Formularze na dzień 30-05

Transkrypt

Formularze na dzień 30-05
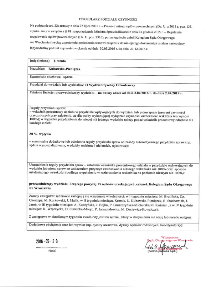
FORMULAXZ PODZIAI,U CZ\NNOSCI
Na podslawie art. 22a ustary z dnia 27 lipca 2001 r.
-
pmwo o usrroju sAd6w powvechnych (Dz. U. z 2015 f. poz. 133,
zp6tn. zn.\w zwia4"lrzS 48 rozporr4dzenia Minisha sprawiedtiwosci zdnia23 grudnia20t5
uqdowania s4d6w powszechnych (Dz. U. poz.
23 r 6), po
f.
Regutamin
,rsi9gnigciu opinii Kolegium S4du Okregow€so
we Wroclawiu (wyciqg z prorokolu posiedzenia sranowi zal4caik do ninjejszego dokumentu) ustalm nast9pujqcy
ind)vidualny podzial czynnosci w okesie od dnia 30.05.2016 r. do dnia
3 I
.12.2016 r.
Irni9(imiona): urszula
Nazwisko: Kubowska-Pieniqrek
Stafl
owisko stuzbower sgdzia
Przydzial do wydzialu lub wydzial6w: U Wydzisl
Petnionefmkcje: przewodntcz4cy wydztrlu
-
Clvilny Odwolawczy
na datszy or<"es oO Onia:.0,t:OrC
m;O,l:Ore
".
Reguly przydzialu spraw:
-
wskaznik procentowy udzialu w przydziale wplywajqcy€h do wydz;alu lub pionu spraw (proc€nr czynnosoi
orzecznic4ch prry z lozeniu, z€ dla osoby wykonuj4cej wylqczni€ czynnotci orzecznicze wskaznik rcn wynosr
10070); w Wpadku przydzielenia do wigcej nizjednego wydziatu nalezy podaC wskatuik procentowy odrybni€ dta
kazdego z nich:
30 o/o
-
wpbwu
ew€ntualn€ dodatkowe lub odmienne regury przydzialu spraw od zasady auromatycznego przydzialu spraw (np.
sedziarfspecjalizowany, r,lydziaty rodzinne i niel€tnich, rejesrrowe):
Uzasadnienie reguly przydziatu spraw ustalenia wskatuika proc€ntowego udziaiu w pzydziale wplyrraj4cych do
wydzialu lub pionu spraw ze wskazaniem przyczyn zastosowania nizszego wskaznika niz 100% oraz sposobu
ustaleniaj ego *ysokodci (podlega wypelnieniu w r:zie ustalenia wskarnika na poz;omie nizszym niz 100o/o):
przewodnicz4cy
tTdzialu liczqcego ponTtej ls sedzi6w orzekajqcych, cztonek Kolegium Sqdu Okrggowego
sip zajemnie w kolejnosci: w I rygodniu miesi4ca:M. Brulinska, Cz
Chorzepa, M. Kurkowski, J. Malik, w II Egodniu rniesiqca. Kremis, U. Kubowska-pieni4zek, B. Staohowiak, J.
Jaron, w III tygodniu miesi4car A. Kuczyfska, J. Bojko, P. cruszczlalska-Miohrrska,M. Kurniar , a w IV tygodniu
Zasady zastgpstw: sgdziowie zasiepujq
miesiEoar
K. Wreczycka, D. Stawicka-Moryo. P. Jarmundowicz, M. Dasi€wicz-Kowalozyk.
Z zastQpstwa w okreslonym tygodniu zwolnionyj€st ten s9dzia, kt6ry w danym dniu ma sesje tub narad9 wst9pnq
Dodatkowe obciqzenia or^z ich \rymiar (np. dyzury areszto.\,ve, dyzury s9dzi6w rodzinnych, koordynarorzy):
2016
-05- 3 0
oi
e.;
FORMTJLARZ PODZIA,U CZ\'\NOSCI
Na podstawi€
z p6zn.
dt.
22a
ustary z dnia27 tip.a2}01
t.
prawo o ustroju sed6w powszechnych (Dz.
U. z 2015 r. poz. t J3,
an ) w zwi4zku z { 48 rozporz4dzenia Minisha sprawiedriwosci z
dnia 23 srudnia 2015 r.
-
Resu,um,n
urzpdowania sAd6w powszechnych (Dz. U. poz. 2316), po zasi9gni9ciu
opinii Kotegium Srdu Okresowego
we Wroclawiu (wyci4g z protokolu posjedzenia stanowi zatqcaik
do niniejszego dokumenru) ustatam nas!9puJ4cy
indywidualny podzial c4nnosci w okresie od dnia 30.05.2016
r. do dnia
hi9(imiona)i
iI
zastepca przewodniczecego wydziatu
-
q".*.y
Wydzirl Cywitny Odwotawczy
na dalszy okres od dnia 3.04j016 r. do d fia 2.04,2019r.
,dl;alu w prl,dziate
:1,"""1:::ry:lI"4 ii,:L"1iu.
wpt),rvaj ac) ch do tr]dzia,u tub pionu spraw rprocent c?ynnoscl
ze dra osoby.wyr,onujacej \.yrqcarie c4nnolci ouec,nicre tsrunik
ren wlnos,
Fry@jereniado wiqcej
,lijll],^1y-l**
50
1.12.2016 r.
Benta
Pnydzial do \iydzialu lub \rydziai6w:
-._:\'"1-'-11
3
n
iz j ednego
wydzialu nalezy poda6 wskahik proc€nto\ay odr;bnie dta
% wpt)ryu
kowe lub odm hnne. regu ty p?) drialu sp,a $ od Tasaoy auromarycznego przyd,
iatu spraw I np.
wldriaty rodzinne' nieternich..eie"rrowe):
-
dodar
uzasadnienie
,.sut
.e$€ntualne
sqazia
wyspecJatrzo$any.
prz)dzialu spraw
u.@
yl:':11]ll l.*:p..":^ wskazanien przyczyn zastosowania
ustaleniajego wvsokosd (podlega \avpelnieniu w razie ustalenia
zast9pca przewodnicz4cego wydzialu
o;
nizszeg; wskaaika;izl00olo
sposobu
wskaznika na poziomie nizs,ym niz rboz4:
Zasady zastQpstw: sfdziowle zaste
Chorzepa, M. Kurkowski, J. Malik, w II Egodniu miesi4ca. Kremis, U. Kubowska-pieni4zek.
B. Stachowiak..J.
Jaron, w III tygodniu miesiaca: A. Kuozynska, J. Bojko, p. cruszczyiska_Mjchurska,M. Kuzniar
a w I v tygodniu
miesiqca: K. wr9czycka, D. Srawicka-Moryc. p. Ja.mundowicz, M. Dasiewicz-Kowatczyk.
Z zast9pstwa w okreslonym rygodniu zwolnionyjest ten s?dzia, kt6ry w danym
dniu ma sesje lub naaq9 wsrepn4
Dodatkowe obci4zenia oraz ich urymiar 1np. dyzury aresaowe3y,wy sgaz;Ow roaz;nnyclr,
toorAynaror"yI
2018
-05- 3 0
(dara)
FORMULAXZ PODZIALU CZ\'}INOSCI
Na podstzwie art. 22a usiawy z dniaz?
lipcn2l}t
t.
prawo o usiroju sqd6w powMechnych (Dz. U. z 2015 r. poz. 133,
zpozn.znt.)w zwiqzkt zE 48 rozporzedzenia Minisha Spmwiedtiwosci zdnia23 grudnia20tJ
uEedowania sqd6w powszechnych (Dz. U. !oz. 2316), po zasiegni*iu
olinii Kolegiun
r.
