontakt24 Sp. z o.o. PTC Sp. z o.o. PTK Centertel Sp. z o.o. GST Internet Sp. z o.o. Stream Communications Sp. z o.o. Peoplefone Polska S.A. geographic geographic geographic geographic geographic geographic geographic geographic geographic geographic geographic geographic geographic geographic geographic geographic geographic geographic geographic geographic geographic geographic geographic geographic geographic geographic geographic geographic geographic geographic geographic geographic geographic geographic geographic geographic geographic geographic geographic geographic geographic geographic 0,09 zł 0,09 zł 0,09 zł 0,09 zł 0,09 zł 0,09 zł 0,09 zł 0,09 zł 0,07 zł 0,07 zł 0,09 zł 0,09 zł 0,09 zł 0,09 zł 0,09 zł 0,07 zł 0,09 zł 0,09 zł 0,09 zł 0,09 zł 0,04 zł 0,09 zł 0,09 zł 0,07 zł 0,09 zł 0,09 zł 0,08 zł 0,07 zł 0,09 zł 0,07 zł 0,09 zł 0,09 zł 0,09 zł 0,08 zł 0,09 zł 0,09 zł 0,09 zł 0,09 zł 0,09 zł 0,09 zł 0,09 zł 0,09 zł 0,12 zł 0,12 zł 0,12 zł 0,12 zł 0,12 zł 0,12 zł 0,12 zł 0,12 zł 0,09 zł 0,09 zł 0,12 zł 0,12 zł 0,12 zł 0,12 zł 0,12 zł 0,09 zł 0,12 zł 0,12 zł 0,12 zł 0,12 zł 0,05 zł 0,12 zł 0,12 zł 0,09 zł 0,12 zł 0,12 zł 0,10 zł 0,09 zł 0,12 zł 0,09 zł 0,12 zł 0,12 zł 0,12 zł 0,10 zł 0,12 zł 0,12 zł 0,12 zł 0,12 zł 0,12 zł 0,12 zł 0,12 zł 0,12 zł 0,02 zł 0,02 zł 0,02 zł 0,02 zł 0,02 zł 0,02 zł 0,02 zł 0,02 zł 0,02 zł 0,02 zł 0,02 zł 0,02 zł 0,02 zł 0,02 zł 0,02 zł 0,02 zł 0,02 zł 0,02 zł 0,02 zł 0,02 zł 0,01 zł 0,02 zł 0,02 zł 0,02 zł 0,02 zł 0,02 zł 0,02 zł 0,02 zł 0,02 zł 0,02 zł 0,02 zł 0,02 zł 0,02 zł 0,02 zł 0,02 zł 0,02 zł 0,02 zł 0,02 zł 0,02 zł 0,02 zł 0,02 zł 0,02 zł Polska Polska Polska Polska Polska Polska Polska Polska Polska Polska Polska Polska Polska Polska Polska Polska Polska Polska Polska Polska Polska Polska Polska Polska Polska Polska Polska Polska Polska Polska Polska Polska Polska Polska Polska Polska Polska Polska Polska Polska Polska Polska TarnĂłw TarnĂłw TarnĂłw TarnĂłw TarnĂłw ToruĹ„ ToruĹ„ ToruĹ„ ToruĹ„ ToruĹ„ ToruĹ„ ToruĹ„ ToruĹ„ ToruĹ„ ToruĹ„ ToruĹ„ ToruĹ„ ToruĹ„ ToruĹ„ ToruĹ„ ToruĹ„ ToruĹ„ ToruĹ„ ToruĹ„ ToruĹ„ ToruĹ„ ToruĹ„ ToruĹ„ ToruĹ„ ToruĹ„ ToruĹ„ ToruĹ„ ToruĹ„ ToruĹ„ WaĹ‚brzych WaĹ‚brzych WaĹ‚brzych WaĹ‚brzych WaĹ‚brzych WaĹ‚brzych WaĹ‚brzych WaĹ‚brzych NORDISK Polska Sp. z o.o. VARS Sp. z o.o. IQ Telecom Sp. z o.o. EASYCALL.PL Sp. z o.o. Telekomunikacja Kolejowa Sp. z o.o. Tpsa Polkomtel S.A. Netia S.A. GTS Polska Sp. z o.o. Telekomunikacja Kolejowa Sp. z o.o. GTS Energis Sp. z o.o. EXATEL S.A. Multimedia Polska S.A. o2.pl Sp. z o.o. Telefonia Dialog S.A. Gadu-Gadu S.A. MĹ‚odzieĹĽowa Sp-nia Mieszkaniowa DĹ‚ugie Rozmowy S.A. PTC Sp. z