Taryfa prowizji i opłat za czynności i usługi bankowe w Banku

Transkrypt

Taryfa prowizji i opłat za czynności i usługi bankowe w Banku
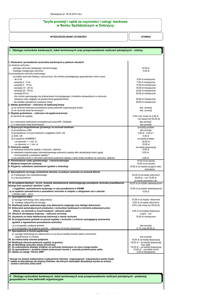
Obowiązuje od 05.02.2015 roku
Taryfa prowizji i opłat za czynności i usługi bankowe
w Banku Spółdzielczym w Dobrzycy
STAWKA
WYSZCZEGÓLNIONE CZYNNOŚCI
Obsługarachunków
rachunkówbankowych,
bankowych,lokat
lokatterminowych
terminowychoraz
orazprzeprowadzanie
przeprowadzanierozliczeń
rozliczeńpieniężnych
pieniężnych- -rolnicy
rolnicy
I.I. Obsługa
1. Otwieranie i prowadzenie rachunków bankowych w pakiecie standard
a) otwarcie rachunku:
- jednego rachunku bieżącego i pomocniczego
- każdego następnego rachunku
b) prowadzenie rachunku bankowego
- za każdy rachunek bieżący i pomocniczy dla rolnika posiadającego gospodarstwo rolne o pow.
- do 2 ha
- powyżej 2 - 5 ha
- powyżej 5 - 10 ha
- powyżej 10 - 20 ha
- powyżej 20 - 50 ha
- powyżej 50 ha
- dla rolnika zajmującego się drobiarstwem korzystającego z kredytów odnawialnych w rachunku
bieżącym (bez względu na powierzchnię gospodarstwa)
- dla działów specjalnych produkcji rolnej
2. Wpłaty gotówkowe – naliczana od wpłacanej kwoty
a) na rachunki bankowe prowadzone przez jednostki organizacyjne banku
b) na rachunki lokat terminowych
3. Wypłaty gotówkowe – naliczana od wypłacanej kwoty
a) zlecenia do wypłaty
b) z rachunków bankowych prowadzonych przez BS i Oddziały
c ) z rachunków lokat terminowych
4. Dyspozycje bezgotówkowe (przelewy) na rachunki bankowe
a) prowadzone w BS
b) prowadzone w innych bankach z wyjątkiem ZUS, US
c( ZUS, US
d) w systemie SORBNET:
- za zlecenie < 1 mln. zł
- za zlecenie >= 1 mln. zł
5. Polecenie zapłaty
a) realizacja polecenia zapłaty z rachunku płatnika
b) odwołanie pojedynczego niezrealizowanego polecenia zapłaty albo aktualizacja treści zgody
na korzystanie z polecenia zapłaty**
c) za powiadomienie o odmowie wykonania polecenia zapłaty z tytułu braku środków na rachunku płatnika
6. Potwierdzenie czeku gotówkowego i rozrachunkowego
7. Wydanie książeczki czekowej
8. Przyjecie i odwołanie zastrzeżenia zgodnie z Instrukcją
9. Sporządzenie rocznego zestawienia obrotów na jednym rachunku na wniosek klienta:
a) z bieżącego roku kalendarzowego
b) z lat poprzednich
10. Za wydanie klientom - na ich wniosek zaświadczenia stwierdzającego posiadanie rachunku prawidłowość
obsługi oraz wysokość obrotów i salda
z wyjątkiem, zaświadczenia wydanego w celu przedłożenia w ARiMR
a) za wydanie zaświadczenia o posiadaniu rachunku w związku z ubieganiem się o zaliczkę
z PROW 2007 - 2013
11. Sporządzenie kopii:
a) wyciągu bankowego (bez załączników)
b) każdego załącznika do wyciągu
12. Realizacja tytułu wykonawczego oraz dokumentu mającego moc takiego dokumentu
13. Dokonanie automatycznych przelewów z rachunków bankowych w terminie wskazanym przez
klienta na rachunki w innych bankach– (zlecenia stałe)
14. Otwarcie akredytywy krajowej – naliczana od kwoty
15. Uzyskanie na hasło telefonicznej informacji o stanie rachunku
16. Za przygotowanie gotówki na poczet wypłaty z rachunku ( w kwocie wymagającej awizowania,
zgodnie z regulaminem prowadzenia rachunku)
a) w przypadku podjęcia gotówki
b) w przypadku nie podjęcia gotówki – naliczana od kwoty dyspozycji
17. Sporządzanie w formie papierowej:
a) wyciągu bankowego po zakończeniu m-ca lub po każdej zmianie salda w terminach
uzgodnionych w umowie
18. Za zmianę karty wzorów podpisów
19. Realizacja zlecenie polecenia wypłaty za granicę
20. Za likwidację rachunku lokaty terminowej
21. Za ustanowienie blokady środków na rachunku bankowym na rzecz innego banku
22. Za sporządzenie i wysłanie (listem poleconym) monitu z powodu przekroczenia salda
23. Opłata za usługę "Serwis SMS"
10,00 zł.
5,00 zł.
3,00 zł miesięcznie
7,00 zł miesięcznie
13,00 zł miesięcznie
18,00 zł miesięcznie
23,00 zł miesięcznie
25,00 zł miesięcznie
20,00 zł miesięcznie
20,00 zł miesięcznie
bez prowizji
bez prowizji
0,5% (nie mniej niż 2,50 zł
nie więcej niż 50,00 zł)
bez prowizji
bez prowizji
za każdy przelew
bez prowizji
3,50 zł - 4,00 zł *
4,00 zł
za każdy przelew
20,00 zł
15,00 zł
za każdą dyspozycję
2,00 zł
5,00 zł.
3,50 zł.
10,00 zł za sztukę
10,00 zł za sztukę
10,00 zł za każde przyjęcie albo
odwołanie
20,00 zł za każdy dokument
20,00 zł. + po 10,00 zł.
za każdy poprzedni rok:
30,00 zł za każde zaświadczenie
15,00 zł za każde zaświadczenie
0,00 zł
10,00 zł za każdy dokument
6,00 zł za każdy dokument
0,5% (nie mniej niż 25,00 zł)
2,00 zł od każdej dyspozycji
0,50% - 2%
10,00 zł miesięcznie
bez prowizji
0,1% max.60,00 zł.
bez prowizji
10,00 zł za każdą dyspozycję
10,00 zł – za każdą dyspozycję
bez opłat
15,00 zł – za każdą dyspozycję
15,00 zł – za każdy monit
3,50 zł miesięcznie
* stosuje się stawkę maksymalną z wyłączeniem klientów negocjujących indywidualne stawki taryfy
** opłata za aktualizację nie dotyczy klientów, dla których obowiązek aktualizacji wynika ze zmiany
numeru rachunku przez bank
Obsługarachunków
rachunkówbankowych,
bankowych,lokat
lokatterminowych
terminowychoraz
orazprzeprowadzanie
przeprowadzanierozliczeń
rozliczeńpieniężnych
pieniężnych- -podmioty
podmioty
II.II. Obsługa
gospodarczei iinne
innejednostki
jednostkiorganizacyjne
organizacyjne
gospodarcze
II.
