Japonistyka - Instytut Orientalistyki

Transkrypt

Japonistyka - Instytut Orientalistyki
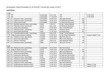
Harmonogram, Instytut Orientalistyki UJ, rok 2016-2017, semestr letni, wersja z 9.2.2017
Japonistyka
1 LIC
1 LIC : WF
1 LIC : WF
JAP 1 LIC : Praktyczna nauka j. japońskiego
JAP 1 LIC : Praktyczna nauka j. japońskiego
JAP 1 LIC : Kultura Japonii (wykł.)
JAP 1 LIC : Gramatyka opisowa współ. j. japońskiego
JAP 1 LIC : Praktyczna nauka j. japońskiego
JAP 1 LIC : Nauka pisma japońskiego
JAP 1 LIC : Praktyczna nauka j. japońskiego
JAP 1 LIC : Nauka pisma japońskiego
JAP 1 LIC : Gramatyka opisowa współ. j. japońskiego
1 LIC : Wstęp do językoznawstwa ogólnego
JAP 1 LIC : Praktyczna nauka j. japońskiego
JAP 1 LIC : Nauka pisma japońskiego
JAP 1 LIC : Lektorat j. łacińskiego
JAP 1 LIC : Praktyczna nauka j. japońskiego
poniedziałek
poniedziałek
poniedziałek
poniedziałek
poniedziałek
wtorek
wtorek
wtorek
środa
środa
czwartek
czwartek
czwartek
czwartek
piątek
piątek
9:30-11:00
11:15-12:45
13:00-14:30
14:45-16:15
16:30-18:00
7:45-9:15
9:30-11:00
16:30-18:00
9:30-11:00
11:15-12:45
9:30-11:00
14:45-16:15
16:30-18:00
18:15-19:45
9:30-11:00
13:00-14:30
WF
WF
Mgr Agata Koszołko
Dr Aleksandra Szczechla
Dr Aleksandra Szczechla
Dr hab. Tomasz Majtczak
Dr Aleksandra Szczechla
Mgr Yumiko Matsuzaki
Dr Dariusz Głuch
Dr Dariusz Głuch
Dr hab. Tomasz Majtczak
Dr hab. Kinga Paraskiewicz
Mgr Kunio Aonuma
Mgr Yumiko Matsuzaki
Mgr Aleksander Płazak
Mgr Kunio Aonuma
2 LIC
JAP 2 LIC : Praktyczna nauka j. japońskiego
2 LIC : Wstęp do literaturoznawstwa
JAP 2 LIC : Praktyczna nauka j. japońskiego
JAP 2 LIC : Nauka pisma japońskiego
JAP 2 LIC : Wspołczesna literatura jap.
JAP 2 LIC : Praktyczna nauka j. japońskiego
JAP 2 LIC : Praktyczna nauka j. japońskiego
JAP 2 LIC : Nauka pisma japońskiego
JAP 2 LIC : Praktyczna nauka j. japońskiego
JAP 2 LIC : Chińska literatura klasyczna (wykł.)
JAP 2 LIC : Chińska literatura klasyczna (wykł.)
poniedziałek
wtorek
wtorek
wtorek
środa
środa
czwartek
czwartek
czwartek
czwartek
czwartek
18:15-19:45
13:00-14:30
14:45-16:15
18:15-19:45
11:15-12:45
13:00-14:30
9:30-11:00
11:15-12:45
13:00-14:30
14:45-16:15
16:30-18:00
Mgr Hanna Kelner
Dr hab. Iwona Milewska
Mgr Kazue Sakamoto
Mgr Yumiko Matsuzaki
Dr Katarzyna Sonnenberg
Dr Katarzyna Sonnenberg
Dr Katarzyna Sonnenberg
Dr Stanisław Meyer
Mgr Kazue Sakamoto
Prof. Lidia Kasarełło
Prof. Lidia Kasarełło
10:30-12:00
10:30-12:00
402
326
326
2
2
2
214
301
2
Kolegium Śląskie, Aula
402
2
106
301
1
301
304
2
2
210
301
1
1
2
2
zajęcia co 3 tyg.
zajęcia co 3 tyg.
JAP 2 LIC : Gramatyka opisowa j. jap. (ćw.)
JAP 2 LIC : Gramatyka opisowa j. jap. (wykł.)
JAP 2 LIC : Historia Japonii (wykł.)