o.o. Eltronik Sp. z o.o. CONNECT M. Szczygielski PTK Centertel Sp. z o.o. Hyperion S.A. Peoplefone Polska S.A. NORDISK Polska Sp. z o.o. EasyCall.Pl Sp. z o.o. MTI Mobilna Telefonia Internetowa Sp. z o.o. Crowley Data Poland Sp. z o.o. VARS Sp. z o.o. Sp-nia Mieszkaniowa w GrudziÄ…dzu Teleoptimum Sp. z o.o. Telekontakt24 Sp. z o.o. FHU Televoice Piotr Radek NASK Tpsa Polkomtel S.A. Telefonia Dialog S.A. EXATEL S.A. VECTRA S.A. o2.pl Sp. z o.o. Multimedia Polska S.A. Vectra S.A. geographic geographic geographic geographic geographic geographic geographic geographic geographic geographic geographic geographic geographic geographic geographic geographic geographic geographic geographic geographic geographic geographic geographic geographic geographic geographic geographic geographic geographic geographic geographic geographic geographic geographic geographic geographic geographic geographic geographic geographic geographic geographic 0,09 zł 0,09 zł 0,09 zł 0,09 zł 0,07 zł 0,04 zł 0,09 zł 0,07 zł 0,07 zł 0,07 zł 0,07 zł 0,08 zł 0,09 zł 0,09 zł 0,08 zł 0,09 zł 0,09 zł 0,09 zł 0,09 zł 0,09 zł 0,09 zł 0,09 zł 0,09 zł 0,09 zł 0,09 zł 0,09 zł 0,09 zł 0,09 zł 0,09 zł 0,09 zł 0,09 zł 0,09 zł 0,09 zł 0,09 zł 0,04 zł 0,09 zł 0,08 zł 0,08 zł 0,09 zł 0,09 zł 0,09 zł 0,09 zł 0,12 zł 0,12 zł 0,12 zł 0,12 zł 0,09 zł 0,05 zł 0,12 zł 0,09 zł 0,09 zł 0,09 zł 0,09 zł 0,10 zł 0,12 zł 0,12 zł 0,10 zł 0,12 zł 0,12 zł 0,12 zł 0,12 zł 0,12 zł 0,12 zł 0,12 zł 0,12 zł 0,12 zł 0,12 zł 0,12 zł 0,12 zł 0,12 zł 0,12 zł 0,12 zł 0,12 zł 0,12 zł 0,12 zł 0,12 zł 0,05 zł 0,12 zł 0,10 zł 0,10 zł 0,12 zł 0,12 zł 0,12 zł 0,12 zł 0,02 zł 0,02 zł 0,02 zł 0,02 zł 0,02 zł 0,01 zł 0,02 zł 0,02 zł 0,02 zł 0,02 zł 0,02 zł 0,02 zł 0,02 zł 0,02 zł 0,02 zł 0,02 zł 0,02 zł 0,02 zł 0,02 zł 0,02 zł 0,02 zł 0,02 zł 0,02 zł 0,02 zł 0,02 zł 0,02 zł 0,02 zł 0,02 zł 0,02 zł 0,02 zł 0,02 zł 0,02 zł 0,02 zł 0,02 zł 0,01 zł 0,02 zł 0,02 zł 0,02 zł 0,02 zł 0,02 zł 0,02 zł 0,02 zł Polska Polska Polska Polska Polska Polska Polska Polska Polska Polska Polska Polska Polska Polska Polska Polska Polska Polska Polska Polska Polska Polska Polska Polska Polska Polska Polska Polska Polska Polska Polska Polska Polska Polska Polska Polska Polska Polska Polska Polska Polska Polska WaĹ‚brzych WaĹ‚brzych WaĹ‚brzych WaĹ‚brzych WaĹ‚brzych WaĹ‚brzych WaĹ‚brzych WaĹ‚brzych WaĹ‚brzych WaĹ‚brzych WaĹ‚brzych WaĹ‚brzych WaĹ‚brzych WaĹ‚brzych WaĹ‚brzych WĹ‚ocĹ‚awek WĹ‚ocĹ‚awek WĹ‚ocĹ‚awek WĹ‚ocĹ‚awek WĹ‚ocĹ‚awek WĹ‚ocĹ‚awek WĹ‚ocĹ‚awek WĹ‚ocĹ‚awek WĹ‚ocĹ‚awek WĹ‚ocĹ‚awek WĹ‚ocĹ‚awek WĹ‚ocĹ‚awek WĹ‚ocĹ‚awek WĹ‚ocĹ‚awek WĹ‚ocĹ‚awek WĹ‚ocĹ‚awek WĹ‚ocĹ‚awek