Regulamin
Sqdu Okregoweso
we Wroclawiu (pyci?g z protokolu posiedzenia srdowi zalqcznik do niniejszego dokumentu) ustalam nastepujqcy
jndywidualny podzial czynnosci w okesie od dnia 1.02.2016
r. do dnia
ImiQ
3
L 12.2016
r.
(imiona): Ewa
Nazwisko: Barnaszewsla
Sanowisko sluzbowe: s€dzi,
Przydzial do wydzialu lub wydzialow:
Petnione
ftnkcjer
II Wyoa-r -yraitny6ii6iifi!
VI Wydzhl Wizlracyjny
Prezes Sqdu Okr?gowego weWroctawiu-do dnia 1.O4J016i.
P.zewodnicz{cy VI Wydztatu Wizytacyjnego - do dnia 1,04.2016 r.
Przewodniczqcy Kolegium Sedu Okrygowego we Wrocrawiu " do dnta 1.04,2016 r.
Reguly przydziatu sprawl
wskarnik procentowy udziatu w przydtale wplywaj4cych do wydzialu tub pionu spraw (procent czynnoscr
otzecznic4ch ptzy zalozeniu, ze dla osoby *ykonuj4cej rlylqcznie czynnosci orzecznicze wskaznik ten Wnosi
10070)i w wypadku przydzielenia do wi9cej nizjednego wydziatu nalezy poda6 rvskaznik procenrowy odrebnie dla
kazd€go z nich:
-
II Wydztrl Cy'rvilny Odwolawczy - delegacja do S4du Apelacyjnego we Wroclrwiu do dDia 31mrja
2016
-
r.
erventualne dodatkowe lub odnienne reguty przydziatu spraw od zasady automarycznego przydziatu spraw (np.
sedziawyspecjal;zowany, wydziaty rodzinn€ ; ni€l€tnich, rejestrowe):
udziatut;rrydzit;;tryajry
Uzasadnienie regut przydzialu spmw - ustatenia wskaznika procenroweg;
\irydzialu Iub pionu spraw ze wskazaniem przyczyn zastosowania nizszego \,,/skaznika niz 100% oraz sposobu
ustaleniaj€go \rysokosci (podlega \rypelnieniu w razie ustalenia wskaiiika na poziomie njzszym niz 100%o):
Zasady zast?pstw:
VI Wydzial Wizytacyjny - Zas4pca Przewodniczecego Wydziatu
Dodatkowe obciazenia oraz ich wymiar (np. dyzury aresztorve, dyzury sgdzi6w rodzinnych, koordynarorzt
PR ZES
20t6 02. t
0
t
FORMULARZ PODZIALU CZYNNOSCI
Napodstawie 5n.22austawy z dnia 2T lipca
2001r.
pmwo o ustroju s?d6w powszechnych
(Dz. U. z 2015 r. poz. 133,
zp6tn.na.)w zwl4zk\z t 4g rozporzedzenia Minislra
Sprawiedljwosci z dnia 23 grudnia2015
Requnmn
urzldowania sQd6w powszechnych (Dz. U. poz.23161.
po zasifgnrgciu opinirKot€gium SqOu
Okrqgo.ego
we Wroclawiu (ryciqg z protokolu posiedzenia
$anowi zalqcznik do niniejszego dokumentu) usralam
nast9puj?cy
indywidualny podzial czynnosci w okresie
od dnia 30.05.2016 r. do
r.
dnia
Init (imiona):
rrzydziat do
3
]
12.2016 r.
Jolanta
*ydzialu@
rif"IF5:;t#:y",'#Jfl:.xfi?,1x'iilf,trtflx;'J,;:#".il1'ii.1ft:::"xt:y"(i.,?"#1;?ts:,",,
do wiecej nizjedneg'*yaiia"*r.izyp"aJ*"r#irli""il"*y"a,eu"r"ar"
ll#:];T?d*o'"o.ierenia
1000/0
dhffi:.i:,1lJffl[|:XffiTil,ffy,11"''1i1x11'.:j:##Tadvautomatvcznegoprzvdziaruspraw(np.
ustar€niaj€go'vysokosci(p"ar"g"*rp"r"i""i".;i,"i"""'a;;l;"ff;T"'ilffi;#i.1j,","",;-";ffiydl
Zas,aa^y
zasrsp"rw
sEaT
io
nurKowsKr. J.Matrk, w JI tygodniu miesiAca:K.
Kremjs, U. Kubowska_pi€niEzek, B. Stachowiak, J.laron,
ry- godniu miesiqca: A. Kuczynska, J. Bojko, p. Cruszczynska"Michurska,M.
Kuzniar a w IV tyg;dniu mi€siEca: K.
wlll
WrFcrycka, D. Stawicka-Moryc. p. Jarmundowicz,
M. Dasi€wicz_Kowatczyk.
Z zastepstwa w okeilonym rygodniu zwotnionyjesr
ten sgdzia, kt6ry w danym dniu ma sesjp lub naradg wstgpne
OoUatkowe obc;qzenia o
2016
-05- 3 0
FORMULARZ PODZIALU CZ\NNOSCI
Na podsiawie art. 22a ustasy z dnia 2T lipca 2001 r. _ prawo
o ustroju s4d6w powszechnyc h (Dz. U. 2 2015 t. poz. 133.
z
p6zn na )
zwi!2ku z
t 48
rozporz4dzenia Minisha sprawiedliwosci z dnia 23 gndnia 2015
urz$owania s4d6w powszechnych (Dz. U. poz. 2316), po zasiggnigciu
opinii Kolegium
't
r.
Regura,oin
Sqdu OkFsowego
we Wroclawiu (syciqg z protokolu posiedzenia stanowi zat4cajk
do niniejszego dokumenh]) ustalam nastQpuj?cy
indywidualny podzial c4nnosci w okesi€ od dnia 30.05.2016 r.
do dnia 3 r . I2.2016 L
ll,niq(imiona)r
\,la lgorzr I a
I
wlzltator
ds. egzekucyjnych
+-g!Y+g+4rrsEqr!q!4!"rso"
Kegury prz'ozraiu sprawl
eso we
w"ocr@
- l'skaznik prccemowy udzialu
$
u?Uvajacych do r_ryd"iatu tub pioFu spraw iprocent (4 nnoscl
_pr7)driate
otzEczrrtc4ch pr,zy zatozeniu.2e dla oroby wykonujqcej uDlEcrnie czynnojciorTecznicze
wstaznir, ren wyno.r
rw%): w qphadku przydzielenia do wigcej nizjednego wydziatu nalezy poda6 wskarnik procenrowy
odQbnie dla
,
Wydzlil Crdilny Odwolawczy - 50% w sprawach egzekucyjnych
(z
brrku takiej ilosci 50% kotein€go
VI Wydzial Wizytacyjny - 10070 otrowiqzk6w wizytacyjnych
ew€ntualne dodarlowe lub odmienne reCUty przyd?iatu spmM od zasady automarlcareao przydziatu
sDraw rn0.
s9dziawlspecjali/o$any. wydzialv rcdzinne i nieternich. rejestrower:
-
II Wydzial Cywitny Odwotawczy - sQdzie specjarrsta
ds,
egzekucyjnych
Uzasadnienie r€guly przydziatu spra
trydzialuIub pionuspraw.ze wskazaniem przyczyn zasrosowania nizszego wskaznika;iz l00yo oraz
sposobu
usrarenraJego wysokoscr (podtega wypelnieniu w razie ustalenia wskaznikana poziomie nizszym
niz 100y0):
sdzia wizyhtor, sedzia specjalista ds. egzekucyjrych , cztonek Koleet,rn Sqdu OkrQgow;go we Wroclawiu
zasady zastQpstw: II
przeek6d w_€dlus
wydziat cywitn
Tsad og6lnych w kolejnosci: w r tygoUniu miestfua: rvr. srurirrit;, C2. Cho;zepa, M. Kurkowski.
