regulamin Bez Zobowiązań za Pół Ceny VPS

Transkrypt

regulamin Bez Zobowiązań za Pół Ceny VPS
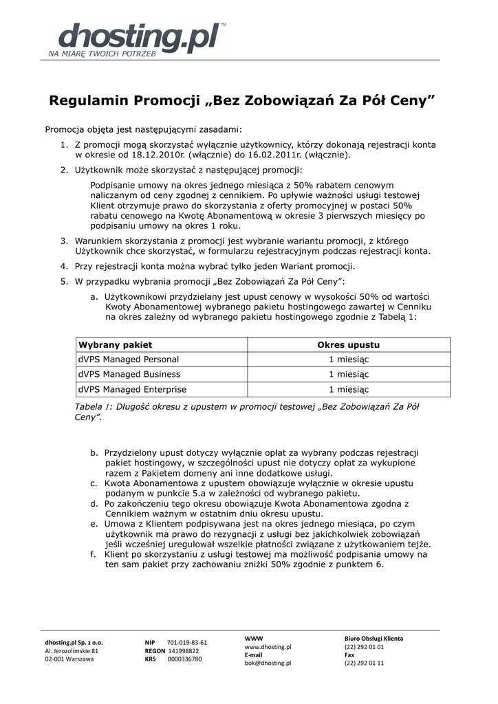
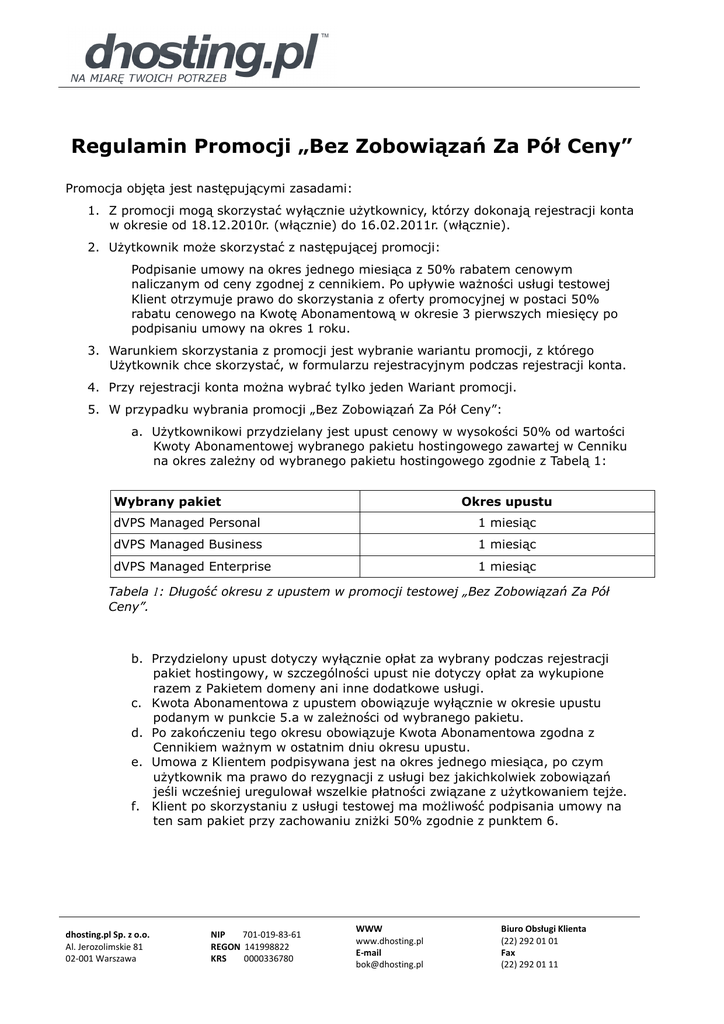
Regulamin Promocji „Bez Zobowiązań Za Pół Ceny”
Promocja objęta jest następującymi zasadami:
1. Z promocji mogą skorzystać wyłącznie użytkownicy, którzy dokonają rejestracji konta
w okresie od 18.12.2010r. (włącznie) do 16.02.2011r. (włącznie).
2. Użytkownik może skorzystać z następującej promocji:
Podpisanie umowy na okres jednego miesiąca z 50% rabatem cenowym
naliczanym od ceny zgodnej z cennikiem. Po upływie ważności usługi testowej
Klient otrzymuje prawo do skorzystania z oferty promocyjnej w postaci 50%
rabatu cenowego na Kwotę Abonamentową w okresie 3 pierwszych miesięcy po
podpisaniu umowy na okres 1 roku.
3. Warunkiem skorzystania z promocji jest wybranie wariantu promocji, z którego
Użytkownik chce skorzystać, w formularzu rejestracyjnym podczas rejestracji konta.