WĹ‚ocĹ‚awek WĹ‚ocĹ‚awek WĹ‚ocĹ‚awek WĹ‚ocĹ‚awek WĹ‚ocĹ‚awek WĹ‚ocĹ‚awek WrocĹ‚aw WrocĹ‚aw WrocĹ‚aw WrocĹ‚aw GTS Polska Sp. z o.o. Gadu-Gadu S.A. Nettelekom Sp. z o.o. PTC Sp. z o.o. EASYCALL.PL Sp. z o.o. UPC Polska Sp. z o.o. PTK Centertel Sp. z o.o. Peoplefone Polska S.A. Netia S.A. GTS Energis Sp. z o.o. VARS Sp. z o.o. Telekontakt24 Sp. z o.o. NASK IQ Telecom Sp. z o.o. Telekomunikacja Kolejowa Sp. z o.o. Tpsa Polkomtel S.A. Netia S.A. EXATEL S.A. NOM o2.pl Sp. z o.o. GTS Polska Sp. z o.o. Telefonia Dialog S.A. Gadu-Gadu S.A. Sat Film Sp. z o.o. PTK Centertel Sp. z o.o. PTC Sp. z o.o. Telekomunikacja Kolejowa Sp. z o.o. Peoplefone Polska S.A. EASYCALL.PL Sp. z o.o. Intelligent Technologies S.A. ZPHU VIDEO-SAT R. Zawilski Crowley Data Poland Sp. z o.o. GTS Energis Sp. z o.o. VARS Sp. z o.o. Telekontakt24 Sp. z o.o. NASK IQ Telecom Sp. z o.o. Tpsa Polkomtel S.A. Telefonia Dialog S.A. GTS Polska Sp. z o.o. geographic geographic geographic geographic geographic geographic geographic geographic geographic geographic geographic geographic geographic geographic geographic geographic geographic geographic geographic geographic geographic geographic geographic geographic geographic geographic geographic geographic geographic geographic geographic geographic geographic geographic geographic geographic geographic geographic geographic geographic geographic geographic 0,07 zł 0,09 zł 0,09 zł 0,09 zł 0,09 zł 0,09 zł 0,09 zł 0,09 zł 0,07 zł 0,07 zł 0,09 zł 0,09 zł 0,09 zł 0,09 zł 0,07 zł 0,04 zł 0,09 zł 0,07 zł 0,08 zł 0,09 zł 0,09 zł 0,07 zł 0,08 zł 0,09 zł 0,09 zł 0,09 zł 0,09 zł 0,07 zł 0,09 zł 0,09 zł 0,09 zł 0,09 zł 0,09 zł 0,07 zł 0,09 zł 0,09 zł 0,09 zł 0,09 zł 0,04 zł 0,09 zł 0,08 zł 0,07 zł 0,09 zł 0,12 zł 0,12 zł 0,12 zł 0,12 zł 0,12 zł 0,12 zł 0,12 zł 0,09 zł 0,09 zł 0,12 zł 0,12 zł 0,12 zł 0,12 zł 0,09 zł 0,05 zł 0,12 zł 0,09 zł 0,10 zł 0,12 zł 0,12 zł 0,09 zł 0,10 zł 0,12 zł 0,12 zł 0,12 zł 0,12 zł 0,09 zł 0,12 zł 0,12 zł 0,12 zł 0,12 zł 0,12 zł 0,09 zł 0,12 zł 0,12 zł 0,12 zł 0,12 zł 0,05 zł 0,12 zł 0,10 zł 0,09 zł 0,02 zł 0,02 zł 0,02 zł 0,02 zł 0,02 zł 0,02 zł 0,02 zł 0,02 zł 0,02 zł 0,02 zł 0,02 zł 0,02 zł 0,02 zł 0,02 zł 0,02 zł 0,01 zł 0,02 zł 0,02 zł 0,02 zł 0,02 zł 0,02 zł 0,02 zł 0,02 zł 0,02 zł 0,02 zł 0,02 zł 0,02 zł 0,02 zł 0,02 zł 0,02 zł 0,02 zł 0,02 zł 0,02 zł 0,02 zł 0,02 zł 0,02 zł 0,02 zł 0,02 zł 0,01 zł 0,02 zł 0,02 zł 0,02 zł Polska Polska Polska Polska Polska Polska Polska Polska Polska Polska Polska Polska Polska Polska Polska Polska Polska Polska Polska Polska Polska Polska Polska Polska Polska Polska Polska Polska Polska Polska Polska Polska Polska Polska