Obsługa
rachunków
oszczędnościowych
i
wkładów
terminowych
osoby
fizyczne
II. Obsługa rachunków oszczędnościowych i wkładów terminowych - osoby fizyczne
Tabela prowizji i opłat
1. Otwieranie i prowadzenie rachunków bankowych w pakiecie standard
a) otwarcie rachunku:
- jednego rachunku bieżącego i pomocniczego
- każdego następnego rachunku
b) pobieranie prowizjij (pobierana raz dziennie)i:
1) od obrotów strony Wn od wszystkich rachunków bankowych
od obrotów strony Ma od wszystkich rachunków bankowych
z wyjątkiem:
- podmiotów budżetu
- indywidualnych uzgodnień pomiędzy bankiem, a posiadaczami rachunków
- przelewów na rzecz ZUS, US
od przelewów na rzecz ZUS, US
2) od rachunków bankowych budżetów o d obrotów strony Wn+Ma (pobierana raz dziennie):
z wyjątkiem:
- przekazanej subwencji ogólnej od strony Ma
- indywidualnych uzgodnień banku z budżetem
- przelewów wewnętrznych w ramach tego samego klienta
- przelewów na rzecz ZUS,US
od przelewów na rzecz ZUS, US
c) prowadzenie rachunku bankowego:
- na podstawie indywidualnych uzgodnień
2. Dyspozycje bezgotówkowe (przelewy) na rachunki bankowe - prowadzone w BS
a) prowadzone w innych bankach w przypadku indywidualnych uzgodnień
b) w systemie SORBNET
- za zlecenie < od 1 mln zł
- za zlecenie >= 1 mln. zł
3. Polecenie zapłaty
a) realizacja polecenia zapłaty z rachunku płatnika
b) odwołanie pojedynczego niezrealizowanego polecenia zapłaty albo aktualizacja treści zgody
na korzystanie z polecenia zapłaty***
c) za powiadomienie o odmowie wykonania polecenia zapłaty z tytułu braku środków na rachunku dłużnika
4. Wypłaty gotówkowe
- z rachunków lokat terminowych
5. Potwierdzenie czeku gotówkowego i rozrachunkowego
6. Wydanie książeczki czekowej
7. Przyjęcie i odwołanie zastrzeżenia zgodnie z Instrukcją
8. Sporządzenie rocznego zestawienia obrotów na jednym rachunku na wniosek klienta
a) z bieżącego roku kalendarzowego
b) z lat poprzednich
9. Za wydanie klientom - na ich wniosek zaświadczenia stwierdzającego posiadanie rachunku,
prawidłowość obsługi oraz wysokość obrotów i salda
a) za wydanie zaświadczenia o posiadaniu rachunku w związku z ubieganiem się o zaliczkę
z PROW 2007 - 2013
10.Wypłaty gotówkowe na pokrycie innych zobowiązań w stosunku do BS na rzecz
dostawców usług dla BS
11. Sporządzenie kopii:
a) wyciągu bankowego (bez załączników)
b) każdego załącznika do wyciągu
12. Realizacja tytułu wykonawczego oraz dokumentu mającego moc takiego dokumentu
13. Dokonanie automatycznych przelewów z rachunków bankowych w terminie wskazanym przez
klienta na rachunki w innych bankach – (zlecenia stałe)
14. Otwarcie akredytywy krajowej – naliczana od kwoty
15. Realizacja zlecenie polecenia wypłaty za granicę
16. Uzyskanie na hasło telefonicznej informacji o stanie rachunku
17. Za przygotowanie gotówki na poczet wypłaty z rachunku (w kwocie wymagającej awizowania,
zgodnie z regulaminem prowadzenia rachunku)
a) w przypadku podjęcia gotówki
b) w przypadku nie podjęcia gotówki- naliczana od kwoty dyspozycji
18. Udzielenie informacji podmiotom w trybie art..105 Ustawy Prawo Bankowe
UWAGA!
20,00 zł.
20,00 zł.
0,2% minimum 1,50 zł.
0,2% minimum 0,10 zł
4,00 zł za każdy przelew
0,11 % minimum 0.10 zł
2,00 zł za każdy przelew
15,00 – 25,00 zł ** miesięcznie
bez prowizji
3,50 zł - 4,00 zł.* za każdy przelew
20,00 zł za każdy przelew
15,00 zł za każdy przelew
za każdą dyspozycję:
2,00 zł
5,00 zł.
3,50 zł.
bez prowizji
10,00 zł za sztukę
10,00 zł za sztukę
10,00 zł za każde przyjęcie albo
odwołanie
20,00 zł za każdy dokument
20,00 zł. + po 10,00 zł.
za każdy poprzedni rok:
30,00 zł za każde zaświadczenie
0,00 zł
bez prowizji
za każdy dokument:
10,00 zł
6,00 zł
0,5% nie mniej niż 25,00 zł.
2,00 zł za każdą dyspozycję
0,50% - 2,00%
10,00 zł za każdą dyspozycję
10,00 zł miesięcznie
bez prowizji
0,1% max.60 zł.
10,00 zł.
( od jednego oddziału)
W przypadku konieczności sporządzania odpisów dokumentów prawnych pobiera się
dodatkowo opłaty zgodnie z niniejszą Taryfą
19. Sporządzanie:
- wyciągu bankowego po zakończeniu m-ca lub po każdej zmianie salda w terminach
uzgodnionych w umowie
20. Za zmianę karty wzorów podpisów
21. Za ustanowienie blokady środków na rachunku bankowym na rzecz innego banku
22. Za sporządzenie i wysłanie (listem poleconym) monitu z powodu przekroczenia salda
23. Za usługę "Serwis SMS"
24. Home Banking wg uzgodnień indywidualnych****
25. Usługa płatności masowych:
a) opłata aktywacyjna za udostępnienie usługi płatności masowych - jednorazowo
b) opłata za wpłatę na rachunek wirtualny - za każdą wpłatę, pobierana zbiorczo raz dziennie
bez prowizji
10,00 zł za każdą dyspozycję
15,00 zł za każdą dyspozycję
15,00 zł za każdy monit
5,00 zł miesięcznie
0,00 do 300,00 zł. miesięcznie
50,00 zł.
indywidualnie ustalana z klientem
* stosuje się stawkę maksymalną z wyłączeniem klientów negocjujących indywidualne stawki taryfy
** przy indywidualnych uzgodnieniach
*** opłata za aktualizację nie dotyczy klientów, dla których obowiązek aktualizacji wynika ze zmiany
numeru rachunku przez bank
**** z chwilą wprowadzenia do oferty banku
III. Obsługa
Obsługarachunków
rachunkówoszczędnościowych,
oszczędnościowych,wkładów
wkładówterminowych
terminowychi iprzeprowadzanie
przeprowadzanierozliczeń
rozliczeń- -osoby
osobyfizyczne
fizyczne
III.
