Wprowadzenie do wytwarzania rozproszonego energii elektrycznej i

Transkrypt

Wprowadzenie do wytwarzania rozproszonego energii elektrycznej i
Wprowadzenie do wytwarzania rozproszonego energii elektrycznej i ciepła
(J. Paska)
1. Przyczyny rozwoju wytwarzania rozproszonego, definicje i klasyfikacja
Generacja rozproszona - małe (o mocy znamionowej do 50-150 MW) jednostki lub obiekty wytwórcze,
1
przyłączane bezpośrednio do sieci rozdzielczych lub zlokalizowane w sieci elektroenergetycznej odbiorcy
(za urządzeniem kontrolno-rozliczeniowym), nie podlegające centralnemu planowaniu rozwoju
i dysponowaniu mocą, często produkujące energię elektryczną z energii odnawialnych lub
niekonwencjonalnych, równie często w skojarzeniu z wytwarzaniem ciepła.
Według dyrektywy Unii Europejskiej 2009/28/WE termin „energia ze źródeł odnawialnych” oznacza
energię z odnawialnych źródeł niekopalnych, a mianowicie energię wiatru, energię promieniowania
słonecznego, energię aerotermalną, geotermalną i hydrotermalną i energię oceanów, hydroenergię, energię
pozyskiwaną z biomasy, gazu pochodzącego z wysypisk śmieci, oczyszczalni ścieków i ze źródeł
biologicznych (biogaz); (‘energy from renewable sources’ means energy from renewable non-fossil sources,
namely wind, solar, aerothermal, geothermal, hydrothermal and ocean energy, hydropower, biomass, landfill
gas, sewage treatment plant gas and biogases).
Wg Prawa Energetycznego: Odnawialne źródło energii – źródło wykorzystujące w procesie przetwarzania
energię wiatru, promieniowania słonecznego, geotermalną, fal, prądów i pływów morskich, spadku rzek oraz
energię pozyskiwaną z biomasy, biogazu wysypiskowego, a także biogazu powstałego w procesach
odprowadzania lub oczyszczania ścieków albo rozkładu składowanych szczątek roślinnych i zwierzęcych.
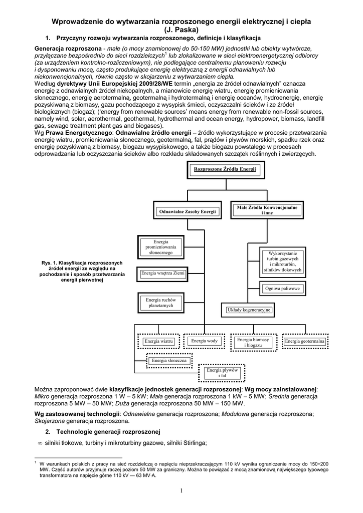
Rozproszone Źródła Energii
Odnawialne Zasoby Energii
Małe Źródła Konwencjonalne
i inne
Energia
promieniowania
słonecznego
Rys. 1. Klasyfikacja rozproszonych
źródeł energii ze względu na
pochodzenie i sposób przetwarzania
energii pierwotnej
Wykorzystanie
turbin gazowych
i mikroturbin,
silników tłokowych
Energia wnętrza Ziemi
Ogniwa paliwowe
Energia ruchów
planetarnych
Układy kogeneracyjne
Energia wody
Energia wiatru
Energia biomasy
i biogazu
Energia geotermalna
Energia słoneczna
Energia pływów
i fal
Można zaproponować dwie klasyfikacje jednostek generacji rozproszonej: Wg mocy zainstalowanej:
Mikro generacja rozproszona 1 W – 5 kW; Mała generacja rozproszona 1 kW – 5 MW; Średnia generacja
rozproszona 5 MW – 50 MW; Duża generacja rozproszona 50 MW – 150 MW.
Wg zastosowanej technologii: Odnawialna generacja rozproszona; Modułowa generacja rozproszona;
Skojarzona generacja rozproszona.