Polska Polska Polska Polska Polska Polska Polska Polska WrocĹ‚aw WrocĹ‚aw WrocĹ‚aw WrocĹ‚aw WrocĹ‚aw WrocĹ‚aw WrocĹ‚aw WrocĹ‚aw WrocĹ‚aw WrocĹ‚aw WrocĹ‚aw WrocĹ‚aw WrocĹ‚aw WrocĹ‚aw WrocĹ‚aw WrocĹ‚aw WrocĹ‚aw WrocĹ‚aw WrocĹ‚aw WrocĹ‚aw WrocĹ‚aw WrocĹ‚aw WrocĹ‚aw WrocĹ‚aw WrocĹ‚aw WrocĹ‚aw WrocĹ‚aw WrocĹ‚aw WrocĹ‚aw WrocĹ‚aw WrocĹ‚aw WrocĹ‚aw WrocĹ‚aw WrocĹ‚aw WrocĹ‚aw WrocĹ‚aw WrocĹ‚aw WrocĹ‚aw WrocĹ‚aw WrocĹ‚aw WrocĹ‚aw WrocĹ‚aw Netia S.A. GTS Energis Sp. z o.o. IP TELECOM S.A. Telekomunikacja Kolejowa Sp. z o.o. EXATEL S.A. Enter Net Plus Sp. z o.o. Teleoptimum Sp. z o.o. DCG Sp. z o.o. NOM o2.pl Sp. z o.o. Multimedia Polska S.A. Elterix S.A. E-Telko Sp. z o.o. California Tok Inc S.A. EASYCALL.PL Sp. z o.o. Crowley Data Poland Sp. z o.o. Vectra S.A. Gadu-Gadu S.A. FONE Sp. z o.o. NASK KOM-NET Syst.Komp. Sp. z o.o. PTC Sp. z o.o. TVK Telewizja Kablowa DĹ‚ugie Rozmowy S.A. PTK Centertel Sp. z o.o. JARSAT S.C. Trafix Sp. z o.o. Hyperion S.A. Peoplefone Polska S.A. Intelligent Technologies S.A. IPTELL Sp. z o.o. NORDISK Polska Sp. z o.o. MTI Mobilna Telefonia Internetowa Sp. z o.o. Air Bites Polska Sp. z o.o. TARTEL Sp. z o.o. VARS Sp. z o.o. MediaTel 4B Sp. z o.o. FineMEDIA S.C. Telekontakt24 Sp. z o.o. FreecoNet S.A. Inotel S.A. FHU Televoice Piotr Radek geographic geographic geographic geographic geographic geographic geographic geographic geographic geographic geographic geographic geographic geographic geographic geographic geographic geographic geographic geographic geographic geographic geographic geographic geographic geographic geographic geographic geographic geographic geographic geographic geographic geographic geographic geographic geographic geographic geographic geographic geographic geographic 0,07 zł 0,07 zł 0,09 zł 0,07 zł 0,08 zł 0,09 zł 0,09 zł 0,09 zł 0,09 zł 0,09 zł 0,09 zł 0,09 zł 0,09 zł 0,09 zł 0,09 zł 0,09 zł 0,09 zł 0,09 zł 0,09 zł 0,09 zł 0,09 zł 0,09 zł 0,09 zł 0,09 zł 0,09 zł 0,09 zł 0,09 zł 0,09 zł 0,09 zł 0,09 zł 0,09 zł 0,09 zł 0,09 zł 0,09 zł 0,09 zł 0,09 zł - zł 0,09 zł 0,09 zł 0,09 zł 0,09 zł 0,09 zł 0,09 zł 0,09 zł 0,12 zł 0,09 zł 0,10 zł 0,12 zł 0,12 zł 0,12 zł 0,12 zł 0,12 zł 0,12 zł 0,12 zł 0,12 zł 0,12 zł 0,12 zł 0,12 zł 0,12 zł 0,12 zł 0,12 zł 0,12 zł 0,12 zł 0,12 zł 0,12 zł 0,12 zł 0,12 zł 0,12 zł 0,12 zł 0,12 zł 0,12 zł 0,12 zł 0,12 zł 0,12 zł 0,12 zł 0,12 zł 0,12 zł 0,12 zł - zł 0,12 zł 0,12 zł 0,12 zł 0,12 zł 0,12 zł 0,02 zł 0,02 zł 0,02 zł 0,02 zł 0,02 zł 0,02 zł 0,02 zł 0,02 zł 0,02 zł 0,02 zł 0,02 zł 0,02 zł 0,02 zł 0,02 zł 0,02 zł 0,02 zł 0,02 zł 0,02 zł 0,02 zł 0,02 zł 0,02 zł 0,02 zł 0,02 zł 0,02 zł 0,02 zł 0,02 zł 0,02 zł 