1. Otwieranie i prowadzenie rachunków oszczędnościowych a vista i wkładów terminowych
a) prowadzenie rachunku oszczędnościowo - rozliczeniowego w pakiecie standard
b) prowadzenie rachunku oszczędnościowo- rozliczeniowego Młodzieżowy i VIP
c) prowadzenie rachunku oszczędnościowo- rozliczeniowego osoby małoletniej "JUNIOR"
d) prowadzenie rachunku oszczędnościowo.- rozliczeniowego z programem ubezpieczeniowym
2. Wpłaty i wypłaty gotówkowe z (dokonywane w jednostce organizacyjnej banku):
a) rachunków oszczędnościowo-rozliczeniowych i oszczędnościowych a' vista
b) wkładów terminowych osób fizycznych
Tabela prowizji i opłat
bez prowizji
5,90 zł. miesięcznie
1,00 zł. miesięcznie
bez prowizji
3,00 zł miesięcznie
bez prowizji
bez prowizji
c) zleceń do wypłaty z wyjątkiem wypłat z tytułu wynagrodzeń – naliczana od wypłacanej kwoty
3. Dyspozycje bezgotówkowe (przelewy) na rachunki bankowe (złożone w formie papierowej):
- na rachunki prowadzone w BS
- na rachunki prowadzone w innych bankach z wyjątkiem ZUS,US
- ZUS, US
d) w systemie SORBNET
- za zlecenie < od 1 mln. zł
- za zlecenie >= 1 mln. zł
4. Polecenie zapłaty
a) złożenie zgody na korzystanie z polecenia zapłaty
b) realizacja polecenia zapłaty z rachunku płatnika
c) odwołanie pojedynczego niezrealizowanego polecenia zapłaty albo aktualizacja treści zgody
na korzystanie z polecenia zapłaty**
d) za powiadomienie o odmowie wykonania polecenia zapłaty z tytułu braku środków na rachunku płatnika
5. Potwierdzenie czeku gotówkowego i rozrachunkowego
6. Sporządzanie:
- wyciągu bankowego po zakończeniu m-ca, lub po każdej zmianie salda w terminach
uzgodnionych w umowie
7. Przelewy wykonywane automatyczne w terminie wskazanym przez klienta (zlecenie stałe):
a) na rachunki prowadzone w jednostce organizacyjnej banku
b) na rachunki prowadzone w innych bankach
8.Uzyskanie na hasło telefonicznej informacji o stanie rachunku
9. Za zmianę, odwołanie dyspozycji (oświadczenia) posiadacza rachunku w sprawie
przeznaczenia wkładu na wypadek śmierci
10. Realizacja dyspozycji spadkobierców
11. Przyjęcie i odwołanie zastrzeżenia zgodnie z Instrukcją
12. Za przepisanie książeczki w związku z przekazaniem praw
13. Za wydanie książeczki oszczędnościowej:
- a vista
14.Za likwidację wkładu oszczędnościowego
15. Dokonanie blokady na rachunku
- z tytułu zabezpieczenia umów między Posiadaczem a BS
-pozostałe
16. Realizacja cesji z rachunku
17. Realizacja zlecenia polecenia wypłaty za granicą
18. Za zamknięcie rachunku ROR na życzenie klienta
19. Za usługę "Serwis SMS"
20. Za zmianę rachunku indywidualnego na wspólny
0,5% nie mniej niż 2,50 zł
maksymalnie 50,00 zł
za każdy przelew:
bez prowizji
3,50 zł - 4,00 zł.*
4,00 zł
za każdą dyspozycję
20,00 zł
15,00 zł
za każdą dyspozycję:
2,00 zł.
2,00 zł.
5,00 zł.
3,50 zł.
5,00 zł za sztukę
bez prowizji
bez prowizji
2,00 zł od każdej dyspozycji
10,00 zł miesięcznie
20,00 zł za każdą dyspozycję
15,00 zł od każdego spadkobiercy
10,00 zł za każdą dyspozycję
15,00 zł za każdą dyspozycję
5,50 zł. za książeczkę
bez prowizji
bez prowizji
10,00 zł.
5,00 zł za każdą dyspozycję
10,00 zł za każdą dyspozycję
bez prowizji
2,50 zł miesięcznie
10,00 za sztukę
* stosuje się stawkę maksymalną, z wyłączeniem klientów negocjujących indywidualne stawki taryfy
** opłata za aktualizację nie dotyczy klientów, dla których obowiązek aktualizacji wynika ze zmiany
numeru rachunku przez bank
IV. Udzielanie
Udzielaniekredytów
kredytówi ipożyczek
pożyczekpieniężnych
pieniężnych
IV.
2%
1. Opłata wstępna - za przyjęcie wniosku do rozpatrzenia,płatna jednorazowo w terminie najpóźniej
udzielenia kredytu, od kwoty wnioskowanego kredytu/ pożyczki:
a) kredyty promocyjne - na okres promocji produktu stawka ustalana przez Zarząd indywidualnie
dla promowanego produktu
b) pozostałe kredyty - w zależności od wnioskowanej kwoty kredytu, z wyjątkiem kredytów
z dopłatą ze środków ARiMR:
a. w kwocie do kwoty 5.000 zł
b. w kwocie od kwoty 5.001 zł do 20.000 zł
c. w kwocie powyżej 20.000 zł:
- na działalność rolniczą, konsumenckie, pozostałe
- dla podmiotów gospodarczych
Opłata wstępna nie podlega zwrotowi w przypadku odmowy udzielenia kredytu lub odstąpienia od
umowy o kredyt konsumencki.
2. Prowizja przygotowawcza - od kwoty udzielonego/odnowionego na kolejny okres roczny kredytu lub
kwoty zwiększającej przyznany kredyt, płatna jednorazowo przed uruchomieniem/ odnowieniem kredytu:
a) kredyty obrotowe na rzeczowe środki do produkcji rolnej - bez dopłat ARiMR
b) kredyty obrotowe z dopłatami do odsetek ze środków ARiMR
c) kredyty preferencyjne:
a. kredyty z dopłatą do oprocentowania ze środków ARiMR
b. kredyty z częściową spłatą kapitału ze środków ARiMR (CSK)
d) kredyty obrotowe rolnicze i dla podmiotów gospodarczych (w zależności od okresu kredytowania):
a. do 8 m-cy
b. powyżej 8 miesięcy
e) kredyty odnawialne w rachunku bieżącym i rewolwingowe
a. kredyty w kwocie od 100.000 zł
f) kredyty inwestycyjne rolnicze i dla podmiotów gospodarczych
a. kredyty na „Rozwój rolnictwa”
g) kredyty z EFRWP
h) kredyty Unijne SGB
a. kredyty dla jednostek samorządu terytorialnego
i) kredyty dla jednostek samorządu terytorialnego
j) kredyty konsumenckie:
a. gotówkowe Na długi okres
b. gotówkowe "NON-STOP"(w zależności od okresu kredytowania):
- do 24 miesięcy
- do 36 miesięcy
c. na zakup kolektorów słonecznych z dopłatą NFOŚiGW
d. odnawialny w ROR
e. mieszkaniowe
f..Pożyczki hipoteczne, kredyty konsumpcyjne zabezpieczone hipotecznie.
g. gotówkowe zabezpieczone blokadą środków na rachunku bankowym lub kaucja pieniężną
k) Kredyty promocyjne - na okres promocji produktu stawka ustalana przez Zarząd indywidualnie dla
promowanego produktu
3. Prowizja z tytułu gotowości (od niewykorzystanej kwoty kredytu odnawialnego na działalność
gospodarczą naliczana w stosunku rocznym od różnicy pomiędzy kredytem postawionym do
dyspozycji, a kredytem wykorzystanym, za każdy dzień niewykorzystania)
a) kredyty oprocentowane od górnej stawki do 1/4 przedziału określonego w uchwale Zarządu
w sprawie oprocentowania kredytu odnawialnego na dzień zawarcia/odnowienia umowy
b) pozostałe oraz kredyty o których mowa w pkt. a) indywidualnie negocjowane
4. Prowizja rekompensacyjna
(liczona od kwoty spłaconej przedterminowo)
5. Prowizja za administrowanie kredytami długoterminowymi na działalność gospodarczą,
Tabela prowizji i opłat
0,00 zł. - 100,00 zł.