Malik, w 11 tygodniu miesi4ca:K. Kremis, U. Kubowska"pieniqzei, B. Stachowiak, J. Jmon, w ti
lgoomu
mieshcar A. Kuc4dska. J.Aojko. p. cruszczynska-Michurska,M. Kuzniar aw IV rygodniu miesiqcar
K.
Wrqczycka D. Staw icka-Moryc. P. Jarm u ndowicz, M. Das\ewicz-Kowatazyk. Z ?asigpstwa w ot<restonym
rygoaniu
zwolniony jest len sedzia, kt6ry w danym dniu masesjg lub naradg wstgpn4.
vI wydzial wizytacyjny - zastppowany przez sdziego wizytatora ds. cj,rvitnych
J.
Dodatkowe obciqzenia oraz ictr
?0,|0
-05- 3 0
(data)
wy'n@
I
FORMULAXZ PODZIAI,U CZYNNOSCI
Na podstawie art. 22a usrawy z dnia 2? lipca 2001 r.
z
pozn zm) w zwiqzku z
g
-
prawo o usrroju sqd6w powsachn ych (Dz.
48 rozlorz4dze'ia Ministm sprawiedliwosci
z dnia 23 grudnia 20 r 5 r.
U
,
. 22015 r. poz. 133,
Reguiamin
urzQdowania s4d6w powszechnych (Dz. U. poz.2316), po zasiesniqciu
opinijKolegiun SqdLi Okregowego
we Wroclawiu (wyciqg z protokolu posi€dzenia stanowi zal4cznik do niniejszego
dokumentu) ustalan nasrepujqcy
indywidualny podzial crtnnosci w okresie od dnia L06.2016 r. do dnia
3
1.12.2016 r.
IniF (imiona): Jotanta
uuNcrrcz'nr{wczyK
yuzrdu
ruD
wyqaarow: wydzialcywitny odwotawczy
(egury pr4dzratu 5ptaM:
-
wsktnik procenro\4f udziatu w.p.zydziate $ptywajac)ch
do
sldzialu
tub pionu spraw (procenr c/)nnoscr
;skrnik ren wynosr
ni2jednego wydzialu nalezy poda6 wskaznik procento\ry odrtbnie dta
pt.? ntozeniu..ie dla osoby.wykonujqcej $ylqczn;e c4nnojci opeoznicz€
?t":#.Z:tych
ruu%)r
w $)padku pzydzielenia
do
wiFej
Delegowana do Sqdu Apelacyjnego we Wrochwiu od dnta
t czerwcr
2016 r. do dnia 30listooada zt 16
r.
ewenrualne dodatkowe lub odmienne reguly przydziatu spraw od zasady autonarlcrnego prrydziatu
spmw rnp.
sqozra
wyspecjal|r0wan'. \r)dziab
'odrinne
i nielelnich, rcie.nowe,:
Uzasadnienie r€guly przydziatu spr
wldzialu l u b pionu spraw_ze wskaz an iem przyczyn zastosowania nizszego wskaz nika n;z't
ustareniajego \.rysokoici (podtega wypelnieniu w razie ustatenia wskaznika na poziomie
0O%o
oraz sposobu
nizrzyrn niz 100%)l
Zasady zastepstwl
Doda*owe obciqzenia oraz icl *ymiar rnp. ayzu.y
2016
-05- 3 0
ares@
FORMULARZ PODZTALU CZY]INOSCI
Na podstawie art. 22a usrawy z dnia 27 lipca 200
zp62n z*,) q zwi4zkttzS
48
i r. -
prawo o usrroju s4d6w powszechnych
(Dz. V. z 20t5 t. poz. 133,
rozporzqdzenia Ministra sprawiedliwoici
zdnia23 srudnia20l5
r.
R€gulamin
urz9dowania s4d6w powszechnych (Dz. U. poz.
2316), po zasiesni9ciu opinii Kotegium SQdu Okrlsowego
we Wroclawiu (rycias z protokolu posiedzenia
stanowi zatEczrik do niniejvego dokumenru) ustatam nasrepuj4cy
ndywidualny podzia] czynnojci w okesie od dnia
30.05.2016 r. do dnia
Stanowisko stuzbower
rrzyazi*
ao
3 I
.
12.2016 r.
sed;i;
wyaziatu@
vI WJdzi,l wizytacyjny
P€lnione funkcje:
qdzia *@raror
as. cywirnycrr
::1ii&:ti;T':i'",y"{ii,i:.xtJ?'1i;ilf"1il?*:'s,l:#",;#",J.:fl::}ffi}"(fi"#ff?"1ffi'"",
l#:l;iH"ll* *t"iereniaao wiecej nizjeaneg;,,id;"tu ";;t;;il;;i"a,ii-p.""X,"iy "*eu"i" ar"
II Wydzial Cywilny Odwotawczy "50%
l.I Wydzial Wizytacyjny - t00yo obowiqzk6w wizytacyjnych
;':H"ff$fflffi
]*,:ffi1#"'ffy' ll:'#',t',:ffi$zasadv
automatvcznego przvdziaru spnw (np.
Urasaanlenie reguty przya
y,:;1:*l::^r.':HTX::y:ltTi"T
nizszes; wskaznika i,:ziool" o.u! .po,oo,
f,?""r
T".sow;ia ,rrt"znit"
ustalenia jeso \i?sokosci (poat"gu wyp"rni"niu
,i ,-i"
," pori".iJ;;;; ifi:;";
"rt"t""i"
sQdzia
wizytator
IIWydzial C'rvilny Odwotawczy -s9dziowi€
zastgpuj4 si9 wedlug kolejnojci: w I rygodniu miesi4ca:
M. Brulifiska, Cz. chorzepa, M. Kurkowski, J. Malik w rr tygodniu
niesi4ca,
.K.#i., u. ruio,,i",.u"ei"niqor.,
B Sfachowial! J. Jarof, w IiI rygodniu miesiEca. Kuczyfska, J. Bojko, p. cruszczyiska_Michurska,
M. Kuzniar, w
IV rygodniu miesi4ca : K. Wreczycka, D. Stawicka Moryc, p.Jarmundowicz,
M. Dasiewicz_Kowalczyk. Z zasepstw
w okeslonyn tygodniu zwotniony jest sgdzia, k6ry w danym
dniu n]asesje lub naradt wstppnq
r
VI Wydzial Wizlracyiny - zastepowany przezl
- spdziego wizytatora ds. cywilnych
- sldzi6w wizt4atodw ds. egzekuoyjnych
- sedziego wizyratom ds. wieczystokiegowych
Ooda*owe oOciezen;a o
2016
t5-
(data)
30
f ORMULAM PODZIALU CZYNNOSCI
Na podstawie an.22austawy z dnia27 tipca2o)1t.