0,02 zł 0,02 zł 0,02 zł 0,02 zł 0,02 zł 0,02 zł 0,02 zł 0,02 zł 0,02 zł - zł 0,02 zł 0,02 zł 0,02 zł 0,02 zł 0,02 zł Polska Polska Polska Polska Polska Polska Polska Polska Polska Polska Polska Polska Polska Polska Polska Polska Polska Polska Polska Polska Polska Polska Polska Polska Polska Polska Polska Polska Polska Polska Polska Polska Polska Polska Polska Polska Polska Polska Polska Polska Polska Polska WrocĹ‚aw WrocĹ‚aw Zamość Zamość Zamość Zamość Zamość Zamość Zamość Zamość Zamość Zamość Zamość Zamość Zamość Zamość Zamość Zamość Zamość Zamość Zamość Zamość Zamość Zamość Zielona GĂłra Zielona GĂłra Zielona GĂłra Zielona GĂłra Zielona GĂłra Zielona GĂłra Zielona GĂłra Zielona GĂłra Zielona GĂłra Zielona GĂłra Zielona GĂłra Zielona GĂłra Zielona GĂłra Zielona GĂłra Zielona GĂłra Zielona GĂłra Zielona GĂłra Zielona GĂłra Mobyland Sp. z o.o. UPC Polska Sp. z o.o. Tpsa Polkomtel S.A. Multimedia Polska - PoĹ‚udnie PTC Sp. z o.o. EXATEL S.A. NOM Multimedia Polska S.A. o2.pl Sp. z o.o. GTS Polska Sp. z o.o. Telefonia Dialog S.A. Gadu-Gadu S.A. Telekontakt24 Sp. z o.o. PTK Centertel Sp. z o.o. Netia S.A. Peoplefone Polska S.A. NORDISK Polska Sp. z o.o. VARS Sp. z o.o. IQ Telecom Sp. z o.o. EASYCALL.PL Sp. z o.o. GTS Energis Sp. z o.o. NASK Telekomunikacja Kolejowa Sp. z o.o. Tpsa Polkomtel S.A. Telefonia Dialog S.A. Spółdzielnia Telekomunikacyjna w ZbÄ…szyniu GTS Polska Sp. z o.o. Netia S.A. Telekomunikacja Kolejowa Sp. z o.o. EXATEL S.A. Vectra S.A. GTS Energis Sp. z o.o. o2.pl Sp. z o.o. Gadu-Gadu S.A. ASTER Sp. z o.o. Telekontakt24 Sp. z o.o. PTC Sp. z o.o. PTK Centertel Sp. z o.o. NASK Internet Cable Provider Sp. z o.o. geographic geographic geographic geographic geographic geographic geographic geographic geographic geographic geographic geographic geographic geographic geographic geographic geographic geographic geographic geographic geographic geographic geographic geographic geographic geographic geographic geographic geographic geographic geographic geographic geographic geographic geographic geographic geographic geographic geographic geographic geographic geographic 0,09 zł 0,09 zł 0,04 zł 0,09 zł 0,09 zł 0,09 zł 0,08 zł 0,09 zł 0,09 zł 0,09 zł 0,07 zł 0,08 zł 0,09 zł 0,09 zł 0,09 zł 0,07 zł 0,09 zł 0,09 zł 0,09 zł 0,09 zł 0,09 zł 0,07 zł 0,09 zł 0,07 zł 0,04 zł 0,09 zł 0,08 zł 0,09 zł 0,07 zł 0,07 zł 0,07 zł 0,08 zł 0,09 zł 0,07 zł 0,09 zł 0,09 zł 0,09 zł 0,09 zł 0,09 zł 0,09 zł 0,09 zł 0,09 zł 0,12 zł 0,12 zł 0,05 zł 0,12 zł 0,12 zł 0,12 zł 0,10 zł 0,12 zł 0,12 zł 0,12 zł 0,09 zł 0,10 zł 0,12 zł 0,12 zł 0,12 zł 0,09 zł 0,12 zł 0,12 zł 0,12 zł 0,12 zł 0,12 zł 0,09 zł 