2. Technologie generacji rozproszonej
• silniki tłokowe, turbiny i mikroturbiny gazowe, silniki Stirlinga;
1
W warunkach polskich z pracy na sieć rozdzielczą o napięciu nieprzekraczającym 110 kV wynika ograniczenie mocy do 150÷200
MW. Część autorów przyjmuje raczej poziom 50 MW za graniczny. Można to powiązać z mocą znamionową największego typowego
transformatora na napięcie górne 110 kV — 63 MV·A.
1
Wprowadzenie do wytwarzania rozproszonego energii elektrycznej i ciepła
(J. Paska)
• ogniwa paliwowe;
• układy skojarzone oparte na turbinach gazowych, silnikach tłokowych, silnikach Stirlinga i ogniwach
paliwowych;
• małe elektrownie wodne;
• elektrownie wiatrowe;
• elektrownie geotermiczne;
• systemy fotowoltaiczne;
• układy heliotermiczne (z centralnym odbiornikiem i zdecentralizowane);
• technologie wykorzystujące biomasę i odpady;
• technologie wykorzystujące: pływy, prądy i falowanie mórz oraz ciepło oceaniczne;
• zasobniki energii.
Tablica 1. Charakterystyka wybranych technologii generacji rozproszonej
Technologia
Silniki Diesla
Silniki gazowe
Turbiny gazowe
Mikroturbiny
Ogniwa paliwowe
Małe elektrownie wodne
Systemy fotowoltaiczne
Systemy heliotermiczne
Elektrownie wiatrowe na lądzie
Elektrownie wiatrowe na morzu
Elektrownie na biomasę
Elektrownie biogazowe
Elektrownie na biogaz
składowiskowy
Moc
jednostek,
kW
Sprawność,
%
5÷10000
50÷5000
1000
25÷400
1÷1000
< 5 (10) MW
+4
1÷100
≈10 MW
3÷100 MW
100÷300 MW
≈5 MW
300
25÷45
28÷42
30÷40
30÷35
35÷54
80÷90
10÷20
40÷45
40÷45
45÷50
22÷26
29÷33
Jednostkowe
nakłady
2
inwestycyjne ,
Euro/kW
550÷1350
250÷600
200÷400
500÷750
2000÷8000
2500÷6600
4100÷6900
4000÷6000
1000÷1370
1750÷2750
2900÷5080
2960÷5790
≈5 MW
32÷36
1400÷2000
3
Emisja
CO2,
kg/(MW⋅⋅h)
Czas
budowy, lat
670÷690
500÷620
520÷600
520÷600
430÷490
3,5÷32
40÷110
135
7÷30
9÷22
42
245
1
1
1
1
1
3
0
2
1
2
2
1
6
1
3. Generacja rozproszona a system elektroenergetyczny
GRUPY PRZYŁACZENIOWE (rozp. systemowe)
a) grupa I – podmioty, których urządzenia, instalacje i sieci są przyłączane bezpośrednio do sieci o napięciu
znamionowym wyższym niż 110 kV,
b) grupa II – podmioty, których urządzenia, instalacje i sieci są przyłączane bezpośrednio do sieci o
napięciu znamionowym 110 kV,
c) grupa III – podmioty, których urządzenia, instalacje i sieci są przyłączane bezpośrednio do sieci o
napięciu znamionowym wyższym niż 1 kV, lecz niższym niż 110 kV,
d) grupa IV – podmioty, których urządzenia, instalacje i sieci są przyłączane bezpośrednio do sieci o
napięciu znamionowym nie wyższym niż 1 kV oraz o mocy przyłączeniowej większej niż 40 kW lub
prądzie znamionowym zabezpieczenia przedlicznikowego w torze prądowym większym niż 63 A,
e) grupa V – podmioty, których urządzenia, instalacje i sieci są przyłączane bezpośrednio do sieci o
napięciu znamionowym nie wyższym niż 1 kV oraz o mocy przyłączeniowej nie większej niż 40 kW i
prądzie znamionowym zabezpieczenia przedlicznikowego nie większym niż 63 A,
f) grupa VI – podmioty, których urządzenia, instalacje i sieci są przyłączane do sieci poprzez tymczasowe
przyłączenie, które będzie na zasadach określonych w umowie, zastąpione docelowym lub podmioty,
których urządzenia, instalacje i sieci są przyłączane do sieci na czas określony, lecz nie dłuższy niż rok.