-prawo o ustroju sqd6w powszechnych @2. U. z 2015 r. Doz. 133.
zpozn.n)w zqiqzk! zl48 rozporz?dzenia Minisrra Sprawiedliwosci z dnia 2j grudnia20t5
Regulmm
unedowania s4d6w powszechnych (Dz. U. poz. 2316), po zasiggnigciu opinii
Kolesiun Sqdu Okregoweso
we Wroclawiu (*yci?g z protokolu posiedzenia stanowi zarEcznik do
niniejszeso dokumeniu) ustalam nastlpul4oy
indywidualny podzial czynnosci w okesie od dnia 30.05.20 t 6 r. do
dnia 3 l. 12.2016
r.
r.
Imi?(iniona): Malgorzata
yuz'aru ruo wyoaarow: rr wydziar
rwihy
Odwolawczy
Reguly przydlialu spraw:
wskarnik procenlowy udziaiu w_przydliate wptywajacych do w)dtatu lub pionu spm\ rprocenr
czlnnoscr
r"J"r:liu.7e dla osobr wlkonujqcej \.r) racznie czynnosci orzec;icre wsk#nik ren wynosi
:rj":ilT1:i
roo%);
w wypadku przydzielenia do wiecej nizj€dnego $f,dzialu nalezy poda6 wskaznik procentowy
odr;bnie dla
li2
r000/r
-
ew€ntualne dodatkowe lub odmienne reerty pzydzialu spraw od zasady automatyczlego przydziatu
spraw (np.
wldziaty rodzinne i nieternich. rejesho$ e):
ssdzra wyspecjali/owany.
a
spraw _ usralema wskazn'ka procentowego udziatu w przydziale \lpt}^vaj
Ecych do
pzyczyn zastoso.wania nizszego wskaajka niz 100% oraz sposobu
usH€nlaJego wysokosci{podtega wypetnieniu w razi€ usfal€nia wskaznika na poziomie nizszyn
niz lboyo):
wyd,ziatu
lub p ioru rpraw_ze
wskazan iem
Zasady zastgpstw: sgdziowie zasrgpuj4 sip
Kurkowski. J. Malik,
*@
wII
tygodniu miesiE€a:K. Kr€mis, U. Kubowska_pi€njqzek, B. Stachowiak, J. Jarorh, wIII
miesiqca:A.
Kuczynska, J. Bojko, p. Cruszczy6ska-Michurska,M. Kuzniar aw IVtygodniu miesi4ca:K.
tgodniu
Wreczycka, D. Stawicka-Moryc. p_ Jarmundowicz, M. Dasiewicz_Kowalczyk.
Z zast?pstwa w okeslonym Egodniu zwolnionyjest ten sdzia, kt6ry w danym dniu ma sesjp lub narade
wsrlpna
Dodatkowe obciqzenia oraz ictr wymiar
2018
-05- 3
0
(dala)
1np.@
FORMULARZ PODZiAI.U CZ\'].]NOSCI
Na podstawie alt. 22a usrawy z dnia 27 lipca 2001
r.
z pozn. zm ) w zwiqzku z g 48 rozporz4dzenia
-
pmwo o ustroju s4d6w powszechn ych
(Dz. U. z 20\5
Minislr' sprawiedliwosci z dnia
23 srudnia 2015 r. _
t.
poz. 133,
Resulanin
urzQdowanja s4d6w powszechnych (Dz. U. poz.
2316), po zasiegnigciu opinii Kolegium Sedu Ok9goweso
we Wroc.lawiu (wyciqg z protokolr! posiedzenia
stanowi zal4cznik do niniejszeso dokumentu) usralarn
nasrgpuj?cy
indywidualny podzial czynnosci w ok€sie od dnia
30.05.20I 6 r. do dnia 31. l2.Z0l6
ImiQ
r
(imional patrycja
Nazwisko:cruszczyfi-ka-MichurskaStanowisko stuzbowe: sedzit
nzyazi*
ao
uyaziatu tut wya;arwr
I
Wydztarcywitny Oawotarvczy
w.przydziate wplywaj?cych.do
{ziaru
:.1-*31'j.{T:'"y
orzeczniczvch przv zarozeniu,
z€ dta osobv wrkonui4cei
,llji.];iH"i|"
t"*ierenia
do wjec;j n;2jednes"
wydziatu lub pionu spraw (procent cz}nnosci
rylqcznie czynnosci orzecirioze wskaznik ten wynosr
"5,aii"r"
*r.ia p"aae*"r"z"itl.""*.*v
"a.eu"i"
ar.
t00vo
;,::,:"ffi;:.fif::ffill',:itrT::,Ty,if,,*fllsprawodzasadvautomarvcznegoprzvdzia,usp'"w(np.
,^udnt"nt"."tu,r rr"
lJ,:'::*l::^t'::::llix::Il111T1"lt'"v*v""1"'osowanranizszeg-owskaznit"i';ziool"",J,p"""o"
ustalenia jeso \rrsokosci (poarega wypernieniu
ri razie
G;;iil#;ji;;;;;;;i#;;fi
# ifit:i
Zasady zastwstw: sgdziowte
"
trr:dniu
miesiqca:K. Kremh,
111"1*,
f : Y",! L,t
tygodniu
miesiAca: A. Kuczydska J. Bojko, p
lr
u. Kuborvska-pieniqzek, B. sraohowiuk, r..ra,on, w
cruszczynska-Michurska,M. Kuzniar a w IV
ryg;dniu miesi4cai K.
WrFczycka, D. Stawicka-Moryc. p. Jarmundowjcz\,
M. Dasiewicz-Kowalczyk.
Z zastepstwa w okeslonym tgodniu zwolnionyjesf ren sgdzia,
kt6ry w danym dniu rna sesj9 tub naradg wstwn4
OoAa*owe obciqzenia oraz
FORMULARZ PODZIALU CZYN,}{OSCI
Na podstawie art.22a usrawy z dniaT7
z p()zn.
tipca2}}l r. -prawo o usrroju sqd6w powszechnych (Dz. U. z 2015 r. poz. 133,
zn.) w zwiY.kD z \ 48 rozporz4dzenia Ministm Sprawjedliwosci
z dnia 23 grudnia 2015 r. _ Reguramrn
urzedowania sqd6w powszechnych (Dz. U. poz. 2316), po
zasi9gnigciu opinii Kolegium SQdu Okrgsowego
we Wrcclawiu (!!rciqg z protokolu posiedzenia stanowi zatqcznik
do niniejszego dokumertu) ustatam nastepuj4cy
indywidualny podzial cqnnosci w okresie od dnia 30.05.20
t 6 r do itnia 3 t. 12.2016 r.
Imi?(imiona): Piotr
Nazwisko: Jrrmundowicz
rrzyazial ao \ryaziatu tur wya;atOw tr
Wyoziat.ffiy
Oavrotawczy
",:+ffiI,i;T,'#"#J*',f:J,',i?"x"#'il**,T"X;'#:,H".A1l",J.'"i;:::"X?y"(*,."_?tT?tH::.,
*r"ierenia do wiecej n:z jedii€eo
ifff:)J
*ja,;uru nurJ"y poauc ,n"rJ"'rr p.""*t",,y
y"i:on"
"a.6"i"
ar"
1000/"
;,:X"ffii"fff::Tffil*',:ffi1ffi","'l*Xt,i'"'fi;:j:S:$zasadvautomatvcznegoprzvdzialuspraw(np.