20,00 zł
35,00 zł
0,15%
nie więcej niż 90,00 zł
nie więcej niż 150,00 zł
2,20%
1,00%
1,00%
1,00%
0,40% - 1,50%
0,40% - 2,50%
0,40% - 2,50%
0,40% - 2,50%
0,40% - 2,80%
0,40% - 2,00%
0,40% - 2,00%
0,40% - 2,00%
negocjowane indywidualnie
negocjowane indywidualnie
2,90%
2,95%
3,95%
2,90%
1,50% - 3,50%
0,50% - 1,50%
0,50% - 2,50%
0,90% - 1,90%
0,00% - 5,00%
0,00% - 4,00%
0%
0,00% - 4,00%
0%
mieszkaniowymi oraz kredytami i pożyczkami zabezpieczonymi hipotecznie udzielonymi na okres
powyżej 3 lat należna za każdy rozpoczęty miesiąc wg podanej stawki, pobierana kwartalnie (w terminie do
ostatniego roboczego dnia każdego miesiąca kończącego kwartał kalendarzowy), począwszy od pierwszego
miesiąca po wypłacie ostatniej transzy kredytu , przy czym w przypadku kredytów konsumenckich prowizja
naliczana jest za każdy pełen miesiąc korzystania z kredytu po wypłacie ostatniej transzy kredytu i płatna jest
w ostatnim dniu roboczym każdego miesiąca kończącego kwartał kalendarzowy, w przypadku kredytów,
o których mowa w pkt. c) za każdy miesiąc trwania kredytu:
a) konsumenckiego – udzielone do dnia 10.06.2012r.
b) kredyty z dopłatą ze środków ARiMR udzielone od dnia 18.09.2012 roku
c) kredyty z dopłatą ze środków ARiMR udzielane w konsorcjum bankowym z wyłączeniem
konsorcjum zawieranego na mocy pełnomocnictw
d) pozostałe
6. Opłata za przechowywanie weksla w depozycie (za każdy weksel).
7. Za świadczenie usług faktoringowych
8. Za obsługę weksli - przedstawienie weksli do zapłaty, inkaso weksli itp. (za każdą czynność)
9. Za zgłoszenie weksla do protestu w razie nie zapłacenia (za każdy weksel)
10. Za wydanie klientom - na ich wniosek zaświadczenia stwierdzającego wysokość zadłużenia
z tytułu kredytów bankowych i innych tytułów oraz zaświadczenia, że klient nie figuruje jako
dłużnik (od szt.)
11. Za wydanie zaświadczenia do wpisu do księgi wieczystej (za każde zaświadczenie.)
12. Za wydanie odpisu umowy o kredyt (za każdy odpis umowy)
13. Sporządzenie wniosku o wykreślenie z hipoteki lub zastawu rejestrowego, przewłaszczenia
i innych związanych ze zwolnieniem zabezpieczenia(za każdy wniosek)
14. Za czynności związane z decyzją w sprawie przesunięcia terminu spłaty kredytu (prolongata),
restrukturyzacji zadłużenia (za każdą prolongatę) , z wyłączeniem rat kredytów, których źródłem spłaty
jest dotacja unijna:
a) za przesunięcie terminu spłaty kredytów dla budżetów terenowych,
b) za prolongatę techniczną.
15. Za wydanie oceny sytuacji ekonomiczno - finansowej (zdolności kredytowej) podmiotu na jego
wniosek
16. Za sporządzenie i wysłanie do dłużnika (kredytobiorcy, poręczyciela, i osób trzecich
związanych z umowa kredytową) - za każde wezwanie/monit:, z wyłączeniem klientów indywidualnych,
o których mowa w ust. 17
a) upomnienia/ monitu listem poleconym za potwierdzeniem odbioru - w przypadku
wystąpienia zaległości w spłacie kredytu lub należnych odsetek
b) wezwania do zapłaty - listem poleconym za potwierdzeniem odbioru - w przypadku, gdy
zaległość w spłacie wynosi co najmniej dwie pełne raty kredytu,w kredycie odnawialnym
w przypadku braku spłaty w terminie określonym w Umowie naliczonych i należnych odsetek
od wykorzystanego kredytu za dwa miesięczne okresy rozliczeniowe
c) wezwania o dostarczenie dokumentów lub informacji, które kredytobiorca jest zobowiązany
dostarczyć w związku z Umową kredytową
17. Za wysłanie do klientów indywidualnych:
a) upomnienia (nie więcej niż jedno w okresie rozliczeniowym) w przypadkach określonych
w umowie kredytu/ pożyczki
b) wezwania do zapłaty – w przypadkach określonych w umowie kredytu/pożyczki
18. Za rozpatrzenie wniosku o bezciężarowe odłączenie działki (za każdy wniosek)
19. Za rozpatrzenie wniosku o przejęcie zrestrukturyzowanego długu i kredytu przez innego dłużnika
przystąpienie do długu (za każdy wniosek)
20. Wpłaty gotówkowe na poczet spłat kredytów i odsetek zaciągniętych w BS oraz wypłaty
gotówkowe kredytów, realizowane z rachunków kredytowych
21. Inne czynności wykonywane na życzenie kredytobiorcy/pożyczkobiorcy lub za kredytobiorcę
/pożyczkobiorcę (za każdą czynność)
22. Za zmianę warunków umowy kredytowej (aneks) na wniosek kredytobiorcy (za każdą zmianę/aneks)
23. Za wydanie promesy kredytowej (za każdą promesę)
24. Prowizja za udzielenie informacji bankowi na podst. art. 105 ust. 1 pkt. 1 Prawa Bankowego
z wyjątkiem: Banku Zrzeszającego i banków zrzeszonych w SGB.(za każde udzielenie informacji)
25. Sporządzenie wyceny nieruchomości (operat szacunkowy) przez uprawnionego rzeczoznawcę,
zleconej przez Bank przyjetej lub proponowanej na zabezpieczenie spłaty kredytu lub pozyczki
(koszty ponosi kredytobiorca lub pożyczkobiorca)
26. Interwencyjna wizyta bezpośrednia u klienta (za każdą wizytę)
27. Za sporządzenie umowy cesji z polis ubezpieczeniowych (za każdą umowę)
2,50 zł.
0,01% - 0,02% od kwoty kredytu
z umowy nie mniej niż 3,20 zł.
0,01% - 0,03%
3,20 zł.
5,00 zł
do 5,0%
20,00 zł.
20,00 zł.
30,00 zł
30,00 zł.
15,00 zł.
30,00 zł
0,05% - 1,50%
prowizja negocjowalna
100,00 zł.
50,00 zł.
15,00 zł
20,00 zł
6,00 zł
6,60 zł za każde upomnienie
6,60 zł za każde wezwanie
20,00 zł
0,10% nie więcej niż 300,- zł
bez prowizji
min. 20,00 zł.
15,00 zł
0,01% (nie mniej niż 100,00
nie więcej niż 1.000,00 zł
30,00 zł
cena według faktury
50,00 zł
15,00 zł
Gwarancje,regwarancje.
regwarancje.
V.V.Gwarancje,
1. Przyjęcie zlecenia (prowizja wstępna)
- naliczana od kwoty wnioskowanej - płatna jednorazowo
(w razie odmowy wystawienia gwarancji/regwarancji lub rezygnacji zleceniodawcy, prowizja nie podlega zwrotowi)
2. Wystawienie - prowizja naliczana i płatna z góry w pierwszym dniu okresu prowizyjnego
(ustala się miesięczne lub kwartalne okresy prowizyjne)
3.Zmiana warunków gwarancji/regwarancji – naliczana od kwoty gwarancj/regwarancjii
4. Awizowanie gwarancji beneficjentowi, bankowi beneficjenta – od każdego awiza
5. Za objęcie kredytu gwarancją w ramach portfelowej linii gwarancyjnej – pobierana za każdy rok
obowiązywania gwarancji w terminie upływu (odnowienia) kredytu
0,25% (min. 50 zł max 1.000 zł)
0,96%- 3,60% rocznie
0,50% - 3,00%
50zł.
0,05% kwoty gwarancji
nie mniej niż 50 zł.