Podstawowymi wymogami technicznymi, jakie muszą spełniać odnawialne i niekonwencjonalne źródła
energii przyłączone do systemu elektroenergetycznego są:
• dostarczanie energii odpowiedniej jakości;
• zagwarantowanie niezawodności zasilania;
• zapewnienie pełnego sterowania i monitorowania;
• możliwość prognozowania produkcji i obciążenia;
• współpraca z automatyką zabezpieczeniową.
2
3
4
W cenach roku 2005.
Emisja określona z uwzględnieniem całego cyklu „życia” obiektu (LCA – Life Cycle Assessment).
I więcej – budowane są również systemy fotowoltaiczne o mocach 10 i więcej MW.
2
Wprowadzenie do wytwarzania rozproszonego energii elektrycznej i ciepła
(J. Paska)
SP
GS
OFSP
OFSP
Sieć przesyłowa
OZE
GR
Duże elektrownie wiatrowe
Duże elektrownie wodne
Elektrownie geotermiczne
...
SRn
SR1
GS
GR
GR
GS
OF
Sieć rozdzielcza 110 kV
Sieć rozdzielcza 110 kV
OF
OF
Sieć rozdzielcza SN i nN
Sieć rozdzielcza SN i nN
OF
GR
GR
GR
GR
Elektrownie wiatrowe
Turbiny gazowe
Ogniwa fotowoltaiczne
Małe elektrownie wodne
Ogniwa paliwowe
...
Elektrownie wiatrowe
Turbiny gazowe
Ogniwa fotowoltaiczne
Małe elektrownie wodne
Ogniwa paliwowe
...
Rys. 2. Struktura systemu elektroenergetycznego z udziałem odnawialnych źródeł energii (OZE) i generacji rozproszonej (GR):
SP – system przesyłowy, SR – system rozdzielczy, GS – generacja scentralizowana (systemowa),
GR – generacja rozproszona, OFSP – odbiorca energii z systemu przesyłowego, OF – odbiorca finalny
Tablica 2. Obszary, w których należy rozpatrywać udział generacji rozproszonej w SEE
Obszar
Niezawodność systemu
Regulacja częstotliwości
Sterowanie systemu
Modelowanie systemu
Planowanie rozwoju
Prognozowanie obciążenia
Planowanie remontów, dobór
składu jednostek i rozdział
obciążenia
Bezpieczeństwo pracy systemu
Jakość energii elektrycznej
Automatyka zabezpieczeniowa
Opis
Zależnie od udziału generacji rozproszonej, rodzaju jednostek i ich charakterystyk
niezawodnościowych, oraz przyszłych rezerw mocy w systemie jego niezawodność
może zmaleć lub wzrosnąć.
Może zaistnieć potrzeba stosowania lokalnych urządzeń do regulacji częstotliwości,
a także mogą być potrzebne nowe techniki utrzymywania częstotliwości w
połączonych systemach elektroenergetycznych.
Przy stosowaniu rozproszonych systemów sterowania mogą wystąpić konflikty
z nadrzędnymi systemami sterowania.
Obecnie stosowane metody analizy systemu wykorzystują założenia, które mogą nie
być aktualne przy znaczącym udziale generacji rozproszonej – może okazać się
konieczne opracowanie nowych metod i narzędzi do analiz (np. stabilności).
Przy dużym udziale generacji rozproszonej mogą być potrzebne nowe metody
i narzędzia do planowania rozwoju systemu (np. planowanie w ujęciu regionalnym).
Stosowane metody powinny umożliwiać uwzględnienie zwiększonego udziału
generacji rozproszonej – należy oczekiwać szerszego wykorzystywania metod
sztucznej inteligencji.
Obecnie stosowane metody należy zweryfikować i ewentualnie zmodyfikować, tak aby
uwzględnić wprowadzanie źródeł rozproszonych do systemu.
