Psychologiczne aspekty rekreacji ruchowej

Transkrypt

Psychologiczne aspekty rekreacji ruchowej
Psychologiczne aspekty rekreacji ruchowej
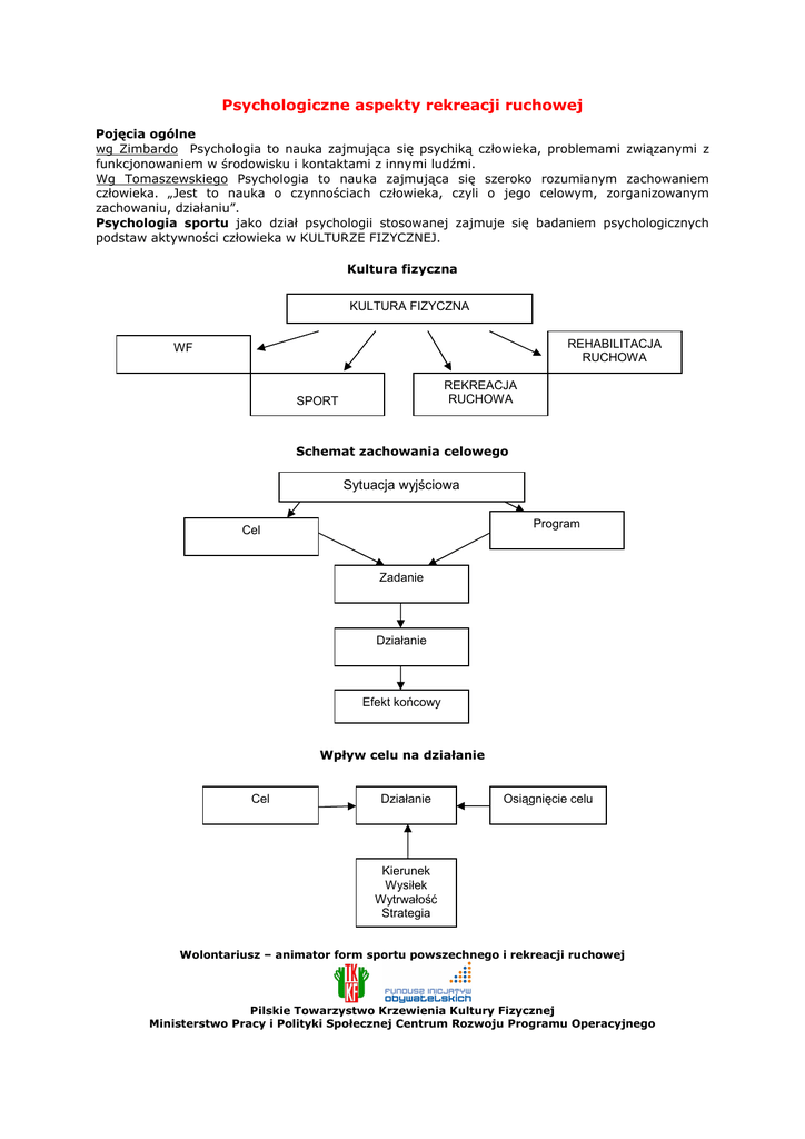
Pojęcia ogólne
wg Zimbardo Psychologia to nauka zajmująca się psychiką człowieka, problemami związanymi z
funkcjonowaniem w środowisku i kontaktami z innymi ludźmi.
Wg Tomaszewskiego Psychologia to nauka zajmująca się szeroko rozumianym zachowaniem
człowieka. „Jest to nauka o czynnościach człowieka, czyli o jego celowym, zorganizowanym
zachowaniu, działaniu”.
Psychologia sportu jako dział psychologii stosowanej zajmuje się badaniem psychologicznych
podstaw aktywności człowieka w KULTURZE FIZYCZNEJ.
