Zadania do przerobienia na zajęciach

Transkrypt

Zadania do przerobienia na zajęciach
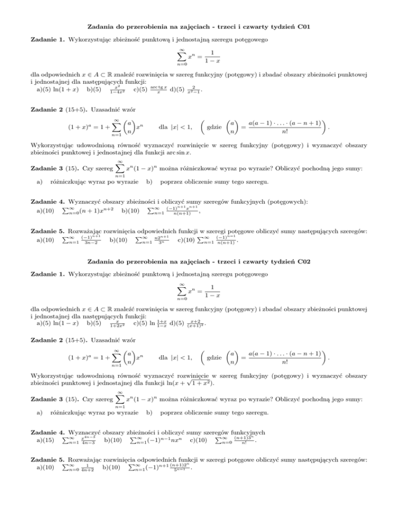
Zadania do przerobienia na zajęciach - trzeci i czwarty tydzień C01
Zadanie 1. Wykorzystując zbieżność punktową i jednostajną szeregu potęgowego
∞
X
xn =
n=0
1
1−x
dla odpowiednich x ∈ A ⊂ R znaleźć rozwinięcia w szereg funkcyjny (potęgowy) i zbadać obszary zbieżności punktowej
i jednostajnej dla następujących funkcji:
x2
a)(5) ln(1 + x) b)(5) 1−4x
c)(5) arcxtg x d)(5) x22−1 .
2
Zadanie 2 (15+5). Uzasadnić wzór
∞ X
a n
a
(1 + x) = 1 +
x
n
n=1
dla |x| < 1,
a
a(a − 1) · . . . · (a − n + 1)
gdzie
=
.
n
n!
Wykorzystując udowodnioną równość wyznaczyć rozwinięcie w szereg funkcyjny (potęgowy) i wyznaczyć obszary
zbieżności punktowej i jednostajnej dla funkcji arc sin x.
Zadanie 3 (15). Czy szereg
∞
X
xn (1 − x)n można różniczkować wyraz po wyrazie? Obliczyć pochodną jego sumy:
n=1
a)
różniczkując wyraz po wyrazie
b)
poprzez obliczenie sumy tego szeregu.
Zadanie 4. Wyznaczyć obszary zbieżności i obliczyć sumy szeregów funkcyjnych (potęgowych):
P∞
P∞ (−1)n+1 xn+1
n+2
,
a)(10)
b)(10)
n=0 (n + 1)x
n=1
n(n+1)
Zadanie 5. Rozważając rozwinięcia odpowiednich funkcji w szeregi potęgowe obliczyć sumy następujących szeregów:
n=1
P∞ n2n+1
P∞
P∞ (−1)n+1
b)(10)
c)(10) n=1 (−1)
a)(10)
n=1 3n
n=1 3n−2
n(n+1) .
Zadania do przerobienia na zajęciach - trzeci i czwarty tydzień C02
Zadanie 1. Wykorzystując zbieżność punktową i jednostajną szeregu potęgowego
∞
X
xn =
n=0
1
1−x
dla odpowiednich x ∈ A ⊂ R znaleźć rozwinięcia w szereg funkcyjny (potęgowy) i zbadać obszary zbieżności punktowej
i jednostajnej dla następujących funkcji:
x
1+x
x+2
a)(5) ln(1 − x) b)(5) 1+2x
c)(5) ln 1−x
d)(5) (x+1)
2
2.
Zadanie 2 (15+5). Uzasadnić wzór
∞ X
a n
a
(1 + x) = 1 +
x
n
n=1
dla |x| < 1,
a
a(a − 1) · . . . · (a − n + 1)
gdzie
=
.
n!
n
Wykorzystując udowodnioną równość wyznaczyć rozwinięcie
w szereg funkcyjny (potęgowy) i wyznaczyć obszary
√
zbieżności punktowej i jednostajnej dla funkcji ln(x + 1 + x2 ).
Zadanie 3 (15). Czy szereg
∞
X
xn (1 − x)n można różniczkować wyraz po wyrazie? Obliczyć pochodną jego sumy:
n=1
a)
różniczkując wyraz po wyrazie
b)
poprzez obliczenie sumy tego szeregu.
Zadanie 4. Wyznaczyć obszary zbieżności i obliczyć sumy szeregów funkcyjnych
P∞ x4n−3
P∞
P∞ (n+1)3n
n−1
a)(15)
b)(10)
nxn c)(10)
.
n=1 4n−3
n=1 (−1)
n=0
n!