4. Przy rejestracji konta można wybrać tylko jeden Wariant promocji.
5. W przypadku wybrania promocji „Bez Zobowiązań Za Pół Ceny”:
a. Użytkownikowi przydzielany jest upust cenowy w wysokości 50% od wartości
Kwoty Abonamentowej wybranego pakietu hostingowego zawartej w Cenniku
na okres zależny od wybranego pakietu hostingowego zgodnie z Tabelą 1:
Wybrany pakiet
Okres upustu
dVPS Managed Personal
1 miesiąc
dVPS Managed Business
1 miesiąc
dVPS Managed Enterprise
1 miesiąc
Tabela 1: Długość okresu z upustem w promocji testowej „Bez Zobowiązań Za Pół
Ceny”.
b. Przydzielony upust dotyczy wyłącznie opłat za wybrany podczas rejestracji
pakiet hostingowy, w szczególności upust nie dotyczy opłat za wykupione
razem z Pakietem domeny ani inne dodatkowe usługi.
c. Kwota Abonamentowa z upustem obowiązuje wyłącznie w okresie upustu
podanym w punkcie 5.a w zależności od wybranego pakietu.
d. Po zakończeniu tego okresu obowiązuje Kwota Abonamentowa zgodna z
Cennikiem ważnym w ostatnim dniu okresu upustu.
e. Umowa z Klientem podpisywana jest na okres jednego miesiąca, po czym
użytkownik ma prawo do rezygnacji z usługi bez jakichkolwiek zobowiązań
jeśli wcześniej uregulował wszelkie płatności związane z użytkowaniem tejże.
f. Klient po skorzystaniu z usługi testowej ma możliwość podpisania umowy na
ten sam pakiet przy zachowaniu zniżki 50% zgodnie z punktem 6.
dhosting.pl Sp. z o.o.
Al. Jerozolimskie 81
02-001 Warszawa
NIP
701-019-83-61
REGON 141998822
KRS
0000336780
WWW
www.dhosting.pl
E-mail
[email protected]
Biuro Obsługi Klienta
(22) 292 01 01
Fax
(22) 292 01 11
6. W przypadku przedłużenia umowy na okres jednego roku po skorzystaniu z promocji
testowej „Bez Zobowiązań Za Pół Ceny”:
a. Użytkownikowi przydzielany jest upust cenowy w wysokości 50% od wartości
Kwoty Abonamentowej wybranego pakietu hostingowego zawartej w Cenniku
na okres zależny od wybranego pakietu hostingowego zgodnie z Tabelą 2:
Wybrany pakiet
Okres upustu
dVPS Managed Personal
3 miesiące
dVPS Managed Business
3 miesiące
dVPS Managed Enterprise
3 miesiące
Tabela 2: Długość okresu z upustem przy podpisaniu umowy na okres 1 roku w
promocji „Bez Zobowiązań Za Pół Ceny”.
b. Przydzielony upust dotyczy wyłącznie opłat za wybrany podczas rejestracji
pakiet hostingowy, w szczególności upust nie dotyczy opłat za wykupione
razem z pakietem domeny ani inne dodatkowe usługi.
c. Kwota Abonamentowa z upustem obowiązuje wyłącznie w okresie upustu
podanym w punkcie 6.a w zależności od wybranego pakietu.
d. Po zakończeniu tego okresu obowiązuje Kwota Abonamentowa zgodna z
Cennikiem ważnym w ostatnim dniu okresu upustu.
e. Umowa z Klientem podpisywana jest na okres jednego roku.
7. Promocja nie łączy się z innymi promocjami poza podanymi w niniejszym punkcie.
8. Jeżeli Umowa zostanie rozwiązana z winy Użytkownika, to Użytkownik zobowiązuje
się do zapłaty kary umownej zgodnie z Regulaminem Usługi.
9. Podmiot lub osoba fizyczna może zamówić tylko jeden serwer w promocji „Bez
Zobowiązań Za Pół Ceny”.
10. Podmiot lub osoba fizyczna może posiadać tylko jeden aktywny serwer zamówiony w
promocji „Bez Zobowiązań Za Pół Ceny”.
11. W sprawach nieuregulowanych niniejszym regulaminem ma zastosowanie Regulamin
Usług Hostingowych.
dhosting.pl Sp. z o.o.
Al. Jerozolimskie 81
02-001 Warszawa
NIP
701-019-83-61
REGON 141998822
KRS
0000336780
WWW
www.dhosting.pl
E-mail
[email protected]
Biuro Obsługi Klienta
(22) 292 01 01
Fax
(22) 292 01 11