VI.Przechowywanie
Przechowywanieprzedmiotów
przedmiotówi ipapierów
papierówwartościowych
wartościowychoraz
orazudostępnienie
udostępnienieskrytek
skryteksejfowych
sejfowych
VI.
1. Przechowywanie depozytu wartościowego w postaci bonu oszczędnościowego, akcji, obligacji, itp.
(od każdego depozytu)
2. Przechowywanie duplikatów kluczy jednostek – posiadaczy rachunków bankowych od każdego
posiadacza.
Opłatę pobiera się za każdy rozpoczęty miesiąc. Opłata nie dotyczy wymienionych
depozytów składanych z urzędu, np. przez instytucje wymiaru sprawiedliwości,
UWAGA!
urzędy celne, zabezpieczenie kredytu, itp.
VII.Obsługa
Obsługakart
kartpłatniczych
płatniczych
VII.
A. Karty wydane do rachunku oszczędnościowo – rozliczeniowego (debetowe) – Maestro/Visa Electron/
Tabela prowizji i opłat
5,00 zł. (miesięcznie)
4,00 zł. ( miesięcznie)
Visa Electron „młodzieżowa”/MasterCard Debit PayPass/MasterCard Debit PayPass „młodzieżowa”/
Visa Electron payWave/Visa Elektron payWave „młodzieżowa”
1. Wydanie karty dla – za każdą kartę:
a) posiadacza rachunku
b) współposiadacza rachunku
c) osoby wskazanej
2. Wydanie nowej karty w miejsce utraconej lub duplikatu w przypadku uszkodzenia – za każdą kartę
3 . Wznowienie karty, wydanie kolejnej karty posiadaczowi, współposiadaczowi rachunku lub osobie wskazanej
(rocznie) za każdą kartę:
a) dla karty "młodzieżowa"
b) dla kart pozostałych
4. Zastrzeżenie karty
5. Zmiana limitów operacji bezgotówkowych lub wypłat gotówki na wniosek klienta – za każdą zmianę
6. Opłata za wypłatę gotówki – za każdą wypłatę, pobierana w dniu rozliczenia operacji:
a) w bankomatach banków SGB oraz BPS S.A i zrzeszonych banków spółdzielczych
b) w kasach banków SGB*
c) w bankomatach innych niż wskazane w pkt a) – naliczana od wypłacanej kwoty
- z wyjątkiem kart Visa Electron payWave/Visa Electron payWave „młodzieżowa”
d) w kasach innych banków, niż wskazane w pkt b) – naliczana od wypłacanej kwoty
- z wyjątkiem kart Visa Electron payWave/Visa Electron payWave „młodzieżowa”
e) w bankomatach za granicą
- z wyjątkiem kart Visa Electron payWave/Visa Electron payWave „młodzieżowa”
7. Wypłata gotówki w ramach usługi cash back – za każdą wypłatę, pobierana w dniu rozliczenia operacji
- z wyjątkiem kart Visa Electron payWave/Visa Electron payWave „młodzieżowa”
8. Wydanie pierwszego numeru PIN – za każdy PIN
9. Wydanie nowego numeru PIN – za każdy numer
10. Zmiana PIN w bankomatach – za każdą zmianę:
a) banków SGB
- z wyjątkiem kart Visa Electron payWave/Visa Electron payWave „młodzieżowa”
b) innych, niż wskazane w pkt. a)
11. Sprawdzanie salda rachunku w bankomatach – za każde sprawdzenie
a) banków SGB
b) innych, niż wskazane w pkt. a)
12. Zestawienie transakcji przesyłane do klienta – opłata pobierana miesięcznie
13. Przesłanie ponownego zestawienia transakcji na życzenie klienta – za każde zestawienie
14. Ekspresowe przesłanie karty lub numeru PIN (dostarczenie w ciągu 3 dni roboczych) – za każdą przesyłkę
15. Transakcje bezgotówkowe
16. Opłata za przeliczenie transakcji dokonanej w walucie obcej innej niż euro- naliczana od kwoty transakcji,
pobierana w dniu rozliczenia operacji:
a) Visa Electron
b) Visa Electron payWave/Visa Electron payWave „młodzieżowa”
c) Maestro/Visa Electron „młodzieżowa”/MasterCard Debit PayPass/MasterCard Debit PayPass „młodzieżowa”
KARTY CHARGE
1. Wydanie karty głównej lub dołączonej – za każdą kartę
2. Wydanie – za każdą kartę:
a) duplikatu karty w przypadku uszkodzenia
b) nowej karty w miejsce utraconej
3. Wznowienie karty głównej lub dołączonej – za każdą kartę
4. Zastrzeżenie karty
5. Użytkowanie karty
6.Zmiana limitów operacji bezgotówkowych lub wypłat gotówki na wniosek klienta – za każdą zmianę
7.Opłata za wypłatę gotówki–za każdą wypłatę, naliczana od wpłacanej kwoty, pobierana w dniu rozliczenia operacji:
a) w bankomatach banków SGB oraz BPS S.A i zrzeszonych banków spółdzielczych
b) w kasach banków SGB*
c) w bankomatach innych niż wskazane w pkt a)
d) w kasach innych banków, niż wskazane w pkt b)
e) w bankomatach za granicą
8. Wydanie pierwszego numeru PIN – za każdy PIN
9. Wydanie nowego numeru PIN – za każdy numer
10.Zmiana PIN w bankomatach – za każdą zmianę:
a) banków SGB
b) innych, niż wskazane w pkt. a)
11. Zestawienie transakcji przesyłane do klienta – miesięcznie
12. Przesłanie ponownego zestawienia transakcji na życzenie klienta – za każde zestawienie
13. Transakcje bezgotówkowe
14. Za odroczony termin płatności od transakcji bezgotówkowych i wypłat gotówki – miesięcznie,
naliczana od kwoty transakcji wykonanych w poprzednim cyklu rozliczeniowym:
a) w kraju
b) za granicą
15.Nieodebranie karty w terminie określonym w regulaminie funkcjonowania kart płatniczych typu charge
- po upływie terminu
16. Opłata za wysłanie upomnienia (nie więcej niż jedno w okresie rozliczeniowym) lub wezwania do spłaty
zadłużenia w przypadkach określonych w umowie o kartę – za każde upomnienie
17. Awaryjne wydanie karty zastępczej poza granicami kraju – za każdą kartę
18. Awaryjna wypłata gotówki poza granicami kraju – za każdą kartę
bez opłat
bez opłat
20,00 zł.
20,00 zł.
10,00 zł
23,00 zł
bez opłat
5,00 zł.
bez opłat
1,50 zł.
1,30 zł.
2% min. 5,00 zł.
3% minimum 4,50 zł
2% min. 4,50 zł.
3% min. 4,50 zł.
3% min. 10,00 zł.
0,60 zł.
bez opłat
3,50 zł
6,00 zł.
4,50 zł.
3,50 zł.
7,00 zł.
bez opłat
1,00 zł.
2,58 zł.
2,58 zł.
45,00 zł.
bez prowizji
1,00%
1,00%
bez prowizji
MasterCard Gold
300,00 zł.
20,00 zł.
200,00 zł.
300,00 zł.
bez opłat
bez opłat
5,00 zł.
2,00%
2% min. 4,50 zł.
3% min. 3,50 zł.
3% min. 4,50 zł.
3% min. 4,50 zł.
3,50 zł.
6,00 zł.
4,50 zł.
7,00 zł.
bez opłat
2,58 zł.
bez opłat
1,00%
1,00%
200,00 zł.