Y:f*l::f
t:c_l1 g't9.iatu "praw
wskazaniem przyczyn zastosowania niz:szego wskaznika niz r00zo oraz
sposoou
:"{:l:1,'l:^ry}:!:iy.e
ustaleniajego
livsokosci (podrega wvpelnieniu w razie ustaienia wskaznika
pozr",n,",r^"y.
na
,r,
i5o7o,
Zasady zastgpstw: zastppuja si9
J.
Malik, w II tygodniu miesiqca:K. Kremis, U. Kubowska_pieniqz€k, B. Stachowiak,
r. raron, w III rygoomu
miesiqca: A. Kuczyfskq J. Bojko, p. cruszczynska-Michurska,M. Kuzniar
a w tV rygodniu miesi4car K.
Wrgczyoka, D. Stawicka-Moryo. p. Jarmundowicz, M. Dasi€wicz_Kowalczyk.
Z zast9pstwa w okreslonym rygodniu zwolnionyjesften sedzia, k!6ry w
danym dniu ma sesje lub narad9 wsrepn?
Dodatkowe obciqz€nia oraz
?016
-05- 3 0
(data)
i
f ORMULARZ PODZIALU CZ\'NNOSCI
Na podstawie art.22aushwy z dnia27 tjpca2}}t _prawo
t.
o ushoju sqd6w powszechnych (Dz. U. z 2015 r. poz.
133,
z pozn zn ) w zwivkr z 48 rozporzqdzenia
i
Ministra sprawiedinvoJci z dnia 23 grudnia 20 r 5 r. _
Regulandn
utzpdowania sqd6w powszech
(Dz. U. poz. 2316), po asiFgnieciu
opinii Kolesium
"y.h
SEdu
Oke8owego
we Wroclawiu (wyciqg z prorokolu posiedzenia
stanowi zalqcznik do niniejszego itokumenru)
ustalam nasr9pujacy
indywidualny podzial czynnosci w okresie
od dnia 30.05 _20 t6 r. do dniz3l.12.2016 r.
Imit(imiona.): J"rostat
erzyazialaowya@
-
wsktznik Focento$] udziatu w przydziate wptywaj4cych.do
wydziatu lub pionu spraw (procenr czf,nnosci
pz! Talozeniu,
ofteczntczych
2e dta osobv w\,kol
#f;j;x-lr,i;il' ffi;:ffi H ;i;:l l'#,#ff 3#iff#il#,"j!f ffi ::i:ftHlmfiT.,H::.'
1000/0
-e$,entualne dodatkowe lub odmi€nne reeutv Drz,
sEdzia wyspeciarizowany.
wrr;"t li,i,i,i,i.:rili',j"fi
spm!
od /zsadv automaDczneso przvdliaru spraw (np.
reguty
-U.asaarienie
Tto'o*i'iu nii'"gi .''t-nit" iiziorj;1" ".1 "p"*0"
fjfl;li jego wysokosci (poarega \aypehieniu
l'"-t"
;;,azie;il;-ff;il;:ff;in#;,#.,fr
ustarenia
"j.'"TH:::l,::,T*:jl"I
**'o
t'
Krem js, u Kiubow't*i""iuor,
i"i::lii;l'i:^1'j::ll:l-Y'l'*:l
Yt:*lf
i:iqca:K
.larof,
w III
mhsieca: A. Kuczynska,
J. Bojk",
o."""";;;;;;..kd.
i8lt:;
,^Or r^t*.a,
ty__s-"dniu
"
u.
s'*n"*r"t,
ffi;, ;;il;#;;
.,.
miesi4ca: K. Wr9czy€ka, D. Sra\ricka_Moryc. p.
Jarnundowcz, M. Dasiewicz-Kowalczyk.
Z zastlpstwa w okeslonym
tgodniu zwolniony jesr ten s9dzia , kt6ry w danym dniu ma sesjg lub narad? wstepn4
noaa*owe oUciqz€nia or
m$-0r
30
/
:Viccoler€s
uiaw!ffi"wv*
E$c con
zdrek
FORMULAiZ PODZIAI,U CZYI,N{OSCI
Napodstawie an.22a ustawy
z
zdn\azj
1tpca200t
t.
prawo o usrrojL! sqd6w powsz€chnych (Dz.
U. z 2015 r. poz. r33,
poa. zn.) w zwiqzku z g 48 rozporz4dz€bia Ministn Sprawjedliwosci zdnia23 grudnia20t5
urz9dowania sqd6w powszechnych (Dz. U. poz. 2316), po zasiggnigciu
opinii
r.
Regulamin
Kolegiun S4du Okegowego
we Wroctawiu (wyci4s z proiokotu posiedzenia sranowi zalqcznjk do niniejszeso
dokumentu) ustatam nastepuj4cy
indrridualny podzial czynnoscj w ok€sie od dnia 30.05.2016 r. do dnia 3 r . 12.2016 r.
Imi?(imiona): Ktzyszrof
Nazwhko: Kremis
Przydzial do wydzialu lub wydziat6w:
II Wydzial Clwilny
Odwolawczy
VI Wydzial Wizytacyjny
Pelnionetunkcje: wizyrarords. uieczysroiiGorrctr
-
wskaznik proc€ntowy udzialu w pzldziate wptywajqcych do wydtatu lub pionu spraw (Focent
ozynnoscj
otzEczrtcrycn ptzy zatoten iu, 2e dla osoby Wkonujqcej ,yl4cznie czynnosci orzecznicze wskaznik
ten wynosi
100%o); w wypadku przydzielenia do wiecej nizjednego qf,dzialu nalezy podad
wskaZnik p.ocentowy
odibnie dla
II Wydzial C]wilny Odwolawczy,100
9/o spraw wieczysroksiggowych oraz30 yo pozostalych wgkolejnosct
VI Wydzial Wizytacyiny - 100% obowiqzk6w wizytacyjnych
ewentLralne dodatkowe lub odmienne reguly przydziatu spraw od zasady auromarycznego przydziaru
spraw (np.
seozra wyrpecJanrowan) . wydTraD rodzinne i nieletnich. rejesrowel:
sedzia specjalist! ds. wieczystokiegowyeh
ustateniaws@
Uzasadnienie regulyprzydziatuspraw
wydzialu lub pionu spraw ze wskazanien przyczyn zastosowania nizszego wskaz nika niz t 00% oraz sposobu
ustalenia jego $f,sokosci (podlega wypelnieniu w razie ustalenia lvskaznika na poziomie nizszym
njz t 00olo):
sedzla wizytator
II Wydzial C'rvilny Odwolawczy - sedziowie specjalidci zastepujq sie wzajemnie a w razie przeszk6d wedlug zasad
og6lnych wkol€jnoscirw I tygodniu niesiqcarM. Brulifska, Cz. Chorzep4 M. Kurkowski, J. Malik, w II
rygodniu
miesi4ca. Krenis, U. Kubowska-pieniqzek, B. Stacbowiak, J. Jaroi, w III tygodniu niesi4ca: A. Kuczynska,
J.
Bojko, P. Gruszczyiska-Michurska,M. Kuzniar a w tV tygodniu miesi4ca: K. Wrgczycka, D. Stawicka-Moryc. p.
Jarmundowioz, M. Dasiewicz-Kowalczyk. Z zastQpstwa w okrejlonlan rygodniu zwolnionyjesr ten sedta kr6ry w
,
danym dniu ma sesj€ lub naradg wsrgpn4
VI Wydziat Wizytacyjny
" zastppowany przez:
- sFdziego wizytatora ds. cywilnych,
- stdzi6q/ wiz',tator6w ds. egzekucyjnych.