0,12 zł 0,09 zł 0,05 zł 0,12 zł 0,10 zł 0,12 zł 0,09 zł 0,09 zł 0,09 zł 0,10 zł 0,12 zł 0,09 zł 0,12 zł 0,12 zł 0,12 zł 0,12 zł 0,12 zł 0,12 zł 0,12 zł 0,12 zł 0,02 zł 0,02 zł 0,01 zł 0,02 zł 0,02 zł 0,02 zł 0,02 zł 0,02 zł 0,02 zł 0,02 zł 0,02 zł 0,02 zł 0,02 zł 0,02 zł 0,02 zł 0,02 zł 0,02 zł 0,02 zł 0,02 zł 0,02 zł 0,02 zł 0,02 zł 0,02 zł 0,02 zł 0,01 zł 0,02 zł 0,02 zł 0,02 zł 0,02 zł 0,02 zł 0,02 zł 0,02 zł 0,02 zł 0,02 zł 0,02 zł 0,02 zł 0,02 zł 0,02 zł 0,02 zł 0,02 zł 0,02 zł 0,02 zł Polska Polska Polska Polska Polska Polska Polska Polska Polska Polska Polska Polska Polska Polska Polska Polska Polska Polska Polska Polska Polska Polska Polska Polska Polska Polska Polska Polska Polska Polska Polska Polska Polska Polska Polska Polska Polska Polska Polska Polska Polska Polska Zielona GĂłra Zielona GĂłra Zielona GĂłra Zielona GĂłra Zielona GĂłra Zielona GĂłra Zielona GĂłra Zielona GĂłra T-Mobile HEYAH ORANGE Centertel PLUS SAMI SWOI Play Telekomunikacja Kolejowa MNI Telecom NORDISK Polska MOBYLAND AERO 2 SFERIA CenterNet GADU-GADU Telefonia Dialog E-Telko GTS Energis MPAY Cyfrowy POLSAT Numeracja VoIP Abonenckie UsĹ‚ugi Specjalne Abonenckie UsĹ‚ugi Specjalne Abonenckie UsĹ‚ugi Specjalne Abonenckie UsĹ‚ugi Specjalne Abonenckie UsĹ‚ugi Specjalne Abonenckie UsĹ‚ugi Specjalne Abonenckie UsĹ‚ugi Specjalne Abonenckie UsĹ‚ugi Specjalne Internet Serwisa Specjalny 70 Serwisa Specjalny 70 Serwisa Specjalny 70 Serwisa Specjalny 70 Hyperion S.A. Peoplefone Polska S.A. EASYCALL.PL Sp. z o.o. IQ Telecom Sp. z o.o. Wektor Sp. z o.o. NORDISK Polska Sp. z o.o. Crowley Data Poland Sp. z o.o. VARS Sp. z o.o. Polska Telefonia Cyfrowa Sp. z o.o. Polska Telefonia Cyfrowa Sp. z o.o. PTK Centertel Sp. z o.o. PTK Centertel Sp. z o.o. POLKOMTEL S.A. POLKOMTEL S.A. P4 Sp. z o.o. Telekomunikacja Kolejowa Sp. z o.o. MNI Telecom Sp. z o.o. NORDISK Polska Sp. z o.o. MOBYLAND Sp. z o.o. AERO 2 Sp. z o.o. SFERIA S.A. CenterNet S.A. GADU-GADU S.A. Telefonia Dialog S.A. E-Telko Sp. z o.o. GTS Energis Sp. z o.o. MPAY S.A. Cyfrowy POLSAT S.A. Numeracja VoIP AUS (PozostaĹ‚e) ASI TP (19229) informacja miejska TP (19491) Bank Danych TP (19493) AUS (19757) alarmowe MiÄ™dzynarodowe Biuro NumerĂłw TP (118 912) Biuro NumerĂłw TP (118 913) Internet Serwisa Specjalny 7001 Serwisa Specjalny 7002 Serwisa Specjalny 7003 Serwisa Specjalny 7004 geographic geographic geographic geographic geographic geographic geographic geographic mobile mobile mobile mobile mobile mobile mobile mobile mobile mobile mobile mobile mobile mobile mobile mobile mobile mobile mobile mobile geographic aus aus aus aus aus emergency aus aus geographic