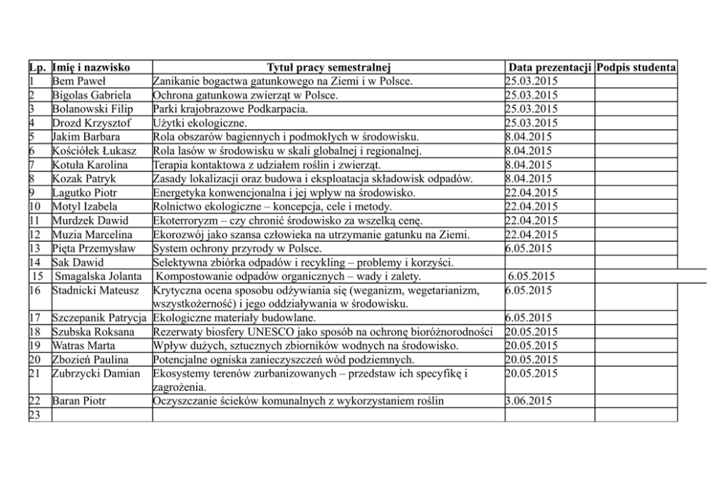
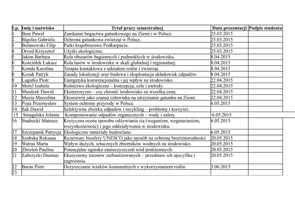
Lp. Imię i nazwisko Tytuł pracy semestralnej Data prezentacji Podpis

Transkrypt

Lp. Imię i nazwisko Tytuł pracy semestralnej Data prezentacji Podpis
Lp.
1
2
3
4
5
6
7
8
9
10
11
12
13
14
15
16
Imię i nazwisko
Bem Paweł
Bigolas Gabriela
Bolanowski Filip
Drozd Krzysztof
Jakim Barbara
Kościółek Łukasz
Kotuła Karolina
Kozak Patryk
Lagutko Piotr
Motyl Izabela
Murdzek Dawid
Muzia Marcelina
Pięta Przemysław
Sak Dawid
Smagalska Jolanta
Stadnicki Mateusz
Tytuł pracy semestralnej
Zanikanie bogactwa gatunkowego na Ziemi i w Polsce.
Ochrona gatunkowa zwierząt w Polsce.
Parki krajobrazowe Podkarpacia.
Użytki ekologiczne.
Rola obszarów bagiennych i podmokłych w środowisku.
Rola lasów w środowisku w skali globalnej i regionalnej.
Terapia kontaktowa z udziałem roślin i zwierząt.
Zasady lokalizacji oraz budowa i eksploatacja składowisk odpadów.
Energetyka konwencjonalna i jej wpływ na środowisko.
Rolnictwo ekologiczne – koncepcja, cele i metody.
Ekoterroryzm – czy chronić środowisko za wszelką cenę.
Ekorozwój jako szansa człowieka na utrzymanie gatunku na Ziemi.
System ochrony przyrody w Polsce.
Selektywna zbiórka odpadów i recykling – problemy i korzyści.
Kompostowanie odpadów organicznych – wady i zalety.
Krytyczna ocena sposobu odżywiania się (weganizm, wegetarianizm,
wszystkożerność) i jego oddziaływania w środowisku.
17 Szczepanik Patrycja Ekologiczne materiały budowlane.
18 Szubska Roksana
Rezerwaty biosfery UNESCO jako sposób na ochronę bioróżnorodności
19 Watras Marta
Wpływ dużych, sztucznych zbiorników wodnych na środowisko.
20 Zbozień Paulina
Potencjalne ogniska zanieczyszczeń wód podziemnych.
21 Zubrzycki Damian Ekosystemy terenów zurbanizowanych – przedstaw ich specyfikę i
zagrożenia.
22 Baran Piotr
Oczyszczanie ścieków komunalnych z wykorzystaniem roślin
23
Data prezentacji Podpis studenta
25.03.2015
25.03.2015
25.03.2015
25.03.2015
8.04.2015
8.04.2015
8.04.2015
8.04.2015
22.04.2015
22.04.2015
22.04.2015
22.04.2015
6.05.2015
6.05.2015
6.05.2015
6.05.2015
20.05.2015
20.05.2015
20.05.2015
20.05.2015
3.06.2015