6,60 zł.
równowartość 150 USD**) plus
koszty operacyjne MasterCard
Równowartość 95 USD**) plus
koszty operacyjne MasterCard
* pod warunkiem, że placówka udostępnia usługę wypłat w POS
**określona wg kursu sprzedaży dewiz z tabeli kursów SGB-Banku S.A. z dnia rozliczenia płatności
B. Karty wydane do rachunku bieżącego (debetowe)
1. Wydanie karty do rachunku prowadzonego dla – za każdą kartę:
a) rolnika indywidualnego:
- pierwszej
- kolejnej
b) innego, niż wskazany w pkt a)
2. Wydanie – za każdą kartę:
a) duplikatu karty w przypadku uszkodzenia
b) nowej karty w miejsce utraconej
3. Wznowienie karty do rachunku prowadzonego dla - za każdą kartę (rocznie):
a) rolnika indywidualnego
b) innego, niż wskazany w pkt a)
4. Zastrzeżenie karty
5. Zmiana limitów operacji bezgotówkowych lub wypłat gotówki na wniosek klienta – od każdej zmiany
6. Opłata za wypłatę gotówki – za każdą wypłatę, pobierana w dniu rozliczenia operacji:
a) w bankomatach banków SGB oraz BPS S.A i zrzeszonych banków spółdzielczych
b) w kasach banków SGB*
c) w bankomatach innych niż wskazane w pkt a)
Tabela prowizji i opłat
Visa Business Electron
Visa Business Electron
PayWave
15,00 zł.
15,00 zł.
25,00 zł.
15,00 zł.
15,00 zł.
15,00 zł.
20,00 zł.
40,00 zł.
20,00 zł.
40,00 zł.
33,00 zł.
33,00 zł.
bez opłat
10,00 zł.
33,00 zł.
33,00 zł.
bez opłat
10,00 zł.
bez opłat
4,50 zł.
3% min. 3,50 zł.
bez opłat
1,50 zł.
2% min. 5,00 zł.
d) w kasach innych banków, niż wskazane w pkt b)
e) w bankomatach za granicą
7. Wypłata gotówki w ramach usługi cash back – za każdą wypłatę, pobierana w dniu rozliczenia operacji
8. Wydanie pierwszego numeru PIN – za każdy PIN
9. Wydanie nowego numeru PIN – za każdy numer
10. Zmiana PIN w bankomatach – za każdą zmianę:
a) banków SGB
b) innych, niż wskazane w pkt. a)
11. Sprawdzanie salda rachunku w bankomatach – za każde sprawdzenie
a) banków SGB
b) innych, niż wskazane w pkt. a)
12. Zestawienie transakcji przesyłane do klienta – miesięcznie
13. Przesłanie ponownego zestawienia transakcji na życzenie klienta – za każde zestawienie
14. Ekspresowe przesłanie karty lub numeru PIN (dostarczenie w ciągu 3 dni roboczych) – za każdą przesyłkę
15. Transakcje bezgotówkowe
16. Opłata za przeliczenie transakcji dokonanej w walucie obcej innej niż euro- naliczana od kwoty transakcji,
KARTY CHARGE
1. Wydanie karty dla posiadacza rachunku bieżącego – za każdą kartę:
- pierwszej
- kolejnej
2. Wydanie – za każdą kartę:
a) duplikatu karty w przypadku uszkodzenia
b) nowej karty w miejsce uszkodzonej
3. Wznowienie karty dla posiadacza rachunku – za każdą kartę
4. Zastrzeżenie karty
5. Użytkowanie karty
6.Zmiana limitów operacji bezgotówkowych lub wypłat gotówki na wniosek klienta – za każdą zmianę
7.Opłata za wypłatę gotówki–za każdą wypłatę, naliczana od wpłacanej kwoty, pobierana w dniu rozliczenia operacji:
a) w bankomatach banków SGB oraz BPS S.A i zrzeszonych banków spółdzielczych
b) w kasach banków SGB*
c) w bankomatach innych niż wskazane w pkt a)
d) w kasach innych banków, niż wskazane w pkt b)
e) w bankomatach za granicą
8. Wydanie pierwszego numeru PIN – za każdy PIN
9. Wydanie nowego numeru PIN – za każdy numer
10.Zmiana PIN w bankomatach – za każdą zmianę:
a) banków SGB
b) innych, niż wskazane w pkt. a)
11. Zestawienie transakcji przesyłane do klienta – miesięcznie
12. Przesłanie ponownego zestawienia transakcji na życzenie klienta – za każde zestawienie
13. Transakcje bezgotówkowe
14. Przekroczenie limitu transakcyjnego – naliczana od kwoty przekroczenia
15. Za odroczony termin płatności od transakcji bezgotówkowych i wypłat gotówki – miesięcznie,
naliczana od kwoty transakcji wykonanych w poprzednim cyklu rozliczeniowym:
a) w kraju
b) za granicą
16. Niezapewnienie środków na rachunku w dniu rozliczenia – naliczana w dniu rozliczenia,
pobierana po wpływie środków na rachunek
17.Nieodebranie karty w terminie określonym w regulaminie funkcjonowania kart płatniczych typu charge
- po upływie terminu
18. Opłata za wysłanie monitu listowego lub wezwania do spłaty zadłużenia w przypadkach określonych w umowie
o kartę – za każdy monit/wezwanie
19. Awaryjne wydanie karty zastępczej poza granicami kraju – za każdą kartę
18. Awaryjna wypłata gotówki poza granicami kraju – za każdą kartę
3% min. 4,50 zł.
3% min. 4,50 zł.
0,60 zł.
3,50 zł.
6,00 zł
3% min. 10,00 zł.
3% min. 10,00 zł.
0,00 zł.
3,50 zł.
6,00 zł.
4,50 zł.
7,00 zł.
6,00 zł.
7,00 zł.
bez opłat
1,00 zł
3,00 zł.
5,00 zł
45,00 zł.
bez opłat
1,00%
bez opłat
1,00 zł.
3,00 zł.
5,00 zł.
45,00 zł.
bez opłat
1,00%
MasterCard Business
MasterCard Business Gold
80,00 zł.
70,00 zł.
350,00 zł.
350,00 zł.
20,00 zł.
70,00 zł.
40,00 zł.
bez opłat
bez opłat
5,00 zł.
20,00 zł.
300,00 zł.
350,00 zł.
bez opłat
bez opłat
5,00 zł.
2,00%
2% min. 4,50 zł.
3% min. 3,50 zł.
3% min. 4,50 zł.
3% min. 4,50 zł.
3,50 zł.
6,00 zł.
2,00%
2% min. 4,50 zł.
3% min. 3,50 zł.
3% min. 4,50 zł.
3% min. 4,50 zł.
3,50 zł.
6,00 zł.
4,50 zł.
7,00 zł.
3,00 zł.
5,00 zł.
bez opłat
5,00%
4,50 zł.
7,00 zł.
3,00 zł.
5,00 zł.
bez opłat
5,00%
1,00%
1,00%
1,00%
1,00%
50,00 zł.
100,00 zł.
80,00zł.
300,00 zł.
