pobierz

Transkrypt

pobierz
TECHNOLOGIA INFORMACYJNA
Edytor tekstu MS Word
3. Schematy i style
Wszystkie poniższe ćwiczenia
Nazwisko_Imię_Word3.doc.
zapisujemy
w
jednym
pliku
o
nazwie
3.1. Autokształty
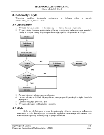
1. Wybierz Wstawianie → Kształty → Nowa kanwa rysunku
2. Wykorzystując dostępne autokształty (głównie ze schematu blokowego oraz łączniki),
zbuduj w obrębie kanwy diagram przedstawiający próbę zakupu soku w sklepie.
START Wejście do sklepu Poszukiwanie działu z napojami NIE Wyjście ze sklepu
Czy jest sok? KONIEC TAK NIE
Czy mam pieniądze?
TAK Dokonanie zakupu 3. Zgrupuj elementy zbudowanego schematu.
4. Ustaw czcionkę na Calibri, 11 pogrubiona, odstępy przed i po akapicie 0 pkt, interlinia
pojedyncza.
5. Łączniki mają być grubości 2 pkt.
6. Wybierz estetyczny styl kształtów i strzałek.
3.2. Style
Style to zdefiniowane wzorce formatowania różnych elementów dokumentu
stosowane w celu łatwiejszego zarządzania wyglądem tworzonego dokumentu oraz
wprowadzeniu pewnej automatyzacji w programie Word.
mgr Wojciech Czerski
Pracownia Komunikacji Multimedialnej UMCS
1/2
stac.
TECHNOLOGIA INFORMACYJNA
Edytor tekstu MS Word
Aby zastosować styl, zaznaczamy tekst, który chcemy zmienić, a następnie
wybieramy na pasku narzędzi odpowiedni styl formatowania ([Narzędzia główne
→ Style]).
Celem niniejszego ćwiczenia jest nadanie odpowiednich stylów formatowania
dla poszczególnych elementów dokumentu i stworzenie do niego spisu treści.
1. Przepisz poniższy tekst:
Internet
Portale
Onet.pl
WP.pl
Interia.pl
GW.pl
Prasa
Codzienna
Tygodnik
Miesięcznik
Kwartalnik
Telewizja
TVP 1
TVP 2
TVN
Polsat
TV Polonia
2. Dla akapitów: Internet, Prasa, Telewizja, ustaw styl formatowania na Nagłówek 1.
3. Dla akapitów: Portale, Codzienna, Tygodnik, Miesięcznik, Kwartalnik, TVP 1, TVP 2,
TVN, Polsat, TV Polonia, ustaw styl formatowania na Nagłówek 2.
4. Dla akapitów: Onet.pl, WP.pl, Interia.pl, GW.pl, ustaw styl formatowania na
Nagłówek 3.
5. Przed pierwszym akapitem wstaw automatyczny spis treści [Odwołania → Spis
treści].
6. Dla Nagłówków utwórz konspekt numerowany [Narzędzia główne → Akapit
→ Lista wielopoziomowa]. Lista ma odpowiadać poniższej tabeli:
Styl nagłówka Wzór numeracji
Nagłówek 1
1
Nagłówek 2
1.1
Nagłówek 3
1.1.1
7. Wstawiony wcześniej spis treści sformatuj tak, aby widoczne w nim były tylko dwa
poziomy Nagłówków ([Odwołania → Spis treści → Wstaw spis
treści]).
8. Skorzystaj z nemu [Narzędzia główne → Style → Zmień style →
Zestawy stylów] w celu sprawdzenia jak za pomocą gotowych wzorców można
łatwo zmienić formę dokumentu, w miarę potrzeb, bez zmiany jego treści.
mgr Wojciech Czerski
Pracownia Komunikacji Multimedialnej UMCS
2/2
stac.