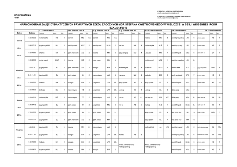
harmonogram zajęć dydaktycznych prywatnych

Transkrypt

harmonogram zajęć dydaktycznych prywatnych
DYREKTOR - URSZULA KWIETNIOWSKA
email: [email protected]
ROK ZAŁOŻENIA
1997
DYREKTOR PERSONALNY - ŁUKASZ KWIETNIOWSKI
email: [email protected]
HARMONOGRAM ZAJĘĆ DYDAKTYCZNYCH PRYWATNYCH SZKÓŁ ZAOCZNYCH MGR STEFANA KWIETNIOWSKIEGO W WIELICZCE W SESJI WIOSENNEJ ROKU
SZK.2012/2013
1 L 3-letnie sem I
Dzień
Godziny
Przedmiot
2 Lc 3-letnie sem III
Naucz.
Sala
Przedmiot
Naucz.
3Lg 3-letnie sem VI
2Lg 3-letnie sem IV
Sala
Przedmiot
14.00-15.30
matematyka
HŚ
1
tech inf
MG
11A
15.40-17.10
język angielski
MU
1
podst przeds
MSZ
2
podst przed
17.20-18.50
chemia
MT
1
język francuski
AG
2
19.00-20.30
podst przed
MSZ
1
chemia
MT
8.00-9.30
język polski
EL
1
język francuski
9.40-11.10
język polski
EL
1
11.20-12.50
historia
MK
13.00-14.30
biologia
14.00-15.30
tech inf
Naucz.
Sala
Przedmiot
Naucz.
MG
11A
M.Sz
2
hist eu
MK
historia
MK
3
język ang ep
MU
2
j.ang zaaw
MU
3
AG
2
biologia
BM
3
matematyka
AS
język polski
IO
2
matematyka
AS
3
j. ang eu
1
biologia
BM
2
j.angielski
U/W
3/6.
BM
1
matematyka
TZ
2
j.angielski
U/W
matematyka
H.Ś
1
matematyka
TZ
2
matematyka
15.40-17.10
język polski
EL
1
język polski
IO
2
17.20-18.50
język angielski
MU
1
język polski
IO
19.00-20.30
język polski
EL
1
język francuski
8.00-9.30
język polski
EL
1.
9.40-11.10
język polski
EL
11.20-12.50
historia
MK
2 LU 2-letnie sem IV
Sala
Przedmiot
Naucz.
1A 2-letnie sem II
Sala
Przedmiot
2A -2-letnie sem IV
Naucz.
Sala
Przedmiot
Naucz.
Sala
historia
MK
5
podst pr cywilnego JR
6
prawo gosp
KS
7
4
matematyka
H.Ś
5
podst pr pracy
JR
6
prawo gosp
KS
7
4
j.ang ep
MU
4
podst fin pub
MSz
6
post adm eu
JR
7
podst przed
MSZ
1
podst pr cywilnego JR
6.
4
przed eu
M.Sz
5.
post w adm
KS
7
język angielski
WW
6
MU
4
biologia
BM
5
język angielski
WW
7
prawo gosp
KS
6
język polski
IO
4.
język polski
EL
5
podst fin pub
MSz
7
prawo gosp
KS
10
3/6.
j.pol ep
IO
4
j.pol ep
EL
5
dział gosp
MSz
7
AS
3
j.pol eu
IO
5..
pol /ang eu
L/U
4/7.
dział gosp
MSz
6.
rach i an ek
IM
10.
j.angielski
MU
3
mat ep
AS
5.
mat ep
H.Ś
4
podst fin pub
M.Sz
6.
rach i an ek
IM
7
2.
język polski
MH
3.
język polski
EL
4
wyk prac biur
IM
11a
gosp i gosp
MSz
7.
AG
2
język polski
MH
3.
język polski
EL
4
wyk prac biur
IM
11a
historia
MK
2.
matematyka
AS
3
biol/mat/hist
eu
4/5/
podst prawa pr
JR
6
technika biurowa
IM
11a
1.
biologia
BM
2
j.angielski
U/W
3/6.
podst pr cywilnego JR
6
technika biurowa
IM
11a
1
biologia
BM
2
j.angielski
U/W
3/6.
podst fin pub
M.Sz
5
prawo gosp
KS
7
podst fin pub
MSz
5
prawo gosp
KS
7
Sobota
06.04
2013r.
Niedziela
07.04
2013r.
Sobota
20.04
2013r.
Niedziela
mat eu
AS
5
21.04
11.00 Zebranie Rady
Pedagogicznej
2013r.
13.00-14.30
język angielski
MU
1
historia
MK
2
biologia
BM
2
11.00 Zebranie Rady
Pedagogicznej
Wieliczka, 15 kwietnia 2013r.
Informujemy, że od 1 kwietnia 2013r. zajęcia z historii w klasie 2Lc będzie prowadziła Pani mgr Magdalena Kardas