JAP 2 LIC : Praktyczna nauka j. japońskiego
JAP 2 LIC : Praktyczna nauka j. japońskiego
JAP 2 LIC : Praktyczna nauka j. japońskiego
czwartek
piątek
piątek
piątek
piątek
piątek
18:15-19:45
7:45-9:15
9:30-11:00
11:15-12:45
13:00-14:30
14:45-16:15
Prof. Romuald Huszcza
Prof. Romuald Huszcza
Dr Stanisław Meyer
Mgr Kunio Aonuma
Dr hab. Bartek Wojciechowski
Dr hab. Bartek Wojciechowski
1
301
2
2
2
2
3 LIC
JAP 3 LIC : Praktyczna nauka j. japońskiego
JAP 3 LIC : Konwersatorium lit.
JAP 3 LIC : Język koreański
JAP 3 LIC : Lektorat j. chińskiego
JAP 3 LIC : Praktyczna nauka j. japońskiego
JAP 3 LIC : Lektura tekstów
JAP 3 LIC : Klasyczna literatura japońska
JAP 3 LIC : Nauka pisma japońskiego
JAP 3 LIC : Seminarium licencjackie
JAP 3 LIC : Praktyczna nauka j. japońskiego
JAP 3 LIC : Gramatyka klasycznego j. japońskiego
JAP 3 LIC : Praktyczna nauka j. japońskiego
JAP 3 LIC : Nauka pisma japońskiego
JAP 3 LIC : Praktyczna nauka j. japońskiego
JAP 3 LIC : Lektorat j. chińskiego
JAP 3 LIC : Lektorat j. koreańskiego
poniedziałek
poniedziałek
poniedziałek
poniedziałek
wtorek
wtorek
wtorek
wtorek
wtorek
środa
czwartek
czwartek
piątek
piątek
piątek
piątek
9:30-11:00
11:15-12:45
16:30-18:00
16:30-18:00
9:30-11:00
11:15-12:45
13:00-14:30
16:30-18:00
18:15-19:45
13:00-14:30
11:15-12:45
14:45-16:15
7:45-9:15
9:30-11:00
11:15-12:45
11:15-12:45
Dr Joanna Wolska
Dr Joanna Wolska
Mgr Kim Gwangseok
Praktykant-1
Dr Joanna Wolska
Dr Aleksandra Szczechla
Dr Senri Sonoyama
Dr Dariusz Głuch
Dr Dariusz Głuch
Prof. Agnieszka Kozyra
Dr hab. Tomasz Majtczak
Mgr Kunio Aonuma
Dr Stanisław Meyer
Mgr Kunio Aonuma
Mgr Ewa Chmielowska
Mgr Kim Gwangseok
2
2
214
210
304
214
326
310
310
2
326
1
2
303
305
306
1 SUM
1 SUM : Metodologia badań literaturoznawczych
JAP 1 SUM : Ćwiczenia z klasycznej literatury jap.
JAP 1 SUM : Lektorat j. koreańskiego
1 SUM : Metodologia badań językoznawczych
JAP 1 SUM : Lektorat j. chińskiego
JAP 1 SUM : Praktyczna nauka j. japońskiego
JAP 1 SUM : Praktyczna nauka j. japońskiego
poniedziałek
poniedziałek
poniedziałek
poniedziałek
wtorek
wtorek
wtorek
11:15-12:45
13:00-14:30
14:45-16:15
16:30-18:00
14:45-16:15
9:30-11:00
16:30-18:00
Dr hab. Halina Marlewicz
Dr Senri Sonoyama
Mgr Kim Gwangseok
Dr Ignacy Nasalski
Mgr Ewa Chmielowska
Mgr Kunio Aonuma
Mgr Kazue Sakamoto
402
404
402
402
210
214
304
JAP 1 SUM : Praktyczna nauka j. japońskiego
JAP 1 SUM : Język koreański
JAP 1 SUM : Lektura tekstów (ćw.)
JAP 1, 2 SUM : Proseminarium / seminarium mag. (lit.)