premium premium premium premium 0,09 zł 0,09 zł 0,09 zł 0,09 zł 0,09 zł 0,09 zł 0,09 zł 0,09 zł 0,14 zł 0,14 zł 0,14 zł 0,14 zł 0,14 zł 0,14 zł 0,14 zł - zł 0,14 zł 0,14 zł 0,14 zł 0,14 zł 0,14 zł 0,14 zł - zł 0,14 zł 0,14 zł - zł - zł 0,14 zł 0,09 zł 3,44 zł - zł - zł - zł 1,56 zł - zł 3,59 zł 3,59 zł 0,09 zł 0,45 zł 1,64 zł 2,64 zł 3,28 zł 0,12 zł 0,12 zł 0,12 zł 0,12 zł 0,12 zł 0,12 zł 0,12 zł 0,12 zł 0,17 zł 0,17 zł 0,17 zł 0,17 zł 0,17 zł 0,17 zł 0,17 zł - zł 0,17 zł 0,17 zł 0,17 zł 0,17 zł 0,17 zł 0,17 zł - zł 0,17 zł 0,17 zł - zł - zł 0,17 zł 0,12 zł 4,23 zł - zł - zł - zł 1,92 zł - zł 4,42 zł 4,42 zł 0,12 zł 0,56 zł 2,02 zł 3,25 zł 4,04 zł 0,02 zł 0,02 zł 0,02 zł 0,02 zł 0,02 zł 0,02 zł 0,02 zł 0,02 zł 0,03 zł 0,03 zł 0,03 zł 0,03 zł 0,03 zł 0,03 zł 0,03 zł - zł 0,03 zł 0,03 zł 0,03 zł 0,03 zł 0,03 zł 0,03 zł - zł 0,03 zł 0,03 zł - zł - zł 0,03 zł 0,02 zł 0,79 zł - zł - zł - zł 0,36 zł - zł 0,83 zł 0,83 zł 0,02 zł 0,10 zł 0,38 zł 0,61 zł 0,75 zł Polska Polska Polska Polska Polska Polska Polska Polska Polska Polska Polska Polska Polska Polska Polska Polska Polska Polska Polska Polska Polska Polska Polska Polska Polska Polska Polska Polska Polska Polska Polska Polska Polska Polska Polska Polska Polska Polska Polska Polska Polska Polska Serwisa Specjalny 70 Serwisa Specjalny 70 Serwisa Specjalny 70 Serwisa Specjalny 70 Serwisa Specjalny 70 Serwisa Specjalny 70 Serwisa Specjalny 70 Serwisa Specjalny 70 Serwisa Specjalny 70 Serwisa Specjalny 70 Serwisa Specjalny 70 Serwisa Specjalny 70 Serwisa Specjalny 70 Serwisa Specjalny 70 Serwisa Specjalny 70 Serwisa Specjalny 70 Serwisa Specjalny 70 Serwisa Specjalny 70 Serwisa Specjalny 70 Serwisa Specjalny 70 Serwisa Specjalny 70 Serwisa Specjalny 70 Serwisa Specjalny 70 Serwisa Specjalny 70 Serwisa Specjalny 70 Serwisa Specjalny 70 Serwisa Specjalny 70 Serwisa Specjalny 70 Serwisa Specjalny 70 Serwisa Specjalny 80 Serwisa Specjalny 80 Serwisa Specjalny 80 Serwisa Specjalny 80 Serwisa Specjalny 80 Serwisa Specjalny 80 Serwisa Specjalny 80 Serwisa Specjalny 80 Serwisa Specjalny 80 Serwisa Specjalny 80 Serwisa Specjalny 80 Serwisa Specjalny 80 Serwisa Specjalny 80 Serwisa Specjalny 7005 Serwisa Specjalny 7006 Serwisa Specjalny 7007 Serwisa Specjalny 7008 Serwisa Specjalny 7009 Serwisa Specjalny 7011 Serwisa Specjalny 7012 Serwisa Specjalny 7013 Serwisa Specjalny 7014 Serwisa Specjalny 7015 Serwisa Specjalny 7016 Serwisa Specjalny 7017 Serwisa Specjalny 7018 Serwisa Specjalny 7019 Serwisa Specjalny 7081 Serwisa Specjalny 7082 Serwisa Specjalny 7083 Serwisa Specjalny 7084 Serwisa Specjalny 7085 Serwisa Specjalny 7086 Serwisa Specjalny 