Dodatkowe obciqzenia or^z ictr wymtar inp.
20r6 -05(data)
30
ayzu@
FORMULAM PODZIAI.U CZYNNOSCI
Na podstawie arr.22austawy z dnja2l tip.a200j
r. _prawo o usroju sed6w powszechnycir (Dz.
U. z 2015 r. poz. 133,
z potn zn ) w zwi4zku z 48 rozporzEdzenia
s
Minisr|a spmwiedriwosci z dnia 23 grudnia 2015 _
r.
Regulamn
urz9dowania s?d6w powszechnych (Dz.
U. poz. 2316), po zasiegniqciu opinii Kolesiun
Sqdu Okrygowego
we Wroclaiviu (ryciAs z prorokotu posiedzenia
stanowi zalqcznik do niniejszego dokumentu)
ustalam nastFpujqcy
indywidualny podzinl cz,,nnojci w okresie
od dnia 30.05.2016 r. do dnia 3 I .12.2016
r.
Nazwiskoi Kuczylirka
e.aazintao*yaz@
\
nlocenrory ualiatu przydriale wprrvajqcych.do wldT;atu lub pionu
spras rprocenL czlnnoscl
orzecznrczloh prry zatozeniu. ?e dta osobl wvkonujqcej
wyl4cznie czynnosci ozecznicze wsl,aznik ,cn
wynosl
o*"ieleniado wiscej nizjedneg"wjaim *r,,'a poa"j
^"lii$-l
i#;:J":
ffi**
*"r"zii"r-p."""#.*v oa,eui"aru
to00/o
ewentualne dodatkowe lub odmienne rcsulv
sedzia wvspecjalizowany, .\,,/ydzialy rodzi;;
Dr.
i
;ieielznlft
spraw od zasadv automatvczneso przvdziatu spraw (np
ustareniajegoilsokoici(poar"gu*trp"rni"ni";;i-i;il;;iilffi1#;";ffi#;#ffiiffi:r"i
Zasaay zasqpstw:
sgazio
epa,
M.
y," rygodniu,miesiEca:K. Kremis, u. Kubowska-pi€niEzek, B. .""r,"*i"r" ,. ,*"0, * u,
lj^l"lli,]_,y1]-;
tygodniu
miesiEca: A. Kuczylska, J. Bojko, p. cruszczyfska_Michurska,M.
Kuznr, * ,u ,"r*",,1,i'i#ll o.
Wrpczycka" D. Stawicka-Moryc. p.
"
Jarmundowicz, M. Dasiewjcz-Kowalczyk.
Z zast€pstwa w okr€Slonym
tgodniu zwolniony jest ten sgdzia , kt6ry w danym dniu ma sesj9 tub naradp wst9pn4
Ooaadrowe oUciqzenia o
2016
-05- 3 0
(dala)
FORMULARZ PODZIAIU CZ\'].INOSCI
Na podstawie ar!.22austary
zdnia2j tipca2001t.
pmwo o ustroju s?d6w powszechrych(Dz.U.
zn ) w zwiqzku z { 48 rozporzadzenia Minisrra sprawiedliwosci
uqdowania sqd6w powszechnych (Dz. U. poz.2316), po zasigsnieciu
z p6zn.
z dnia 23 grudnia 2015 r.
-
z2lt5 r.poz. r33.
R€su€mm
opinii Kolegium Sqdu Okryeow€eo
we wroclawiu (wyciqg z prorokolu posjedzenia shnowi za{qcrnik
do niniejszego dokumenru) usralam nasr9puj4cy
ind'ridualny podziat czynnosci w okresie
od dnia 30.05 .20t6 r. do
dtia
31.12.2016 t.
rrzyazial ao ryaziAu luU r.q,aziatOw rr WyOiar Cyrvitny Oawotawczy
Pelnione
fimkcje;
sgazia
wizyrat-iai cyrv r5,ct
udzialu
\
przydziale wprysajqc) ch do wldzialu tub pionu spraw, procent czynnoscl
-,:,slazn1k ryocenroy
o,t#z:t.:z!.:.h,p?
zator:niu. re dra osoby wlkonujEcej xytaclnie czynnojci ozecAicze wsLaznik Fn w)nos,
i ouvor; w \rypadku przydziel€nia do wiecei niz iednego
rydzialu nalezy poda6 wskatuik proc€ntowy odrtbni€ dta
kazdesoznicb:
IIWydzial Cywllny Odwolawcz) -50o/o $Dh$u
Vl W)dzial Wizytacyjny - t00% obowiqzk,;w wizJracyjnlch
r,b odmienne.regury przydziaru.praw od za"ady auromarycmeso pfz) dziatu spraw (np.
_::,:ii"]I-!:j:tll.
seoz€ w)specJatrzowan). wyd/ialy rodzinne i nielernich, reiesr.owej:
U/asadnienie reguly przydziat,
s
wskazaniem przyczyn zastosowania nizsz€g; wskaznirra
:.'l.^d,1,:l
ustareniajego
eysoko&i (podrega wypernieniu w razie ustalenia wska;ka na
]:! !i:"i:!Ty.'e
nizioo"z ora'z sposoou
;; it" *iiii ia l6iiit,
sedzta wizytato.
IIWydzial Cywilny Odwolawczy - s9dziowie i zast9puj4
siF w kolejnosci: w I rygodniu miesiAca: M. Brurinska,
Cz. Chorz€pa, M. Kurkowski. J. Malik, w II tygodniu miesiEca. Krenis, U. Kubowska-pi€niAzeh
B. Srachowiak, J.
Jarcf, w III tygodniu miesi4ca: A. Kuczynska, J. Bojko, p. cruszcz}1iska_M;churska,M. Kuzniar a w I v
rygodniu
miesi4ca: K. Wr€czycka, D. Stawicka-Moryc. p. Jannundowicz, M. Dasiewioz-Kowalczyk.
Z zastepstwa w
okre,ilonym rygodniu zwolnionyjest ten sedzia, ld6ry w danym dnio ma s€sji lub narade wsepn4
vI
Wydzial Wizytacyjry - zastpowany przez:
" sQdz;ego lvizytatora ds. cywilnych,
- spdn6w wizltator6w ds. egzekucyjnych,
- sgziego wizltatorads. wieczysioksi9gouych.
Dodatkowe obciqzenia oraz ich wy'niar (np.
2010
-05- 3 0
(data)
ayzur@
FoRMULARZ PODZIALU cZ\,]\INoscI
Na podstawie an. 22a ustawy z dnia 27 lipca 2001 r. _ pmwo
o ustroju sqd6w powszechnych (Dz. U. z 2015 r. poz. 133.
z pdzn zm)wzwi4zkuzg48 rczporz?dzenia
Ministra sprawiedliwosci z dnia 23 grudnia 2or5 r.