Kultura fizyczna
KULTURA FIZYCZNA
REHABILITACJA
RUCHOWA
WF
REKREACJA
RUCHOWA
SPORT
Schemat zachowania celowego
Sytuacja wyjściowa
Program
Cel
Zadanie
Działanie
Efekt końcowy
Wpływ celu na działanie
Cel
Działanie
Osiągnięcie celu
Kierunek
Wysiłek
Wytrwałość
Strategia
Wolontariusz – animator form sportu powszechnego i rekreacji ruchowej
Pilskie Towarzystwo Krzewienia Kultury Fizycznej
Ministerstwo Pracy i Polityki Społecznej Centrum Rozwoju Programu Operacyjnego
Głównym celem aktywności
indywidualność psychofizyczną.
i
rekreacji
ruchowej
jest
człowiek,
stanowiący
Zadania psychologii rekreacji
wg. Gracza, Sankowskiego
• Kto i z jakich powodów podejmuje aktywność rekreacyjną?
• Jakie są róŜnice między ludźmi w zakresie ich potrzeb i motywów wyboru poszczególnych
form rekreacji?
• Na czym polegają społeczno – sytuacyjne uwarunkowania wspomnianej aktywności?
• Jaką rolę moŜe spełnić rekreacja MW dąŜeniu do harmonijnego rozwoju i samourzeczywistnienia człowieka?
• Co stanowi o psychoterapeutycznej funkcji rekreacji wobec obciąŜeń cywilizacyjnych i
degradacji środowiska społecznego?
Odpowiedzi na powyŜsze po analizie pojęć: PRACA – REKREACJA
Praca – to celowa działalność człowieka, polegająca na przekształcaniu dóbr i przyrody i
przystosowaniu ich do zaspokojenia potrzeb ludzkich. Praca jest jedną z najwaŜniejszych form
aktywności człowieka. Praca powoduje takŜe skutki uboczne: zniszczenie środowiska, zmiany w
stanie zdrowia, zmęczenie fizyczne i psychiczne, zmiany w osobowości człowieka.
Rekreacja
z łaciny:
re – powtórzenie czynności, powrót do stanu pierwotnego;
creo – czynności odtwarzania, p[przywracania czegoś, powrót do tego co było wcześniej.
Rekreacja ruchowa pozwala na przywrócenie sprawności fizycznej.
Wg Wolańskiej
Rekreacja ruchowa to zajęcie o treści ruchowo – sportowej, któremu człowiek oddaje się z
własnej chęci w czasie wolnym, dla odpoczynku, przyjemności, rozwoju osobowości.
Rekreacji o oddajemy się takŜe w celu: utrzymania dobrego stanu zdrowia, poprawy stanu zdrowia.
Psychologiczne czynniki istotne dla zdrowia (wg Strelau)
Rodzaj
czynnika
Emocje
Model Patogenetyczny
(czynniki szkodliwe dla
zdrowia)
Negatywne, zalegające
Motyw
zdrowotny
Brak zainteresowania lub
nadmierna koncentracja
Zachowania
Osobowość
Ryzykowne dla zdrowia
(palenie, itp.)
Wzór zachowania
Czynniki
sytuacyjne
Pole Ŝyciowe ryzykowne dla
zdrowia
Model Salutogenetyczny
(czynniki sprzyjające
zdrowiu)
Pozytywne – optymizm,
nadzieja
Umiarkowane
zainteresowanie własnym
zdrowiem
Zdrowy styl Ŝycia
Osobowość odporna,
poczucie koherencji
Zdrowe pole Ŝyciowe
Społeczne uwarunkowania do rekreacji ruchowej
Środowisko stworzone przez człowieka – miejskie
Miejsce Ŝycia, pracy, zabawy; zagęszczenie (ludzi, infrastruktury, rzeczy ruchomych), hałas,
przeludnienie, zanieczyszczenie ziemi, powietrza, wody. Zagęszczenie obiektywne, a zatłoczenie
subiektywne. Zatłoczenie pierwszoplanowe (miejsca w których spędzamy duŜo czasu, w kontaktach
bezpośrednich, np. praca). Zatłoczenie drugoplanowe (miejsca w których kontakty nie są osobiste,
są mniej istotne).