10,00 zł.
równowartość 150 USD**) plus
koszty operacyjne MasterCard
Równowartość 95 USD**) plus
koszty operacyjne MasterCard
10,00 zł.
równowartość 150 USD**) plus
koszty operacyjne MasterCard
Równowartość 95 USD**) plus
koszty operacyjne MasterCard
* pod warunkiem, że placówka udostępnia usługę wypłat w POS
**określona wg kursu sprzedaży dewiz z tabeli kursów SGB-Banku S.A. z dnia rozliczenia płatności
KARTY PRZEDPŁACONE
1. Wydanie karty i numeru PIN – za każdą kartę:
2. Zmiana PIN w bankomatach – za każdą zmianę:
1) banków SGB
2) innych, niż wskazane w pkt 1
3. Opłata za wypłatę gotówki – za każdą wypłatę, pobierana w dniu rozliczenia operacji:
1) w bankomatach banków SGB oraz BPS S.A i zrzeszonych banków spółdzielczych
2) w kasach banków SGB (przy użyciu terminala POS)*
3) w bankomatach innych, niż wskazane w pkt 1
4) w kasach innych banków , niż wskazane w pkt 2 (przy użyciu terminala POS)* - naliczana od wypłacanej kwoty
5) w bankomatach za granicą – naliczana od wypłacanej kwoty
* pod warunkiem, że placówka udostępnia usługę wypłat w POS
C. KARTY KREDYTOWE
I. Klient indywidualny
1. Wydanie karty - za każdą kartę:
1) głównej
2) dołączonej
2. Użytkowanie karty (opłata niepobierana w pierwszym roku użytkowania pierwszej karty) – rocznie, z góry
za każdy rok ważności karty (pierwszej i wznowionych):
1) głównej
2) dołączonej
3. Wydanie nowej karty w miejsce utraconej – za każdą kartę
4. Wydanie duplikatu karty z PIN lub bez PIN – za każdą kartę
5. Wznowienie karty – za każda kartę
6. Zastrzeżenie karty – za każdą kartę
7. Opłata za wypłatę gotówki – za każdą wypłatę, naliczana od wypłacanej kwoty, pobierana w dniu rozliczenia
operacji:
1) w bankomatach banków SGB oraz BPS S.A. I zrzeszonych banków spółdzielczych
2) w kasach banków SGB*)
3) w bankomatach innych, niż wskazane w pkt. 1
4) w kasach innych banków, niż wskazane w pkt. 2*)
5) w bankomatach za granicą
8. Zmiana PIN w bankomatach – za każdą zmianę
9. Wydanie pierwszego numeru PIN
10. Wydanie nowego numeru PIN – za każdy numer PIN
11. Zmiana limitu kredytowego
12. Minimalna kwota do zapłaty – naliczana zgodnie z regulaminem funkcjonowania kart kredytowych i umową
13. Opłata za wysłanie upomnienia (nie więcej niż jedno w okresie rozliczeniowym) lub wezwania do spłaty
zadłużenia – w przypadkach określonych w umowie o kartę – za każde upomnienie/wezwanie
Tabela prowizji i opłat
MasterCard
25,00 zł
4,50 zł.
7,00 zł.
bez opłat
1,50 zł.
1,30 zł.
3% min. 4,50 zł.
3% min. 4,50 zł.
MasterCard/Visa
bez opłat
bez opłat
42,00 zł.
30,00 zł.
25,00 zł.
25,00 zł.
bez opłat
bez opłat
3% min. 6,00 zł.
3% min. 6,00 zł.
3% min. 6,00 zł.
3% min. 6,00 zł.
3% min. 7,00 zł.
4,50 zł.
bez opłat
6,00 zł.
bez opłat
5% min. 50,00 zł.
6,60 zł.
14. Przesłanie ponownego zestawienia transakcji na życzenie klienta – za każde zestawienie
15. Opłata za przeliczenie transakcji dokonanej w walucie obcej innej niż euro – naliczana od kwoty transakcji,
pobierana w dniu rozliczenia operacji
2,58 zł.
1% (dot. kart VISA)
*) pod warunkiem, że placówka udostępnia usługę wypłat w POS
II. Klient instytucjonalny
1. Wydanie karty (głównej lub dołączonej) – za każdą kartę
2. Użytkowanie karty (opłata niepobierana w pierwszym roku użytkowania pierwszej karty) – rocznie,
z góry za każdy rok ważności karty (pierwszej i wznowionych)
3. Wydanie nowej karty w miejsce utraconej – za każdą kartę
4. Wydanie duplikatu karty z PIN lub bez PIN – za każdą kartę
5. Wznowienie karty - za każdą kartę
6. Zastrzeżenie karty
7. Opłata za wypłatę gotówki – naliczana od wypłacanej kwoty, pobierana w dniu rozliczenia operacji:
1) w bankomatach banków SGB oraz BPS S.A. i zrzeszonych banków spółdzielczych
2) w kasach banków SGB*)
3) w bankomatach innych, niż wskazane w pkt. 1
4) w kasach innych banków, niż wskazane w pkt. 2*)
5) w bankomatach za granicą
8. Zmiana PIN w bankomatach – za każdą zmianę
9. Wydanie pierwszego numeru PIN
10. Wydanie nowego numeru PIN – za każdy numer PIN
11. Przekroczenie limitu kredytowego – za każde przekroczenie
12. Zmiana limitu kredytowego
13. Minimalna kwota do zapłaty – naliczana zgodnie z regulaminem funkcjonowania kart kredytowych i umową
14. Opłata za wysłanie monitu listowego lub wezwania do spłaty zadłużenia w przypadkach określonych
w umowie o kartę – za każdy monit/wezwanie
15. Przesłanie ponownego zestawienia transakcji na życzenie klienta – za każde zestawienie
MasterCard
75,00 zł.
75,00 zł.
75,00 zł.
35,00 zł.
bez opłat
bez opłat
4% min. 10,00 zł.
4% min. 10,00 zł.
4% min. 10,00 zł.
4% min. 10,00 zł.
4% min. 10,00 zł.
4,50 zł.
bez opłat
6,00 zł.
50,00 zł.
bez opłat
5% min. 50,00 zł.
20,00 zł.
5,00 zł.
*) pod warunkiem, że placówka udostępnia usługę wypłat w POS
VIII.Czynności
Czynnościzwiązane
związanezzobsługą
obsługąe-bank
e-bank
VIII.
A.Czynności związane z obsługą Kont Prywatnych – ROR
1. Uruchomienie usługi e-bank (jednorazowo)
2. Abonament za korzystanie z e-bank (miesięcznie)
3. Abonament za korzystanie z e-bank (miesięcznie)
dla Posiadaczy Konta Młodzieżowy
4. Opłata za użytkowanie tokena – od każdej dyspozycji:
a) wydanie pierwszego tokena
b) wydanie kolejnego tokena
c) zastrzeżenie tokena
5. Wykonanie na wniosek Klienta – od każdej dyspozycji:
a) zablokowanie kanału dostępu
b) odblokowanie kanału dostępu
c) odblokowanie indywidualnego hasła
d) ponowne przesłanie identyfikatora ID (nazwy użytkownika)
0,00 zł
5,00 zł
0,00 zł
0,00 zł
0,00 zł
0,00 zł.
10,00 zł
5,00 zł
5,00 zł
10,00 zł
5,00 zł
6. Dokonanie automatycznych przelewów z Konta w terminie wskazanym przez Klienta (zlecenie stałe) - od każdej operacji
a) w usłudze e-bank
realizacja zlecenia stałego
modyfikacja zlecenia stałego
odwołanie zlecenia stałego
b) W Oddziale Banku
realizacja zlecenia stałego
modyfikacja zlecenia stałego
odwołanie zlecenia stałego
7. Założenie/zerwanie lokaty terminowej
a) w usłudze e-bank
b) w Oddziale Banku
8. Dyspozycje bezgotówkowe (przelewy) – od każdego przelewu :
a) w usłudze e-bank na rachunki prowadzone w Banku
b) w usłudze e-bank na rachunki prowadzone w innych bankach
c) w usłudze e-bank na rachunki ZUS, US
d) złożone w formie papierowej w Oddziale Banku (bez względu na rodzaj)
9. Zmiana uprawnień (za każdą zmianę)
B. Czynności związane z obsługą Kont Firmowych i Korporacyjnych
(usługa e-bank dla posiadaczy rachunków bieżących)
1. Uruchomienie usługi e-bank (jednorazowo)
2. Abonament za korzystanie z e-bank (miesięcznie)
a) dla rolników (Konto firmowe):
konto podstawowe
konto pomocnicze
b) dla posiadaczy rachunków bieżących (Konto korporacyjne):
konto podstawowe
konto pomocnicze
c) dla posiadaczy rachunków bieżących (Konto firmowe):
konto podstawowe
konto pomocnicze
3. Opłata za użytkowanie tokena (Konto firmowe)
a) wydanie pierwszego tokena
b) wydanie tokena dla osoby wskazanej – pełnomocnika stałego do rachunków bieżących rolników i firm
0,00 zł
0,00 zł
0,00 zł
2,00 zł
0,00 zł
0,00 zł
0,00 zł
0,00 zł
0,00 zł
1,00 zł
1,00 zł
4,00 zł
10,00 zł
0,00 zł
10,00 zł.