Zadanie 5.PRozważając rozwinięcia
funkcji
w szeregi potęgowe obliczyć sumy następujących szeregów:
n
P∞odpowiednich
∞
1
n+1 (n+1)2
a)(10)
b)(10)
(−1)
.
n=1
n=0 4n+2
n=1
5
Zadania do przerobienia na zajęciach - trzeci i czwarty tydzień C03
Zadanie 1. Wykorzystując zbieżność punktową i jednostajną szeregu potęgowego
∞
X
xn =
n=0
1
1−x
dla odpowiednich x ∈ A ⊂ R znaleźć rozwinięcia w szereg funkcyjny (potęgowy) i zbadać obszary zbieżności punktowej
i jednostajnej dla następujących funkcji:
1
x3
a)(10) (1−x)
b)(5) 1+9x
c)(10) x ln(1 − 2x) d)(10) x22x
2
2
−1 .
Zadanie 2 (15+5). Uzasadnić wzór
∞ X
a n
a
(1 + x) = 1 +
x
n
n=1
dla |x| < 1,
a
a(a − 1) · . . . · (a − n + 1)
.
gdzie
=
n!
n
Wykorzystując udowodnioną równość wyznaczyć rozwinięcie w szereg funkcyjny (potęgowy) i wyznaczyć obszary
x
zbieżności punktowej i jednostajnej dla funkcji √1−x
.
2
Zadanie 3 (15). Czy szereg
∞
X
xn (1 − x)n można różniczkować wyraz po wyrazie? Obliczyć pochodną jego sumy:
n=1
a)
różniczkując wyraz po wyrazie
b)
poprzez obliczenie sumy tego szeregu.
Zadanie 4. Wyznaczyć obszary zbieżności i obliczyć sumy szeregów funkcyjnych (potęgowych):
P∞
P∞ (−1)n
P∞
n
n x3n+1
b)(10)
c)(15)
a)(15)
n=0 (n + 2)x
n=2 n2 +n−2 .
n=0 (−1) 3n+1
Zadanie 5.PRozważając
rozwinięcia
odpowiednich funkcji w szeregi potęgowe obliczyć sumy następujących szeregów:
P∞
∞ (−1)n
3n
a)(10)
b)(10)
n=1 2n+1
n=1 n 7n+1 .
Zadania do przerobienia na zajęciach - trzeci i czwarty tydzień C04
Zadanie 1. Wykorzystując zbieżność punktową i jednostajną szeregu potęgowego
∞
X
xn =
n=0
1
1−x
dla odpowiednich x ∈ A ⊂ R znaleźć rozwinięcia w szereg funkcyjny (potęgowy) i zbadać obszary zbieżności punktowej
i jednostajnej dla następujących funkcji:
x2
x
a)(10) arc tg x b)(5) 1−9x
c)(10) x2 ln(1 + 3x) d)(10) (x+1)
2
2.
Zadanie 2 (15+5). Uzasadnić wzór
∞ X
a n
(1 + x)a = 1 +
x
n
n=1
dla |x| < 1,
gdzie
a
a(a − 1) · . . . · (a − n + 1)
=
.
n
n!
Wykorzystując udowodnioną równość wyznaczyć rozwinięcie w szereg funkcyjny (potęgowy) i wyznaczyć obszary
x
zbieżności punktowej i jednostajnej dla funkcji √1+x
.
2
Zadanie 3 (15). Czy szereg
∞
X
xn (1 − x)n można różniczkować wyraz po wyrazie? Obliczyć pochodną jego sumy:
n=1
a)
różniczkując wyraz po wyrazie
b)
poprzez obliczenie sumy tego szeregu.
Zadanie 4. Rozważając rozwinięcia odpowiednich funkcji w szeregi potęgowe obliczyć sumy następujących szeregów:
P∞ x2n+2
P∞
n+1
a)(10)
b)(10)
(n + 2)xn .
n=0 2n+1
n=0 (−1)
Zadanie 5. Rozważając rozwinięcia odpowiednich funkcji w szeregi potęgowe obliczyć sumy następujących szeregów:
P∞ (−1)n+1
P∞ n+2
P∞ (−1)n n
a)(15)
b)(10)
c)(10) n=0 (2n+1)!
.
n=0 4n−3
n=0 3n