Algorytmy cd - petle zagniezdzone

Transkrypt

Algorytmy cd - petle zagniezdzone
pętle zagnieżdzone
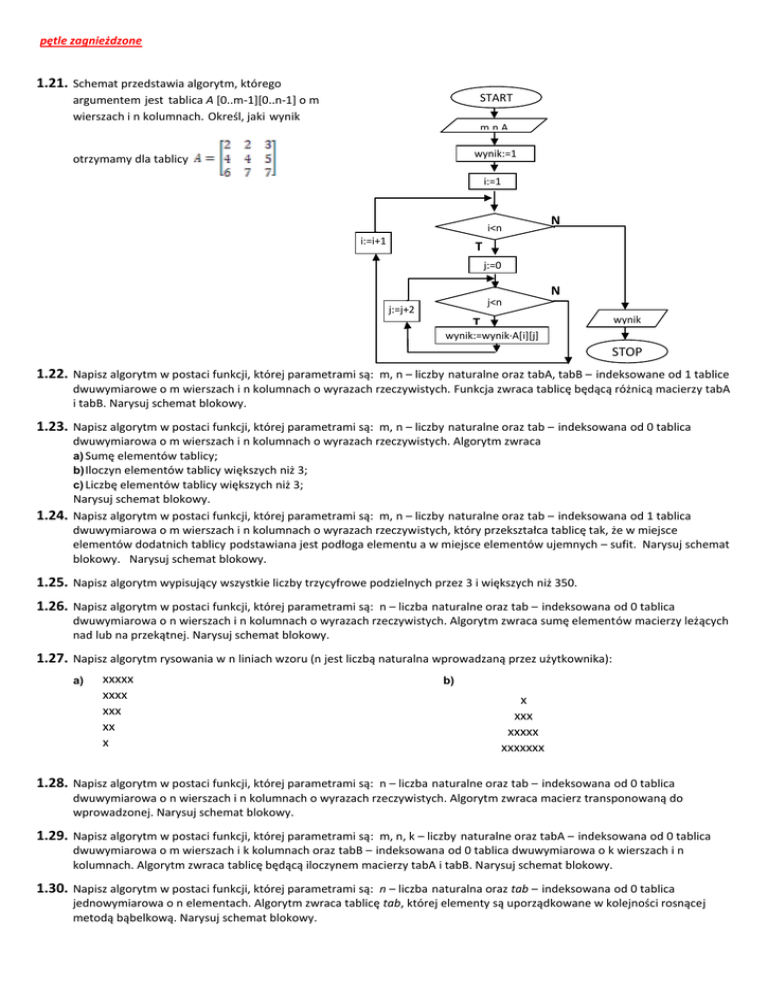
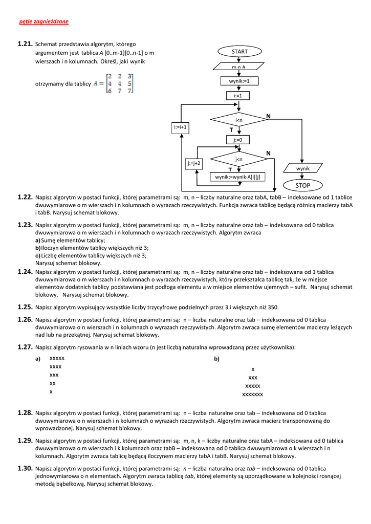
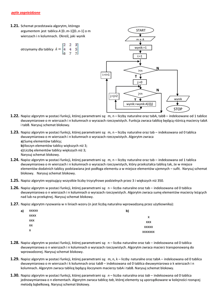
1.21. Schemat przedstawia algorytm, którego
START
argumentem jest tablica A [0..m-1][0..n-1] o m
wierszach i n kolumnach. Określ, jaki wynik
m,n,A
wynik:=1
otrzymamy dla tablicy
i:=1
i<n
i:=i+1
N
T
j:=0
j<n
j:=j+2
N
wynik
T
wynik:=wynik·A[i][j]
STOP
1.22. Napisz algorytm w postaci funkcji, której parametrami są: m, n – liczby naturalne oraz tabA, tabB – indeksowane od 1 tablice
dwuwymiarowe o m wierszach i n kolumnach o wyrazach rzeczywistych. Funkcja zwraca tablicę będącą różnicą macierzy tabA
i tabB. Narysuj schemat blokowy.
1.23. Napisz algorytm w postaci funkcji, której parametrami są: m, n – liczby naturalne oraz tab – indeksowana od 0 tablica
1.24.
dwuwymiarowa o m wierszach i n kolumnach o wyrazach rzeczywistych. Algorytm zwraca
a) Sumę elementów tablicy;
b) Iloczyn elementów tablicy większych niż 3;
c) Liczbę elementów tablicy większych niż 3;
Narysuj schemat blokowy.
Napisz algorytm w postaci funkcji, której parametrami są: m, n – liczby naturalne oraz tab – indeksowana od 1 tablica
dwuwymiarowa o m wierszach i n kolumnach o wyrazach rzeczywistych, który przekształca tablicę tak, że w miejsce
elementów dodatnich tablicy podstawiana jest podłoga elementu a w miejsce elementów ujemnych – sufit. Narysuj schemat
blokowy. Narysuj schemat blokowy.
1.25. Napisz algorytm wypisujący wszystkie liczby trzycyfrowe podzielnych przez 3 i większych niż 350.
1.26. Napisz algorytm w postaci funkcji, której parametrami są: n – liczba naturalne oraz tab – indeksowana od 0 tablica
dwuwymiarowa o n wierszach i n kolumnach o wyrazach rzeczywistych. Algorytm zwraca sumę elementów macierzy leżących
nad lub na przekątnej. Narysuj schemat blokowy.
1.27. Napisz algorytm rysowania w n liniach wzoru (n jest liczbą naturalna wprowadzaną przez użytkownika):
a)
xxxxx
xxxx
xxx
xx
x
b)
x
xxx
xxxxx
xxxxxxx
1.28. Napisz algorytm w postaci funkcji, której parametrami są: n – liczba naturalne oraz tab – indeksowana od 0 tablica
dwuwymiarowa o n wierszach i n kolumnach o wyrazach rzeczywistych. Algorytm zwraca macierz transponowaną do
wprowadzonej. Narysuj schemat blokowy.
1.29. Napisz algorytm w postaci funkcji, której parametrami są: m, n, k – liczby naturalne oraz tabA – indeksowana od 0 tablica
dwuwymiarowa o m wierszach i k kolumnach oraz tabB – indeksowana od 0 tablica dwuwymiarowa o k wierszach i n
kolumnach. Algorytm zwraca tablicę będącą iloczynem macierzy tabA i tabB. Narysuj schemat blokowy.
1.30. Napisz algorytm w postaci funkcji, której parametrami są: n – liczba naturalna oraz tab – indeksowana od 0 tablica
jednowymiarowa o n elementach. Algorytm zwraca tablicę tab, której elementy są uporządkowane w kolejności rosnącej
metodą bąbelkową. Narysuj schemat blokowy.