-
Resuhmin
un9dowania sqd6w powszechnych (Dz. U. poz. 2316), po
zasiggni9ciu opinii Kolegium Sqdu Okesowego
w€ wrociawiu
(rlci?8
z
protokolu posiedzenia stanowi zalAcznik do niniejszego
dokume.tu) ustalarn nastgpuj4cy
ind)vidualny podzial czynnosci w okresie od dnia 30.05.2016
r. do dnia
Imig
3 L
12.2016
r
(imiona): Monika
rrzyazi*
ao
wyaziatu@
#F*[i;"tr#:y"tYj*JJli'J."',#i,i:iill.x;'s;;;l,"?it],xi::::"x":]"(*,"?#1i?ffi:'",,
1000/"I w wwhadku przydzieieniaAo wiqcej niz;ea;€eo
*:;aiiuru
narJry poaac
*"rJ"-it p.""*t".y
"a.et"i"aU
r000/0
;:X"ffi:"jlfli:ffil$:iffTil:ffy,11"',9;11'.$l#:61'advautomarycznegoprzvdziatuspraw(np
Uzasaanienru reguty przy
y.:1,:*,'ll^li:11:f,,:L,"wskazaniemprzyczynzastosowanianizszegowskarnika;iz'r00oloo;
ustarenia
jeso wysokos€i (podlega uypelnieniu
Zasady zastppstwr sgdziowt"
i
razie
*
"rt"r""i" ""uzjr.u
sposobu
p-io*-iJ iJi,i'"niioi,i,)"i,
'*
Kurkowski. J.Malik, wII rygodniu miesiEca:K. Kremis, U. Kubowska-piendzek,
B. Stachowiak, J. Jaron, w III
tgodriu mi€si4ca: A. Kuczyfskq J. Bojko, p. cruszczyhska-Michurska,M. Kuzniar a w IV
ryg;dniu niesiAcar K.
Wreczycka, D. Stawicka-Moryc. p. Jarmundowica M. Dasiewicz_Kowalczyk.
Z zast9pstwa w okreslonym tygodniu zwotnionyjesr ren sgdzja, kt6ry
w danym dniu ma sesjg tub narao? wsr9pn4
Dodatkowe obci4zenia oraz
2016
-05- 3 0
E4u
orf.o;6;
wrcttariu
Wg '(ta4&4/"P\
FORIVI{JLARZ PODZIATU CZI.}\INOSCI
Na podstawie an. 22a usrawy z dnia 27 lipca 2001 _ prawo
r.
o ushoju sqd6w powszechny ch (Dz. U. z2Ot5 t. poL
r33,
z pozn zm.) w zwiqzku z g 48 rczporz4dzenia
Minisrra sprawi€diiwosci z dnia 23
_
srudnia 2015 r. Reaulanin
urzedowania sed6w powszechnych (Dz. U. poz.2316).
po zsiesni$iu opinii KotesiLrm sqau
okggowego
we wroctawir (wyciEg z protokolu posiedzenia
stanowi zal?cznik do niniejszego dokumenru) usratarn
nast9pujEcy
jndywidualny podzial
czynnosci w okresje od dnia 3U.0j.2016 r. do
dnia 3 1.12.2016 r.
eraaziatdoqa;a@
-
wskalnik procentowy udzialu wprzydziate wpt
orncniczychpnyzaioza,t,,,"dl;;*b./;f;il?"X:1ffiil1.#ii"*Xfi:::"H:y"(*.,"#ff?"1ffi;,
ilTf];Xy#r* *"*ierenia do who;j n;zj€d;eso "r;a;ar" ""r,ia p"iJ*"i"z"r-rp.""X,"*y*.eu"i" an
100o/o
ilX"#$#if:\ifi]*,:XffiT;ffy,
Uza5adn;enie'eguly
rj#
l1;1"1'i:11 '.',i?JJ$zasadv
automarycznego przvdzia,u spraw (np.
przydriffi
it"ff*mm'6
ustaleniajesowysoko(ci(poaregawypernieniu'irazie;;;i;;i;fi;;il;;;#;','#;";fiiffit:i
*.'",#*iH_lff ili"xidiiq;ufi ffi,nfl :fi}:}:-JJj_#,:
Zasady zasJ9psrw: sgdziowle
Ijll"Jlj:,y:ii.,llryrydniumiesi4ca.K.I<rcmis,u.Kubowska-pieniqzek,B
desiEca: A. Kuczynska, J. Bojko, p.
ty, godniu
st*r,"*iiJ_,ar",r*rrr
cruszczyrtska_Michurska,M. kuzniar a w tV tyg;dniu
niesiqcar K.
Wr9ozycka, D. Stawicka-Moryc. p. Jamundowica
M. Dasiewicz_Kowalczyk.
Z zastepstwa w okreslonym rygodniu zwolnionyjesften
sedzia, kt6ry w danym dniu ma s€sje lub naradt wsttpnE
Oodatkowe obciqzenia oraz
2016
-05- 3
0
FORMULANZ PODZIAI,U CZYNNOSCI
Na podstawie a1t. 22a usta\ry z dnia22 lipca
zp6
.
z00l r. - pmwo
o usroju s4d6w powvechnych (Dz. U. z 2015 r. poz. 133,
zrr,) w zyti4zkrrzS 48 rozporz4dreniaMinistra Sprawiedhvosci
z dnia 23 grudnia 20lj r. _R€suramm
urz9dowania sqddw powszechnych (Dz. U. poz.2316), pozasiegnieciu
opiniiKoLegium Sqdu Okregoweso
we Wrcclawiu (wyciqg z protokolu posjedzenia stanowi zatqcznik
do niniejszego dokumenlu) usralam nasl9puJecy
jndywidualny podziai czynnosci
w okresie od dnia 30.05.2016 r do dnia 3 1.12.2016 r.
Przydz i5l do
rlldzialu
lu
b $'}dziar6'^.
|
| \1,' dzia
I
Cy*itntad*ota\"
"4
wplywajqcych do ll.ydTia,u tub pionu spraw {procenr c/ytrnoscl
:":^*gil.fy.l.y "dziatuzew.przydziale
dra osoby.wykonujacej $yr4cznie c,ynnoici o?ecznicz€ ;skaznik FI wlnos,
?lf":f :?:lq1-'"r:liu.
ruuT!lr
w \rl-padku przldzietenia do wiFcej nizjednego wydziatu nalezy podai
wskaznik procentowy o.lrlbnie dta
tn00/"
l,b odmi€nne reguly przydziatu splaw od zasady auromatyczreso przydziaru spraw (np.
_::,:i.,_{:-tt!9T
ssoTra $fspecJatrzowany. wyd/iaty rodTinne i nielernich. rejesno$e):
Uzasadn ien ie reguly
przydriatu.pr".
wydnah lub pionu spraw
o;
I
z€ wskazaniem przyczyn zastosowania flizszeg; wskalnika;iz 100%
ustaleniajego wysokosci (podlega wypelnieniu w razie ustalenia wskaznika na pozio.i"
nixryln
sposobu
rooz"y,
*@
Zasady zastgpstw: sgdziowiezastgpujqsjp
Kurkowski. J. Malik, w II rygodniu m;esiEca:K. Kremis, U. Kubowska-pieniqzek, B. Srachowiak.
J. Jaron. w ll]
tygodniu m;esiEca: A. Kuczynska, J. Bojko, p. cruszcrriska-Michurska,M. Kuzniar a w IV,godniu
miesiAca: K.
WrFzycka, D. Stawicka-Moryc. p. Jarmundowicz, M. Dasiewicz-Kowalczyk.
Z zastppstwa w oke6lonyrn rygodniu zwolnionyjest ten s9dzia, 116ry w danym
dniu ma s€sje lub narade wsttpna
Dodarkoweobci%eniaoraz icn r^ymiarlnp.