Negatywne skutki środowisk wielkomiejskich: stres, poczucie zagubienia, ciągły pośpiech,
„spłycenie” kontaktów społecznych, przejawy agresji i wandalizmu, rozwój chorób nerwowych
(wrzody, nadciśnienie), brak warunków do wypoczynku, utrata zdolności człowieka do pracy.
Psychologiczne uwarunkowania do rekreacji ruchowej
Temperament
Siła narastania i hamowania procesów nerwowych. Równowaga procesów nerwowych (jednostka
zrównowaŜona i niezrównowaŜona społecznie). Szybkość zachodzących zmian stanów nerwowych
(zdolność do zmiany zachowania w zaleŜności od sytuacji).
Typ układu nerwowego
silny
zrównowaŜony
ruchliwy (sangwinik)
słaby
(melancholik)
niezrównowaŜony
(choleryk)
powolny (flegmatyk)
Sangwinik – szybko działa, łatwo przystosowuje się do zmieniających się warunków, odporny, o
szerokich zainteresowaniach, łatwa mobilizacja, chętnie przebywa z innymi.
Choleryk – moŜliwość wybuchowych reakcji, nieopanowany, utrudnienia w kontaktach
interpersonalnych.
Flegmatyk – niska i mała ruchliwość, brak chęci do aktywnego wypoczynku, woli zajęcia typu
ciekawy film, widowisko, itp.
Melancholik – słaby układ nerwowy, woli przebywać w małych grupach, wybiera indywidualne
formy zajęć, mało obciąŜające.
Chęć zaspokojenia potrzeb
Równowaga zaleŜna od zaspokojenia potrzeb. Potrzeba jest stanem napięcia domagającego się
rozładowania. Potrzeby biologiczne 9pokarm, woda, powietrze, aktywność, sen). Potrzeby
wyzwalane przez ośrodkowy układ nerwowy – społeczne. Psychiczne, kulturowe (potrzeba
poznawania, pomocy, zabawy, szczęścia, sensu Ŝycia).
Aspekty realizacyjne wybranych potrzeb w aktywności rekreacyjnej człowieka wg Maslowa:
potrzeby wyŜszego rzędu są zaspokajane dopiero po zaspokojeniu potrzeb niŜszego rzędu
(biologicznych).
Hierarchia potrzeb wg Maslowa
Potrzeby fizjologiczne
Potrzeby bezpieczeństwa
Potrzeby przynaleŜności i miłości
Potrzeby uznania
Potrzeba samo urzeczywistnienia
Potrzeby wiedzy i rozumienia
Potrzeby estetyczne
Aspekty realizacyjne potrzeb w
aktywności rekreacyjnej
OdświeŜanie ciała i systemu
nerwowego, rozładowanie napięcia
Stałość poczucia zdrowia i wiary we
własne siły
Interakcje grupowe, rodzinne i
społeczno - środowiskowe
Wysoka ocena otoczenia w
odniesieniu do sprawności,
osiąganych wyników
Osobo twórcze aspekty rekreacji
„filozofia ciała”
Poznanie celów, form i metod w
podejmowaniu aktywności
rekreacyjnej
Poczucie piękna ruchu, własnego
wyglądu, środowiska naturalnego i
otoczenia
Motywacja
Potrzeby wyzwalają motywację do działania; motywacja wewnętrzna i zewnętrzna.
Prawa Yorkes Dodsona
I - W miarę natęŜenia motywacji, skuteczność działania wzrasta do pewnego optymalnego
momentu, a następnie obniŜa się.
II - Zadanie łatwe sprawniej realizuje się przy wysokim stopniu motywacji; realizacja zadania
trudnego wymaga niŜszego natęŜenia motywacji.
Zadania łatwe często nudzą, trudne zaś często zniechęcają. Zadanie musi być dostosowane do
moŜliwości człowieka (zdolności, temperamentu, umiejętności, itp.).
