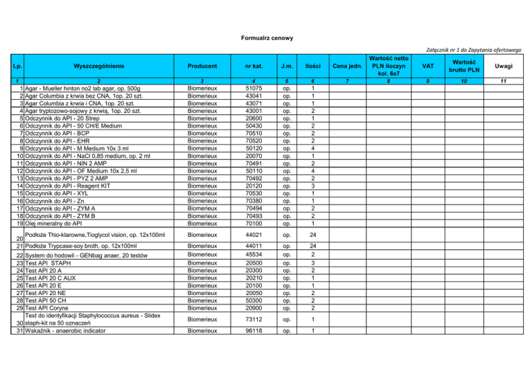
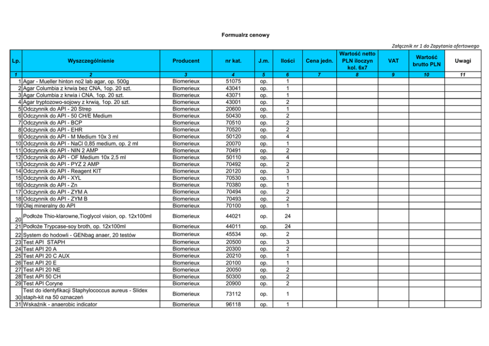
Lp. Wyszczególnienie Producent nr kat. J.m. Ilości Cena jedn

Transkrypt

Lp. Wyszczególnienie Producent nr kat. J.m. Ilości Cena jedn
Formualrz cenowy
Załącznik nr 1 do Zapytania ofertowego
Lp.
Wyszczególnienie
Producent
nr kat.
J.m.
Ilości
Cena jedn.
Wartość netto
PLN iloczyn
kol. 6x7
VAT
Wartość
brutto PLN
Uwagi
1
2
3
4
5
6
7
8
9
10
11
Biomerieux
Biomerieux
Biomerieux
Biomerieux
Biomerieux
Biomerieux
Biomerieux
Biomerieux
Biomerieux
Biomerieux
Biomerieux
Biomerieux
Biomerieux
Biomerieux
Biomerieux
Biomerieux
Biomerieux
Biomerieux
Biomerieux
51075
43041
43071
43001
20600
50430
70510
70520
50120
20070
70491
50110
70492
20120
70530
70380
70494
70493
70100
op.
op.
op.
op.
op.
op.
op.
op.
op.
op.
op.
op.
op.
op.
op.
op.
op.
op.
op.
1
1
1
2
1
2
2
2
4
1
2
4
2
3
1
1
2
2
1
Biomerieux
44021
op.
24
Biomerieux
Biomerieux
Biomerieux
Biomerieux
Biomerieux
Biomerieux
Biomerieux
Biomerieux
Biomerieux
44011
45534
20500
20300
20210
20100
20050
50300
20900
op.
op.
op.
op.
op.
op.
op.
op.
op.
24
2
3
2
1
1
2
2
2
Biomerieux
73112
op.
1
Biomerieux
96118
op.
1
1
2
3
4
5
6
7
8
9
10
11
12
13
14
15
16
17
18
19
Agar - Mueller hinton no2 lab agar, op. 500g
Agar Columbia z krwia bez CNA, 1op. 20 szt.
Agar Columbia z krwia i CNA, 1op. 20 szt.
Agar tryptozowo-sojowy z krwią, 1op. 20 szt.
Odczynnik do API - 20 Strep
Odczynnik do API - 50 CH/E Medium
Odczynnik do API - BCP
Odczynnik do API - EHR
Odczynnik do API - M Medium 10x 3 ml
Odczynnik do API - NaCl 0,85 medium, op. 2 ml
Odczynnik do API - NIN 2 AMP
Odczynnik do API - OF Medium 10x 2,5 ml
Odczynnik do API - PYZ 2 AMP
Odczynnik do API - Reagent KIT
Odczynnik do API - XYL
Odczynnik do API - Zn
Odczynnik do API - ZYM A
Odczynnik do API - ZYM B
Olej mineralny do API
Podłoże Thio-klarowne,Tioglycol vision, op. 12x100ml
20
21 Podłoże Trypcase-soy broth, op. 12x100ml
System do hodowli - GENbag anaer, 20 testów
Test API STAPH
Test API 20 A
Test API 20 C AUX
Test API 20 E
Test API 20 NE
Test API 50 CH
Test API Coryne
Test do identyfikacji Staphylococcus aureus - Slidex
30 staph-kit na 50 oznaczeń
31 Wskaźnik - anaerobic indicator
22
23
24
25
26
27
28
29
RAZEM
Uwaga:
Podane ilości są wartościami szacunkowymi. Zamawiający zastrzega sobie prawo do zamówienia mniejszej ilości
asortymentu. Wykonawca nie może z tego tytułu kierować roszczenia w stosunku do Zamawiającego.
Zamawiający zastrzega sobie prawo do zamówienia większej ilości towaru, aż do wyczerpania kwoty przeznaczonej
na sfinansowanie niniejszego zamówienia – rozliczenie nastąpi na podstawie wskazanych przez Wykonawcę cen
jednostkowych. Wykonawca nie może kierować roszczenia w stosunku do Zamawiającego w przypadku nie
skorzystania przez Zamawiającego z powyższego uprawnienia.
________________ dnia ____ ____ 2016 roku
_______________________________
podpis osoby (osób) uprawnionej(ych) do