2016
-05- 3
0
(data)
@
na201sr (pd 2316)
FORMULANZ PODZIAI,U CZYNNOSCI
Na podstawie alt. 22a ustawy z dr'ia 27 hpca 2001 r. - Prawo o ustroju s4d6w Powszecbnych
(Dz.rJ. z 2015 t. poz, 133, z p6in zm.) w zwi4zk$ z $ 48 rozpotz4dzenia Mini6tra
Sprawiedliwo6ci z dnia 23 grudnia 2015 r. - Regulamin urzgdowania s4d6w powszechnych
(Dz.U. poz. 2316), po zasiegnieciu opinii Kolegiuar S4du Okrlgowego we wloclawiu (wyci48
z protokolu posiedzenia stanowi zalEcznik do niniqszego dokumentu) ustalam nastgpuj4cy
ind'.widualny podzial czFnosci w okresie od dnia 15.05.2016 r. do dria 31:12-2016 L
Imie (imiona): Jolanta
Nazwisko: Malik
Stanowisko sluzbowe: sedzia S4du Reionowego
Przyd,zia! do wydzialn 1ub wydzial6w:
I wydzial C),wilny s4du Reionowego dla wloclawia-srddmiescia we wroclawiu
1l
Wydziat Cywilny Odwolawczy S4du Okrggowego
I y'loclawiu
we
-
delegacia
do't 4..1'l ,2016r,
Pelnione tunkcie:
Reguly przydzialu spraw:
wskaznik procentowy udzialu w przydziale wpry'waj4cych do wydziahr lub pionu sPraw
(procent czynnosci olzecz;riczyctr przy zalo2enit, ie dla osoby wykonuj4cej wyt4cznie
czytn\oici otzeczricze wskaznik ten w)'nosi 100%), w wypadku przyd,zielenia do wiecej niz
jednego nadzialu nale4/ poda6 wskaznik Procefltowy odrgbnie dla ka2dego z nict-.
-
II Wy<lzial Cywilny Odl'olafl'czy - 100%
- ewentualne dodatkowe lub odmienne regoly przydzlal:J spraw od zasady
automatycznego
przydzialu spraw (np. sedzia wyspecjalizowany, wydzialy rodzirme i nieletnicb reiestowe)
sPraw - ustalenia wskarnika procentowego tdzialu w
wplryaj}cych do wydzialu lub pionu sPraw ze wskazaniem Przyczyn zastosowania
przyd
ni2szego^ewskllnika ni2 100% oraz sPosobu ustalenia jego wysoko6ci (Podlega wl?ehrieniu w
G;drt*,t"-""g"ly p.rydrt"lt
mzie ustalenia wskaznika na poziomie nizszym niz 100%):
Zasady zaslepstwl
II Wyd;ial Crdilny Odwolawczy - sedziowie specjalisci zast9puj4 si? wzaj€mnie
a
w rzzie przeszk6d wedlug zasad
og6ilych w kolejnosci: w I tygodniu miesi4ca: M Brulinska, cz Chorzepa, M Kurkowski' J' Mal;k, w II tvgodniu
m'iesiica,r. xrelnis, u. Kubowska-Pi€ni4zeh B. Stachowiak, J. Jaron, w IiI tvgodniu miesiqca: A Kuczvrisb, J'
Bojko, P. Cruszczy6ska-Michurska,M. Kuzniar a w Iv tvgodniu miesi4car K. wrlczvcka, D Stawicka-Moryc P
jest ten s9dzia , kt6ry w
Jarmundowicz, M. Dasiewicz-Kowatczyk. Z zast9pstwa w okesLonvm rygodniu zwolnionv
danym dniu ma sesjg lub naradF wstppnE.
D4"".*-ta4z""t" *",
koord\'.na torzy):
. . ?010.:0.!:
.1
-s-
t.h ."yt"iar
(nP.
dyzury arcsztowe, dyi.lrty sgdzi6w rodzinrrych,
FORMULARZ PODZIAI,U CZYNNOSCI
Na podstawie alt.22ausrawy
zdfia2l t;pc 2001r.
pmwo o ustroju s?d6w powszechnych (Dz. U. z z0t5 poz.
r.
133,
zpoin. z,...)w zwia?ktz\ 48 rozporz4dzenia Ministrc Sprawiedtiwosci
z dnia 23
gudnia 20r
5 r.
_ Regulamin
uuedowania sed6w powszechnych (Dz. U. poz_ 2316), po zasi?gnieciu opinii Kolegium S?du
Oklgowego
we wroclawiu (wyciqg z prorokoiu posiedzenja slanowi zalqcznik do niniejszego dokumentu)
ustatarn nastepujqcy
indywidualny podzial czynnosci w okesie od dnja 1.02.2016 r. do dnia 31 .03.20 i 6 r.
Imig(imiona): Elrbtete
Nazwisko: Sobolewskr-Haibert
Stanowisko sluzbowe: s9dzia
Przydziai do wydzialu lub uydziat6w: Ir Wydzirl Crditny Odworawczy
VI Wydzial Wizltacyiny
Peln ione
funkcje: wizytrtor ds, epekucyjnych
Kegury przyoz'aru sDraw:
- wskaznik pJocentowy udziatu w przydziale wpln'aj4cych do \iydzialu lub pionu spraw (procenr czynnosci
orzEczilc4.hqry zalozfniu, ze dla osoby eykonujqcej wylEcznie c4nnosci orzeoznicze wskaanik ren wynosl
I 009j/o); w wlTadku przydzielenia do wiecej niz jednego wydziatu nalezy podaC wskaznik procentowy odrebnie dla
kazdeso z nichi
Il
Wydzial Cylvilny Odwolawczy - 50
OD DNIA 1.04.2016
%
w sprawach egz€kucyjnych (z braku takiei
itojci 50% koleinego
r.-STAN SPOCZYNKU
-
e$/entualne dodatkowe iub odrnienne regut przydziatu spraw od zasady autonatyoznego prrrydziaru spraw
inp.
sQdziarvyspecjalizowany, wydziat rodzinne j nieletnich, rejestrowe):
sedzia specjqlistx ds. egzekucyjtrych
Uzaradnieni€ reguty przydzialu spraw - ustalenia wskaZnika procentowego udziatu w przyazia pgvaj
wydzialu lub pionu spraw ze wskazaniem przyczyn zastosowania nizszego wskaz nika niz 100% oraz sposobu
ustaleniajego llysokoici (podlega wypelnieniu w razie ustalenia wskarnika na poziomie nizszym niz I 00%)l
sQdzia
wizytrtor
Zasady zast9pstw:
II Wydzlal Cywilny Odwolawczy - sgdziowie specjatiSci zast9pujq sie wzajemnie a w razie prz€szk6d wedlug zasad
og6lnych w kolejnoici: w I tgodniu miesiqcai M. Brulinska, Cz. Chorzepa, M. Kurkowski. E. Sobolewska-Hajbert,
w II tygodniu miesi4ca:K. kemis, U. Kubowska-Pi€niQzek, B. Srachowiak, J. Jarori, w III rygodniu miesiEca: A.
Kuczyfska, J. Bojko, P. Gruszczyfska-Miohunka,M. Kuiniar a w IV rygodniu mi€siEca: K. Wrgczycka, D.
Stawioka-Moryc. P. Jannundowicz, M. Dasiervicz-Korvalczyk. Z zasrppsiva w okeslonym tygodniu zwolnionyjest
ten sedzia, kt6ry w danym dniu ma sesj9 lub naradg wstapnq.
VI Wydtal Wlzytacyjny - zasqpowany ptnzl
- sldziego wirytatora ds. cywilnych
- sdzi6w wizltator6w ds. egzekucyjnych
Dodatkowe obciqzenia oraz ich wyrniar ( np. dyzury aresztowe, dyzury s?dzi6w rodzinnych, koordynatorzD
2010
03. I
6;i
4
Sqdu
Y
lr.nizr]jF
$^^C[