3,00 zł.
15,00 do 2.000,00 zł.**
10,00 zł.
15,00 do 2.000,00 zł.**
10,00 zł.
0,00 zł
0,00 zł
75,00 zł jednorazowo
c) wydanie kolejnego tokena*
- dla rolników (Konto firmowe)
0,00 zł
- dla pozostałych posiadaczy rachunków bieżących – za każdy token
stawka 15,00 zł rocznie*
lub 75,00 zł jednorazowo
10,00 zł
d)zastrzeżenie tokena – za każdą dyspozycję
4. Opłata za użytkowanie karty chipowej (Konto korporacyjne)
a) wydanie dwóch pierwszych kart chipowych
0,00 zł
Tabela prowizji i opłat
b) wydanie kolejnej karty chipowej - za każdą kartę
c) wznowienie karty chipowej – za każde wznowienie
d) wydanie nowej karty chipowej – za każdą kartę
e) zastrzeżenie karty chipowej – za każdą dyspozycję
f) wygenerowanie i przesłanie nowego PIN-u do karty chipowej – za każdą przesyłkę
5. Opłata za czytnik do kart chipowych (Konto korporacyjne)
a)wydanie pierwszego czytnika
b) wydanie kolejnego czytnika – za każdy czytnik
6. Wprowadzenie użytkownika bez prawa do podpisu (Konto korporacyjne) – za każdą dyspozycję
7. Wykonanie na wniosek Klienta (Konto firmowe i korporacyjne)
a) zablokowanie kanału dostępu – za każdą dyspozycję
b) odblokowanie kanału dostępu – za każdą dyspozycję
c) odblokowanie indywidualnego hasła – za każdą dyspozycję
d) ponowne przesłanie identyfikatora ID (nazwy użytkownika) – za każdą przesyłkę
8. Dokonanie automatycznych przelewów z Konta w terminie wskazanym przez Klienta (zlecenie stałe/z datą
przyszłą) - od każdej operacji
a) w usłudze e-bank
realizacja zlecenia stałego
modyfikacja zlecenia stałego
odwołanie zlecenia stałego
b) w Oddziale Banku
realizacja zlecenia stałego
modyfikacja zlecenia stałego
odwołanie zlecenia stałego
9. Założenie/zerwanie lokaty terminowej
a) w usłudze e-bank
b) w Oddziale Banku
10. Dyspozycje bezgotówkowe (przelewy) – za każdy przelew:
1) z rachunków bieżących (Konto korporacyjne):
a. W usłudze e-bank - na rachunki prowadzone w Banku
b. W usłudze e-bank - na rachunki prowadzone w innych bankach
c. W usłudze e-bank - na rachunki ZUS, US
d. złożone w formie papierowej w BS (bez względu na rodzaj)
2) z rachunków bieżących (Konto firmowe):
a. W usłudze e-bank - na rachunki prowadzone w Banku
b. W usłudze e-bank - na rachunki prowadzone w innych bankach
c. W usłudze e-bank - na rachunki ZUS, US
d. złożone w formie papierowej w BS (bez względu na rodzaj)
3) z rachunków bieżących rolników (Konto firmowe):
a. W usłudze e-bank - na rachunki prowadzone w Banku
b. W usłudze e-bank - na rachunki prowadzone w innych bankach
c. W usłudze e-bank - na rachunki ZUS, US
d. złożone w formie papierowej w BS (bez względu na rodzaj)
11. Zmiana uprawnień (za każdą zmianę)
12. Dyspozycje gotówkowe (z wyłączeniem kont rolników) - pobierana raz dziennie:
200,00 zł
10,00 zł
100,00 zł
10,00 zł
5,00 zł
0,00 zł
200,00 zł
50,00 zł
5,00 zł
5,00 zł
10,00 zł
5,00 zł
0,00 zł
0,00 zł
0,00 zł
2,00 zł
0,00 zł
0,00 zł
0,00 zł
0,00 zł
0,00 zł
0,40 do 1,00 zł***
0,40 do 1,00 zł***
0,40 do 4,00 zł***
0,00 zł.
0,40 do 1,00 zł***
0,40 do 1,00 zł***
0,40 do 4,00 zł***
0,00 zł.
0,40 do 0,90 zł***
0,40 do 0,90 zł***
0,40 do 4,00 zł***
10,00 zł
0,00 % - 0,15% min. 0,00 zł do 5,00
zł *** .
0,00% - 0,15% min. 0,00 zł do 5,00
zł***.
a) wpłaty gotówkowe na konto – naliczana od wpłacanej kwoty
b) wypłaty gotówkowe z konta – naliczana od wypłacanej kwoty
* opłata pobierana będzie z dniem wydania kolejnego tokena
** stosuje się stawkę minimalną z wyłączeniem klientów negocjujących indywidualne stawki taryfy
*** stosuje się stawkę maksymalną z wyłączeniem klientów negocjujących indywidualne stawki taryfy.
IX. Pozostałe
Pozostałewpłaty
wpłatygotówkowe
gotówkowei iinne
inneczynności
czynnościi iusługi
usługibankowe
bankowe
IX.
1. Wpłaty gotówkowe:
a) na rachunki bankowe w innych bankach – naliczana od wpłacanej kwoty
0,10% - 0,50%*** (nie mniej niż 2,50 zł.)
- PZU
2,00 zł. za sztukę
- Powiat Ostrowski – Wydział Komunikacji
- Zakład Usług Komunalnych Odolanów
wg umowy
wg umowy
- ZSM Krotoszyn
wg umowy
- opłaty na rzecz TP S.A.
0,75 zł za sztukę
- opłaty na rzecz Orange Polska S.A.
0,75 zł. za sztukę
- RTV
1,00 zł za sztukę
b) na rachunki bankowe BS, z wyłączeniem wpłat z tytułu opłat za wywóz nieczystości z pojemników
bez prowizji
c) wpłaty na działalność pożytku publicznego
bez prowizji
d) wpłaty na podstawie faktur za energię elektryczną
0,75 zł za sztukę
e) wpłaty za wywóz nieczystości z pojemników
0,90 zł za sztukę
f) wpłaty na podstawie faktury za gaz
g) wpłaty składek KRUS
2,00 zł za sztukę
2,50 zł za sztukę
h) wpłaty na rachunki techniczne kibica KKS Lech
bez prowizji
2. Inne czynności i usługi bankowe:
1) Korzystanie z wrzutni nocnej przez posiadaczy rachunków oszczędnościowo – rozliczeniowych
0,00 – 300,00 zł. miesięcznie, wg
indywidualnych negocjacji
***) stosuje się stawkę maksymalną, z wyjątkiem klientów negocjujących indywidualne stawki Taryfy
Tabela prowizji i opłat