Typy motywacji osób uprawiających rekreacje ruchową
wg Winiarskiego
aktywnościowo – hedonistyczny – osoby z biologiczną potrzebą ruchu;
relaksowo – katarktyczny – osoby dla których rekreacja stanowi formę ucieczki od kłopotów i
obowiązków codziennych, rozładowanie napięcia i stresu;
zdrowotno – higieniczny – osoby dbające o zdrowie, sprawność fizyczną, poprawną sylwetkę;
społeczno - towarzyski – osoby poszukujące kontaktów towarzyskich, przyjaźni, miłości,
przynaleŜności;
emocjonalny (poszukiwacz przygód) – osoby poszukujące silnych wraŜeń, emocji, ryzyka, walki z
siłami natury;
ambicjonalny – poszukiwacze dowartościowania, często działające na pokaz, uznanie;
poznawczy – osoby poszukujące nowych doświadczeń, wiadomości, doskonalące rozwój swoich
zainteresowań.
Emocje
Emocje powstają w wyniku zaburzenia równowagi organizmu. Wszystko, co zakłóca równowagę
jest źródłem emocji negatywnych. Wszystko, co przywraca równowagę jest źródłem emocji
pozytywnych. Wpływ wyniku sportowego na emocje. Agresja wywołana emocjami.
Stres
Stres to stan, na który składają się silne, negatywne emocje oraz towarzyszące im zmiany
fizjologiczne, biochemiczne, przekraczające normy prób pobudzania. Stres jest tym większy im
większa jest rozbieŜność między wymogami, a moŜliwościami.
Zespoły czynników wywołujących stres:
• Fizyczne – wilgotność, temperatura, hałas, oświetlenie, promieniowanie, itp.
• Chronobiologiczne – ryt biologiczny, okołodobowy.
• Psychiczne – przeszkody: zakłócenia, zaskoczenie, zwłoka, nadmierny wysiłek fizyczny,
choroby, niezaspokojenie potrzeb.
• Socjologiczne – umiejętność funkcjonowania w grupie.
Formy redukowania napięć stresowych
Wybór strategii zaleŜy od stanu konstytucji osobowościowej. Odporność na stres moŜe być
odpornością emocjonalną czyli zdolnością do kontrolowania emocji, mimo negatywnych stanów
emocjonalnych. Temperament, a podatność na stres jako czynnik biologiczny. Nabywanie
odporności na stres poprzez odpowiednie wychowanie, które polega na odpowiednim, stopniowym
uczeniu się pokonywania sytuacji trudnych. Techniki relaksacyjne – obniŜają napięcie, odpręŜają,
prowadzą do ukształtowania spokojniejszej podstawy wobec sytuacji trudnych, dają poczucie
kontroli nad swoim działaniem.
Podsumowanie
• Wolontariusz rekreacji ruchowej winien korzystać z dorobku wielu dziedzin nauki, z nauk
humanistycznych typu psychologia czy pedagogika, z nauk biologicznych jak medycyna,
fizjologia, a takŜe z dziedzin nauk o kulturze fizycznej.
• W procesie rekreacji ruchowej człowiek stanowi podmiot działania, a rezultaty (wyniki
procesu) są na drugim planie.
• Jego stan psychiczny moŜe stanowić motyw podejmowania działalności rekreacyjnej.
• O wyborze określonej formy rekreacji ruchowej decyduje człowiek, mając na uwadze swoje
właściwości osobiste.
Literatura
Dąbrowski A.: Zarys teorii rekreacji ruchowej. AWF, Warszawa 2006
Gracz J., Sankowski T.: Psychologia sportu. AWF, Poznań 1995
Gracz J., Sankowski T.: Psychologia w rekreacji i turystyce. AWF, Poznań 2001
Lipoński W.: Psychologiczne bariery w uprawianiu sportu rekreacyjnego. AWF, Poznań 1995
Maslow A.: Motywacja i osobowość. PAX, Warszawa 1990
Mała Encyklopedia Sportu i Turystyki, Warszawa 1987
Strelau J.: Temperament – osobowość – działanie. PWN. Warszawa 1985
Szewczuk W.: Psychologia. WSiP, Warszawa 1990.
Przygotował: Andrzej Grzesik
Wolontariusz – animator form sportu powszechnego i rekreacji ruchowej
Pilskie Towarzystwo Krzewienia Kultury Fizycznej
Ministerstwo Pracy i Polityki Społecznej Centrum Rozwoju Programu Operacyjnego