Należy odpowiednio zmodyfikować narzędzia do oceny bezpieczeństwa pracy
systemu (np. uzupełnić listę potencjalnych zakłóceń o awarie źródeł rozproszonych).
Należy uwzględnić występowanie po stronie źródeł systemu napędów o zmiennej
prędkości oraz urządzeń energoelektronicznych (np. falowniki). Potrzebne będą nowe
narzędzia do analizy i sterowania jakością energii elektrycznej w systemie.
Występowanie źródeł rozproszonych w sieciach rozdzielczych (np. na końcach linii
promieniowych) skomplikuje zagadnienia doboru i koordynacji zabezpieczeń.
3
Wprowadzenie do wytwarzania rozproszonego energii elektrycznej i ciepła
(J. Paska)
Tablica 3. Potencjalne wady i zalety generacji rozproszonej w SEE
Kryterium
Decentralizacja
wytwarzania
Straty energii
Koszty przesyłu
i dystrybucji
Zalety
Umieszczenie źródeł w pobliżu odbiorców
może zwiększać ich świadomość dotyczącą
użytkowania energii, wpływu na środowisko i w
konsekwencji kształtować podejścia
energooszczędne i proekologiczne.
Ograniczenie potencjalnych skutków dla
systemu awarii dużych jednostek.
Powstanie wielu niezależnych podmiotów oraz
tworzenie i rozwój lokalnych rynków energii.
Zmniejszenie strat przesyłu i dystrybucji, gdy
źródła są umieszczone dostateczne blisko
odbiorców.
Obniżenie kosztów rozbudowy sieci.
Redukcja istniejących ograniczeń sieciowych.
Oddziaływanie na
środowisko
Efekt skali
Rozszerzenie
katalogu mocy
jednostek
Usługi systemowe
Pewność zasilania
4.
Korzyści wynikające z wykorzystania źródeł
odnawialnych, skojarzonego wytwarzania
energii elektrycznej i ciepła, paliw o niskiej
emisji (gaz ziemny).
Korzyści wynikające z masowej produkcji
jednostek wytwórczych generacji rozproszonej.
Obniżenie jednostkowych nakładów
inwestycyjnych poprawia konkurencyjność
generacji rozproszonej.
Lepsze możliwości dopasowania do
zapotrzebowania dzięki mniejszym różnicom
między mocami jednostek.
W pojedynczych przypadkach
zapotrzebowanie na usługi systemowe może
zmaleć dzięki odciążeniu elementów systemu.
Na obszarach peryferyjnych systemu pewność
zasilania odbiorców może wzrosnąć.
Wady
Jednostkowe koszty operacyjne
wytwarzania mogą być wyższe niż
w przypadku dużych elektrowni.
W pobliżu małych źródeł może rosnąć
poziom mocy zwarciowych, co podnosi
koszty aparatury sieciowej.
W przypadku większych jednostek
generacji rozproszonej pozbawionych
pobliskich odbiorców straty mogą być
wyższe niż dla generacji scentralizowanej.
Źródła rozproszone mogą stwarzać
zapotrzebowanie na moc bierną,
zwiększając straty sieciowe i wpływając
niekorzystnie na poziomy napięć w sieci.
Rozproszenie źródeł w sieci może
komplikować jej sterowanie i podnosić
koszty automatyki.
Wkomponowanie w krajobraz dużej liczby
obiektów może być niekiedy trudniejsze niż
jednej dużej elektrowni.
Wzrasta prawdopodobieństwo
niewłaściwego zagospodarowania obiektu
po zakończeniu eksploatacji.
Większe jednostki wytwórcze generacji
scentralizowanej mają zwykle wyższą
sprawność.
Koszty marginalne mogą być wyższe
niż dla dużych bloków systemowych.
Po wprowadzeniu generacji rozproszonej
zapotrzebowanie na usługi systemowe
może wzrosnąć, szczególnie z uwagi na
konieczność rezerwowania mocy tych
źródeł.
Generacja rozproszona może obniżać
pewność zasilania w lokalnej sieci
i powodować pogorszenie parametrów
jakościowych energii elektrycznej.