7087 Serwisa Specjalny 7088 Serwisa Specjalny 7089 Serwisa Specjalny 7071 Serwisa Specjalny 7072 Serwisa Specjalny 7073 Serwisa Specjalny 7074 Serwisa Specjalny 7075 Serwisa Specjalny 7076 Serwisa Specjalny 8001 (TP) Serwisa Specjalny 8002 (TP) Serwisa Specjalny 8003 (TP) Serwisa Specjalny 8004 (TP) Serwisa Specjalny 8005 (TP) Serwisa Specjalny 8006 (TP) Serwisa Specjalny 8007 (pozostali operatorzy) Serwisa Specjalny 8008 (pozostali operatorzy) Serwisa Specjalny 8009 (pozostali operatorzy) Serwisa Specjalny 8011 Serwisa Specjalny 8012 Serwisa Specjalny 8013 Serwisa Specjalny 8014 premium premium premium premium premium premium premium premium premium premium premium premium premium premium premium premium premium premium premium premium premium premium premium premium premium premium premium premium premium premium premium premium premium premium premium premium premium premium premium premium premium premium 4,69 zł 5,41 zł 6,25 zł 9,77 zł - zł 0,45 zł 1,64 zł 2,64 zł 3,28 zł 4,69 zł 5,41 zł 6,25 zł 9,77 zł - zł 0,45 zł 1,64 zł 2,64 zł 3,28 zł 4,69 zł 5,41 zł 6,25 zł 9,77 zł - zł - zł - zł - zł - zł - zł - zł - zł - zł - zł - zł - zł - zł 0,09 zł 0,09 zł 0,09 zł 0,45 zł 0,45 zł 0,45 zł 0,08 zł 5,77 zł 6,65 zł 7,69 zł 12,01 zł - zł 0,56 zł 2,02 zł 3,25 zł 4,04 zł 5,77 zł 6,65 zł 7,69 zł 12,01 zł - zł 0,56 zł 2,02 zł 3,25 zł 4,04 zł 5,77 zł 6,65 zł 7,69 zł 12,01 zł - zł - zł - zł - zł - zł - zł - zł - zł - zł - zł - zł - zł - zł 0,12 zł 0,12 zł 0,12 zł 0,56 zł 0,56 zł 0,56 zł 0,09 zł 1,08 zł 1,24 zł 1,44 zł 2,25 zł - zł 0,10 zł 0,38 zł 0,61 zł 0,75 zł 1,08 zł 1,24 zł 1,44 zł 2,25 zł - zł 0,10 zł 0,38 zł 0,61 zł 0,75 zł 1,08 zł 1,24 zł 1,44 zł 2,25 zł - zł - zł - zł - zł - zł - zł - zł - zł - zł - zł - zł - zł - zł 0,02 zł 0,02 zł 0,02 zł 0,10 zł 0,10 zł 0,10 zł 0,02 zł Polska Polska Polska Polska Polska Polska Polska Polska Polska Polska Serwisa Specjalny 80 Serwisa Specjalny 80 Serwisa Specjalny 80 Serwisa Specjalny 80 Serwisa Specjalny 80 Serwisa Specjalny 80 Serwisa Specjalny 80 Serwisa Specjalny 80 Serwis Specjalny 64 Serwis Specjalny 64 Serwisa Specjalny 8015 Serwisa Specjalny 8016 Serwisa Specjalny 8017 Serwisa Specjalny 8018 Serwisa Specjalny 8019 Serwisa Specjalny 8010 Serwisa Specjalny 8041 Serwisa Specjalny 8042 Serwis Specjalny 6422 Serwis Specjalny 64 premium premium premium premium premium premium premium premium premium premium 0,61 zł 0,61 zł 0,45 zł 0,45 zł 0,30 zł 0,61 zł 0,39 zł 0,55 zł 6,25 zł 0,19 zł 0,75 zł 0,75 zł 0,56 zł 0,56 zł 0,37 zł 0,75 zł 0,48 zł 0,67 zł 7,69 zł 0,23 zł 0,14 zł 0,14 zł 0,10 zł 0,10 zł 0,07 zł 0,14 zł 0,09 zł 0,13 zł 1,44 zł 0,04 zł