Wskaźniki potencjału zielonego wzrostu

Transkrypt

Wskaźniki potencjału zielonego wzrostu
Wskaźniki potencjału zielonego wzrostu
Wskaźniki potencjału zielonego wzrostu
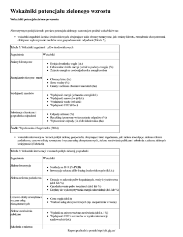
Alternatywnym podejściem do pomiaru potencjału zielonego wzrostu jest podział wskaźników na:
wskaźniki zagadnień i celów środowiskowych, obejmujące takie obszary tematyczne, jak: zmiany klimatu, zarządzanie ekosystemami,
efektywne wykorzystanie zasobów oraz gospodarowanie odpadami (Tabela 5),
Tabela 5: Wskaźniki zagadnień i celów środowiskowych
Zagadnienia
Zmiany klimatyczne
Zarządzanie ekosyste- mami
Wydajność zasobów
Substancje chemiczne i
gospodarka odpadami
Wskaźniki
Emisja dwutlenku węgla (t/r.)
Odnawialne źródła energii (udział w podaży energii), (%)
Zużycie energii na osobę (jednostka energii/osoba)
Obszary leśne (ha)
Stres wodny (%)
Grunty i ochrona obszarów morskich (ha)
Wydajność energii (jednostka energii/dol.)
Wydajność surowców (t/dol.)
Wydajność wody (m3/dol.)
Wydajność CO2 (t/dol.)
Odpady zebrane (%)
Recykling i ponowne wykorzystanie odpadów (%)
Wytworzone odpady (t/r.) lub składowiska (ha)
Źródło: Wyszkowska i Rogalewska (2014)
wskaźniki interwencji w ramach polityk zielonej gospodarki, obejmujące takie zagadnienia, jak: zielone inwestycje, zielona reforma
podatkowa, cenowe efekty zewnętrzne i wycena usług ekosystemowych, zielone zamówienia publiczne i szkolenia z zakresu zielonych
umiejętności (Tabela 6),
Tabela 6: Wskaźniki interwencji w ramach polityk zielonej gospodarki
Zagadnienia
Zielone inwestycje
Zielona reforma podatkowa
Cenowe efekty zewnętrzne i
wycena usług
ekosystemowych
Zielone zamówienia
publiczne
Wskaźniki
Nakłady na B+R (% PKB)
Inwestycje sektora dóbr i usług środowiskowych (dol./r.)
Dotacje w zakresie paliw kopalnianych, wody i rybołówstwa
(dol. lub %)
Opodatkowanie paliw kopalnych (dol. lub %)
Dopłaty do wykorzystywania energii odnawialnej (dol. lub %)
Cena węgla (dol./t)
Wartość usług ekosystemowych (np. zaopatrzenia w wodę)
Wydatki na zrównoważone zamówienia (dol./r. i %)
Wydajność CO2 i surowców w wyniku interwencji
rządowych (t/dol.)
Szkolenia z zakresu
Raport pochodzi z portalu http://pik.gig.eu/
zielonych umiejętności
Wydatki na szkolenia (dol./r. i % PKB)
Liczba przeszkolonych osób (osoba/r.)
Źródło: Wyszkowska i Rogalewska (2014)
wskaźniki wpływu polityk zielonej gospodarki na dobrobyt i sprawiedliwość, obejmujące takie zagadnienia, jak: zatrudnienie, wydajność
sektora dóbr i usług środowiskowych, bogactwo ogólne – kapitał naturalny i ludzki, dostęp do zasobów i zdrowie (Tabela 7),
Tabela 7: Wskaźniki wpływu polityk zielonej gospodarki na dobrobyt i sprawiedliwość
Zagadnienia
Zatrudnienie,
Wydajność sektora dóbr i
usług środowiskowych,
Bogactwo ogólne – kapitał
naturalny i ludzki
Dostęp do zasobów
Zdrowie
Wskaźniki
Struktura zatrudnienia (osoby, %)
Obsługa i zarządzanie (osoby, %)
Dochód wytworzony (dol./r.)
Współczynnik Giniego
Wartość dodana (dol./r.)
Zatrudnienie (miejsca pracy)
Wydajność CO2 i surowców (np. dol./t)
Wartość zapasów zasobów naturalnych (dol.)
Roczna wartość dodana netto /zlikwidowana (dol./r.)
Analfabetyzm (%)
Dostęp do nowoczesnych źródeł energii (%)
Dostęp do wody (%)
Dostęp do urządzeń sanitarnych (%)
Dostęp do opieki zdrowotnej (%)
Poziom szkodliwych substancji chemicznych w wodzie pitnej
(g/litr)
Hospitalizowani z powodu zanieczyszczeń powietrza (osoby)
Ofiary śmiertelne w wypadkach drogowych na 100 tys.
mieszkańców
Źródło: Wyszkowska i Rogalewska (2014)
Opracowano na podstawie:
Wyszkowska D., Rogalewska A. (2014), Monitorowanie zielonej gospodarki w ujęciu organizacji międzynarodowych, w: Optimum. Studia
Ekonomiczne 3 (69): 32-51.
OECD (2012), Greening Development. Enhancing capacity for environmental management and governance, OECD Publishing.
http://dx.doi.org/10.1787/9789264167896-en.
Raport pochodzi z portalu http://pik.gig.eu/