Aktualny i prognozowany stan rozwoju wytwarzania rozproszonego
Tablica 4. Moc zainstalowana i energia elektryczna wytworzona koncesjonowanych instalacji OZE w Polsce
Rodzaj źródła
Liczba instalacji (12.02.2013)
Elektrownie na biogaz
Elektrownie na biomasę
Elektrownie PV
Elektrownie wiatrowe
Elektrownie wodne
Współspalanie
RAZEM
199
27
9
696
770
43
1744
Moc zainstalowana [MW]
Energia [GWh]
2010
2011
2012
2010
2011
2012
80,038
103,487 131,247
398,4
428,0
442,1
259,490 409,680 820,700
312,7
1049,2 1089,5
0,033
1,125
1,290
0,002
0,177
1,048
1106,962 1616,361 2496,748 1664,3 3088,5 3825,3
948,813 951,390 966,103 2919,9 2315,5 1830,1
5592,5 4905,6 5677,9
2395,336 3082,043 4416,045 10888,8 11787,0 12865,9
4
Wprowadzenie do wytwarzania rozproszonego energii elektrycznej i ciepła
(J. Paska)
Tablica 5. Charakterystyka instalacji OZE na świecie (stan na koniec 2008 r.)
Rodzaj źródeł
Potencjał
Źródła energii elektrycznej, moc zainstalowana [GW]
Duże elektrownie wodne
860
Elektrownie wiatrowe
121
Małe elektrownie wodne
85
Elektrownie na biomasę
52
Elektrownie fotowoltaiczne przyłączone do sieci
13
Elektrownie geotermiczne
10
Elektrownie słoneczne heliotermiczne
0,5
Elektrownie pływowe
0,3
Źródła ciepła, [GW⋅⋅h]
Biomasa
∼250
Kolektory słoneczne
145
Geotermia
∼50
Paliwa transportowe [mld l/a]
Etanol
67
Biodiesel
12
OZE – energia elektryczna [TWh/rok]
1200
Rozwój prognozowany
El. wiatrowe na morzu
1000
El. wiatrowe na lądzie
Rozwój obecny
El. maremotoryczne
El. heliotermiczne
800
Systemy PV
El. wodne duże
600
MEW
El. geotermiczne
400
El. na bioodpady
El. na biomasę
200
El. biogazowe
0 1997
2000
2005
2010
2015
2020
Rys. 3. Stan obecny i przewidywany rozwój energetyki odnawialnej w UE do roku 2020
Tablica 6. Realny potencjał ekonomiczny odnawialnych zasobów energii w Polsce (wg „Możliwości
wykorzystania odnawialnych źródeł energii w Polsce do roku 2020”)
Rodzaje odnawialnych zasobów energii Realny potencjał ekonomiczny – energia końcowa, TJ
Energetyka słoneczna, w tym
83 312,2
Ciepło, w tym
83 152,9
przygotowanie ciepłej wody użytkowej
36 491,9
centralne ogrzewanie
46 661,0
Fotowoltaiczna
159,3
Energia geotermalna, w tym
12 367,0
Geotermia głęboka
4 200,0
Geotermia płytka
8 167,0
Biomasa, w tym
600 167,8
Odpady stałe suche
165 930,8
Biogaz (odpady mokre)
123 066,3
Drewno opałowe
24 451,8
Uprawy energetyczne, w tym
286 718,9
celulozowe
145 600,0
cukrowo-skrobiowe-bioetanol
21 501,0
rzepak – biodiesel
37 980,0
kiszonki kukurydzy – biogaz
81 637,9
Energetyka wodna
17 974,4
Energetyka wiatrowa, w tym
444 647,6
na lądzie
377 242,5
na morzu
67 405,0
RAZEM
1 158 469
5
Wprowadzenie do wytwarzania rozproszonego energii elektrycznej i ciepła
(J. Paska)
Rys. 4. Prognoza struktury produkcji energii elektrycznej oraz mocy osiągalnej netto źródeł (wg ARE S.A.)
6