1 MM-ZI, sem. 1, 2016/2017, Matematyka zestaw zada« nr 1.

Transkrypt

1 MM-ZI, sem. 1, 2016/2017, Matematyka zestaw zada« nr 1.
1 MM-ZI, sem. 1, 2016/2017, Matematyka zestaw zada« nr 1.
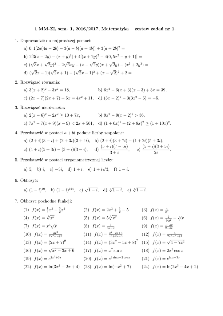
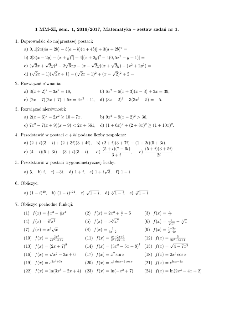
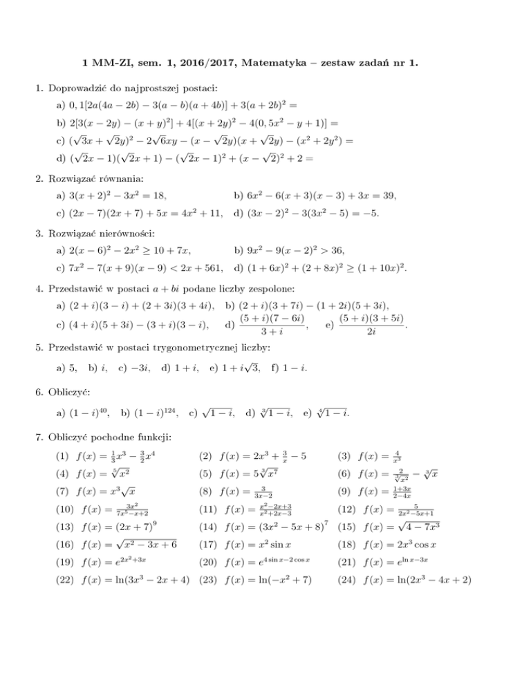
1. Doprowadzi¢ do najprostszej postaci:
a) 0, 1[2a(4a − 2b) − 3(a − b)(a + 4b)] + 3(a + 2b)2 =
b) 2[3(x − 2y) − (x + y)2 ] + 4[(x + 2y)2 − 4(0, 5x2 − y + 1)] =
√
√ 2
√
√
√
2y) − 2 6xy − (x − 2y)(x + 2y) − (x2 + 2y 2 ) =
√
√
√
√
d) ( 2x − 1)( 2x + 1) − ( 2x − 1)2 + (x − 2)2 + 2 =
c) ( 3x +
2. Rozwi
aza¢ równania:
a) 3(x + 2)2 − 3x2 = 18,
b) 6x2 − 6(x + 3)(x − 3) + 3x = 39,
c) (2x − 7)(2x + 7) + 5x = 4x2 + 11,
d) (3x − 2)2 − 3(3x2 − 5) = −5.
3. Rozwi
aza¢ nierówno±ci:
a) 2(x − 6)2 − 2x2 ≥ 10 + 7x,
b) 9x2 − 9(x − 2)2 > 36,
c) 7x2 − 7(x + 9)(x − 9) < 2x + 561,
d) (1 + 6x)2 + (2 + 8x)2 ≥ (1 + 10x)2 .
4. Przedstawi¢ w postaci a + bi podane liczby zespolone:
a) (2 + i)(3 − i) + (2 + 3i)(3 + 4i),
b) (2 + i)(3 + 7i) − (1 + 2i)(5 + 3i),
c) (4 + i)(5 + 3i) − (3 + i)(3 − i),
d)
(5 + i)(7 − 6i)
,
3+i
e)
(5 + i)(3 + 5i)
.
2i
5. Przedstawi¢ w postaci trygonometrycznej liczby:
a) 5,
b) i,
c) −3i,
d) 1 + i,
√
e) 1 + i 3,
f) 1 − i.
6. Obliczy¢:
a) (1 − i)40 ,
b) (1 − i)124 ,
c)
√
1 − i, d)
√
3
1 − i, e)
√
4
1 − i.
7. Obliczy¢ pochodne funkcji:
(1) f (x) = 13 x3 − 32 x4
√
5
(4) f (x) = x2
√
(7) f (x) = x3 x
(10) f (x) =
3x2
7x5 −x+2
(13) f (x) = (2x + 7)9
√
(16) f (x) = x2 − 3x + 6
(19) f (x) = e2x
2 +3x
(2) f (x) = 2x3 +
√
3
(5) f (x) = 5 x7
(8) f (x) =
3
x
−5
3
3x−2
(11) f (x) =
4
x3
(6) f (x) =
2
√
3 2 −
x
1+3x
2−4x
(9) f (x) =
x2 −2x+3
x2 +2x−3
(14) f (x) = (3x2 − 5x + 8)
(3) f (x) =
(12) f (x) =
7
(15) f (x) =
√
3
x
5
2x2 −5x+1
√
4 − 7x3
(17) f (x) = x2 sin x
(18) f (x) = 2x3 cos x
(20) f (x) = e4 sin x−2 cos x
(21) f (x) = eln x−3x
(22) f (x) = ln(3x3 − 2x + 4) (23) f (x) = ln(−x2 + 7)
(24) f (x) = ln(2x3 − 4x + 2)