JAP 1 SUM : Praktyczna nauka j. japońskiego
środa
środa
środa
środa
czwartek
9:30-11:00
11:15-12:45
14:45-16:15
16:30-18:00
11:15-13:30
Mgr K. Sunakawa
Mgr Kim Gwangseok
Prof. Agnieszka Kozyra
Prof. Agnieszka Kozyra
Prof. Romuald Huszcza
JAP 1, 2 SUM : Konwersatorium kulturoznawcze. Chiny i
Tajwan
JAP 1, 2 SUM : Konwersatorium kulturoznawcze. Chiny i
Tajwan
JAP 1 SUM : Lektorat j. chińskiego
JAP 1 SUM : Praktyczna nauka j. japońskiego
JAP 1 SUM : Konwersatorium specjalistyczne
JAP 1 SUM : Praktyczna nauka j. japońskiego
JAP 1, 2 SUM : Proseminarium / seminarium mag. (jęz.)
JAP 1 SUM : Językoznawstwo japońskie
czwartek
11:15-12:45
Prof. Lidia Kasarełło
2
zajęcia w tygodniach,
kiedy nie ma zajęć prof.
Kasarełło.
zajęcia co 3 tyg.
czwartek
13:00-14:30
Prof. Lidia Kasarełło
2
zajęcia co 3 tyg.
czwartek
czwartek
czwartek
piątek
piątek
piątek
14:45-16:15
16:30-18:00
18:15-19:45
11:15-12:45
13:00-14:30
16:30-18:00
Praktykant-2
Mgr Kazue Sakamoto
Dr hab. Bartek Wojciechowski
Mgr K. Sunakawa
Prof. Romuald Huszcza
Dr hab. Bartek Wojciechowski
311
306
4
214
305
2
poniedziałek
poniedziałek
wtorek
środa
czwartek
14:45-16:15
16:30-18:00
14:45-16:15
16:30-18:00
11:15-12:45
Dr Senri Sonoyama
Mgr Kazue Sakamoto
Dr Senri Sonoyama
Prof. Agnieszka Kozyra
Prof. Lidia Kasarełło
210
306
404
214
2
zajęcia co 3 tyg.
czwartek
13:00-14:30
Prof. Lidia Kasarełło
2
zajęcia co 3 tyg.
czwartek
piątek
14:45-16:15
13:00-14:30
Mgr Kazue Sakamoto
Prof. Romuald Huszcza
306
305
poniedziałek
poniedziałek
poniedziałek
7:45-9:15
14:45-16:15
9:30-11:00
Dr Barbara Rudzińska
Dr Barbara Rudzińska
Dr Barbara Rudzińska
214
214
214
2 SUM
JAP 2 SUM : Praktyczna nauka j. japońskiego
JAP 2 SUM : Praktyczna nauka j. japońskiego
JAP 2 SUM : Ćwiczenia ze współcz. literatury jap.
JAP 1, 2 SUM : Proseminarium / seminarium mag. (lit.)
JAP 1, 2 SUM : Konwersatorium kulturoznawcze. Chiny i
Tajwan
JAP 1, 2 SUM : Konwersatorium kulturoznawcze. Chiny i
Tajwan
JAP 2 SUM : Praktyczna nauka j. jap
JAP 1, 2 SUM : Proseminarium / seminarium mag. (jęz.)
LEKTORAT ANGIELSKIEGO
B2 : Lektorat j. angielskiego
B2+ : Lektorat j. angielskiego
C1 : Lektorat j. angielskiego
2
210
214
214
2
C1 : Lektorat j. angielskiego
C1 : Lektorat j. angielskiego
C1 : Lektorat j. angielskiego
C1 : Lektorat j. angielskiego
C1 : Lektorat j. angielskiego
B2+ : Lektorat j. angielskiego
Wykłady monograficzne
LIC, SUM : Wykład monograficzny: język hebrajski
LIC, SUM : Polaków podróż na Wschód
LIC, SUM : Źródła arabskie do kultury Słowian i innych
ludów Europy środkowej i wschodniej
LIC, SUM : Wykł. monograf.: Studia kurdyjskie w
perspektywie postkolonialnej
poniedziałek
poniedziałek
czwartek
czwartek
czwartek
czwartek
11:15-12:45
13:00-14:30
9:30-11:00
11:15-12:45
13:00-14:30
7:45-9:15
Dr Barbara Rudzińska
Dr Barbara Rudzińska
Dr Barbara Rudzińska
Dr Barbara Rudzińska
Dr Barbara Rudzińska
Dr Barbara Rudzińska
214
214
214
214
214
214
środa
środa
czwartek
11:15-12:45
14:45-16:15
8:00-9:30
Dr hab. Marek Piela
Dr hab. Halina Marlewicz
Dr Urszula Lewicka-Rajewska
306
1
301
czwartek
16:30-18:00
Noname-2
4